Síntesis de quinolinas de Pfitzinger
La síntesis de quinolinas de Pfitzinger (también conocida como Reacción de Pfitzinger-Borsche) es un método de síntesis orgánica en la que se obtienen ácidos 4-quinolinacarboxílicos a partir de la reacción de la isatina con un compuesto carbonílico en presencia de base.[1][2]

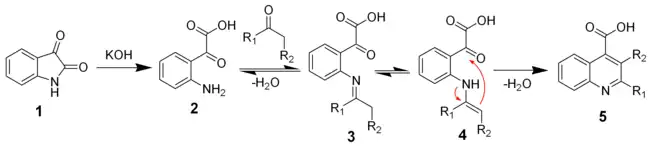
Reacción de Pfitzinger
Mecanismo de reacción

Mecanismo de la síntesis de Pfitzinger
La base (Por ejemplo, hidróxido de potasio) hidroliza el enlace amida para dar como intermediario el cetoácido 2. Este intermediario puede ser aislado. Una cetona o aldehído reacciona con la anilina para formar su imina correspondiente (3), la cual tautomeriza a la enamina (4). La enamina cicliza y se deshidrata para obtener la quinolina esperada (5).
Variaciones
Variación de Halberkann

La variante de Halberkann de la reacción de Pfitzinger
La reacción de N-acilisatinas en presencia de base da como productos ácidos 2-hidroxi-quinolina-4-carboxílicos.[6]
Referencias
- ↑ Pfitzinger, W. J. Prakt. Chem. 1886, 33, 100.
- ↑ Pfitzinger, W. J. Prakt. Chem. 1888, 38, 582.
- ↑ Manske, R. H. Chem. Rev. 1942, 30, 126. (Review)
- ↑ Bergstrom, F. W. Chem. Rev. 1944, 35, 152. (Review)
- ↑ Shvekhgeimer, M. G.-A. Chemistry of Heterocyclic Compounds 2004, 40, 257-294. (Review, doi 10.1023/B:COHC.0000028623.41308.e5)
- ↑ Halberkann, J. Ber. 1921, 54, 3090.
Véase también
- Síntesis de quinolinas de Combes
- Síntesis de quinolinas de Doebner
- Síntesis de quinolinas de Gould-Jacobs
- Síntesis de quinolinas de Knorr
- Síntesis de quinolinas de Riehm
- Síntesis de quinolinas de Skraup
- Síntesis de quinolinas de Friedländer
- Síntesis de quinolinas de Conrad-Limpach
- Síntesis de quinolinas de Camps
- Síntesis de quinolinas de Doebner-Miller
Este artículo ha sido escrito por Wikipedia. El texto está disponible bajo la licencia Creative Commons - Atribución - CompartirIgual. Pueden aplicarse cláusulas adicionales a los archivos multimedia.