Síntesis de quinolinas de Conrad-Limpach
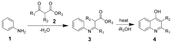
La Síntesis de quinolinas de Conrad-Limpach es un método de síntesis orgánica donde se hacen reaccionar anilinas (1) con β-cetoésteres (2) para formar 4-hidroxiquinolinas (4) a través de una base de Schiff (3).[1][2][3]

Esquema de reacción de la Síntesis de quinolinas de Conrad-Limpach.
Referencias
- ↑ Conrad, M.; Limpach, L. Chemische Berichte 1887, 20, 944.
- ↑ Conrad, M.; Limpach, L. Chemische Berichte 1891, 24, 2990.
- ↑ Reynolds, G. A.; Hauser, C. R. Org. Syn., Coll. Vol. 3, p.593 (1955); Vol. 29, p.70 (1949). (Article Archivado el 5 de junio de 2011 en Wayback Machine.)
- ↑ Manske, R. H. Chem. Rev. 1942, 30, 113. (Review)
- ↑ Reitsema, R. H. Chem. Rev. 1948, 43, 43. (Review)
Véase también
- Síntesis de quinolinas de Combes
- Síntesis de quinolinas de Doebner
- Síntesis de quinolinas de Gould-Jacobs
- Síntesis de quinolinas de Knorr
- Síntesis de quinolinas de Skraup
- Síntesis de quinolinas de Pfitzinger
- Síntesis de quinolinas de Friedländer
- Síntesis de quinolinas de Camps
- Síntesis de quinolinas de Doebner-Miller
Este artículo ha sido escrito por Wikipedia. El texto está disponible bajo la licencia Creative Commons - Atribución - CompartirIgual. Pueden aplicarse cláusulas adicionales a los archivos multimedia.