Síntesis de quinolinas de Doebner

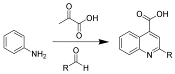
La Síntesis de Quinolinas de Doebner es un método de síntesis orgánica que se utiliza para obtener un ácido 4-quinolincarboxílico a partir de una anilina, un aldehído y ácido pirúvico[1][2]
Mecanismo
Aún falta concluir algunos detalles del mecanismo, sin embargo actualmente existen dos propuestas. La primera es una condensación aldólica entre el enolato del piruvato (1) y el aldehído, formando así un ácido α-cetocarboxílico β,γ-insaturado (2). La segunda reacción es una adición de Michael con anilina para formar el aducto (3). Después de la ciclización en el anillo de benceno y dos intercambios protónicos, el ácido 4-quinolincarboxílico (4) se forma por deshidratación:[3]

Un mecanismo alternativo se basa en la formación de una base de Schiff entre la anilina y el aldehído con eliminación de agua. La reacción subsecuente con el enolato del ácido pirúvico(1) lleva a la formación del derivado de la anilina (3):[3]

Véase también
- Síntesis de quinolinas de Combes
- Síntesis de quinolinas de Gould-Jacobs
- Síntesis de quinolinas de Knorr
- Síntesis de quinolinas de Skraup
- Síntesis de quinolinas de Pfitzinger
- Síntesis de quinolinas de Friedländer
- Síntesis de quinolinas de Conrad-Limpach
- Síntesis de quinolinas de Camps
- Síntesis de quinolinas de Doebner-Miller
- Síntesis de quinolinas de Niementowski
Referencias
- ↑ Doebner, O. Ann. 1887, 242 & 265.
- ↑ Bergstrom, F. W. Chem. Rev. 1944, 35, 156. (Review)
- 1 2 Daniel Zerong Wang (2009). John Wiley & Sons, Inc., ed. Comprehensive Organic Name Reactions and Reagents 1. Hoboken, New Jersey. pp. 921-923. ISBN 978-0-471-70450-8. doi:10.1002/9780470638859.conrr197.