Vitamina B12

La vitamina B12 (también llamada cobalamina, debido a que contiene cobalto) es una vitamina de origen bacteriano hidrosoluble esencial para el funcionamiento normal del cerebro, del sistema nervioso, y para la formación de la sangre y de varias proteínas. Es una de las ocho vitaminas del grupo B. Normalmente está implicada en el metabolismo de las células del cuerpo humano, especialmente en la síntesis y regulación del ADN; también en la metabolización de los aminoácidos, de los ácidos grasos y de los glúcidos.[2]

Vitamina B12
Nombre IUPAC
cobalto(3+);[(2R,3S,4R,5S)-5-(5,6-dimetilbenzimidazol-1-il)-4-hidroxi-2-(hidroximetil)oxolán-3-il] [(2R)-1-[3-[(1R,2R,3R,5Z,7S,10Z,12S,13S,15Z,17S,18S,19R)-2,13,18-tris(2-amino-2-oxoetil)-7,12,17-tris(3-amino-3-oxopropil)-3,5,8,8,13,15,18,19-octametil-2,7,12,17-tetrahidro-1H-corrina-24-id-3-il]propanoilamino]propano-2-il] fosfato;nitrógeno
General
Otros nombres Cobalamina
Fórmula semidesarrollada C63H88CoN14O14P
Fórmula estructural Imagen de la estructura
Fórmula molecular ?
Identificadores
Número CAS 68-19-9[1]
PubChem 5311498
Propiedades físicas
Apariencia Cristales rojo oscuro o polvo rojo amorfo o cristalino
Masa molar 1 355 365 177 g/mol
Punto de fusión 210/−220 °C (483/53 K)
Propiedades químicas
Solubilidad en agua ±5,0X10+5 mg/L, temperatura no especificada
Valores en el SI y en condiciones estándar
(25 y 1 atm), salvo que se indique lo contrario.

Ni los hongos, ni las plantas, ni los animales pueden producir esta vitamina. Solo las bacterias y las Archaeas tienen las enzimas necesarias para su síntesis, no obstante, muchos alimentos son fuente natural de B12 debido a la simbiosis bacteriana.[3] Estructuralmente hablando, esta es la vitamina más compleja y puede ser producida industrialmente únicamente por fermentación bacteriana.

Está conformada por una clase de compuestos químicamente relacionados (vitámeros) los cuales actúan como vitaminas. El cobalto, un oligoelemento, está en el centro del anillo tetrapirrol llamado corrina. La biosíntesis es llevada a cabo solo por bacterias, que por lo general producen hidroxicobalamina, pero la conversión entre las diferentes formas de la vitamina se logra en el cuerpo humano. Una forma semisintética común es la cianocobalamina, que es usada en muchos productos farmacéuticos y suplementos vitamínicos, y como un aditivo alimentario debido a su estabilidad y menor costo de producción. En el cuerpo humano adquiere la forma de metilcobalamina y 5'-desoxiadenosilcobalamina, dejando tras de sí pequeñas cantidades de cianuro. La hidroxicobalamina, la metilcobalamina y la adenosilcobalamina, pueden ser encontradas en los productos farmacológicos más recientes y costosos y también en suplementos alimenticios. La utilidad de estos aditivos está siendo debatida.

La vitamina B12 fue descubierta por su relación con la anemia perniciosa, una enfermedad autoinmune que destruye las células parietales del estómago, encargadas de la secreción del factor intrínseco gástrico. Estas células además son responsables de la secreción del ácido estomacal. El factor intrínseco es crucial para la normal absorción de la vitamina B12, por lo que la ausencia del factor intrínseco, como se ve en la anemia perniciosa, ocasiona una deficiencia de vitamina B12. Ya han sido dilucidados otros tipos más sutiles de hipovitaminosis B12.[4]

Terminología

El nombre de la vitamina B12 y el alternativo cobalamina, por lo general hacen referencia a todas las formas de esta vitamina. Algunos médicos han sugerido que pueden ser divididos en dos categorías para su uso.

  • El término B12 puede ser utilizado correctamente para referirse a la cianocobalamina, la forma principal de B12, utilizada en los alimentos y en suplementos nutricionales. Generalmente esto no crea ningún problema, excepto tal vez, en casos poco frecuentes de daño en los nervios ópticos debido a los altos niveles de cianuro en la sangre ocasionados por el consumo de cigarrillos. Para evitar esto último se requiere dejar de fumar o sumistrar otra forma de B12 para disminuir los problemas oculares. Sin embargo la ambliopía generada por el tabaquismo es una enfermedad poco frecuente y aún no está claro si es síntoma de una particular hipovitaminosis B12 que es resistente al tratamiento con cianocobalamina.

Finalmente está la llamada pseudovitamina B12 que hace referencia a los análogos de B12 que son biológicamente inactivos en los seres humanos y, sin embargo, están presentes junto a la B12 en el cuerpo,[5] en muchos alimentos y tal vez en suplementos nutricionales y alimentos fortificados.[6]

La biológicamante inactiva pseudovitamina B12 está predominantemente presente en la mayoría de las cianobacterias, incluyendo la spirulina y en algunas algas, como la Asakusa-nori seca (Porphyra tenera).[7][8]

Historia

La deficiencia de B12 es la consecuencia de la anemia perniciosa que generalmente era fatal y tenía una etiología desconocida cuando fue descrita por primera vez en la medicina. Tanto la cura para esta enfermedad como la vitamina B12 fueron descubiertas por accidente cuando George Whipple se encontraba realizando experimentos en los que se inducía la anemia perniciosa mediante sangrado en perros, para luego darles de comer diferentes alimentos y observar cuál de las dietas les permitió recuperarse más rápidamente. Durante este proceso, descubrió que la ingesta de grandes cantidades de hígado parecía curar más rápidamente la anemia por pérdida de sangre. Por lo tanto, planteó la hipótesis de que la ingesta de hígado podría ser el tratamiento contra la anemia perniciosa. El señor Whipple reportó señales de éxito en 1920.[9]

Tras una serie de cuidadosos estudios clínicos, George Richards Minot y William Parry Murphy, se propusieron aislar parcialmente la sustancia presente en el hígado causante de la cura de la anemia en los perros, y descubrieron que era el hierro. También encontraron que otra sustancia curaba la anemia perniciosa en los seres humanos, misma que no tuvo efecto en los perros analizados. El factor específico para el tratamiento de este tipo de anemia, hallado en el jugo de hígado, fue encontrado por esta coincidencia. Minot y Murphy informaron de estos experimentos en 1926. Siendo este el primer progreso real para el tratamiento de esta enfermedad. Pese a este descubrimiento, desde hacía ya varios años los afectados estaban obligados a ingerir grandes cantidades de hígado crudo o beber enormes cantidades de jugo de hígado.

En 1928 el químico Edwin Joseph Cohn preparó un extracto de hígado que fue de 50 a 100 veces más potente que los productos naturales del hígado. El extracto fue el primer tratamiento viable para la enfermedad. En 1934 Whipple, Minot y Murphy compartieron el premio nobel de fisiología o medicina por su trabajo inicial en el que señalan el camino a un tratamiento efectivo.

A su vez, estos eventos finalmente llevaron al descubrimiento de la presencia en el jugo de hígado de la vitamina hidrosoluble conocida como vitamina B12. En 1947 Mary Shaw Shorb fue provista de un subsidio de USD $400 y colaboró en un proyecto junto a Karl August Folkers y la empresa Merck & Co. para desarrollar el denominado «ensayo de LLD» para la B12. LLD es el acrónimo de Lactobacillus lactis Dorner que es una cepa bacteriana que requiere del «factor LLD» para su crecimiento, el cual fue finalmente identificado como B12. Shorb y sus colegas utilizaron el «ensayo LLD» para extraer rápidamente el factor para contrarrestar la anemia perniciosa a partir de extractos de hígado. La forma pura de B12 fue aislada de esta manera en 1948, gracias a los aportes químicos de Shorb, Folkers (Estados Unidos) y de Alexander Robert Todd (Gran Bretaña). Por este descubrimiento, Mary Shorb y Karl Folkers recibieron el premio de Mead Johnson de la Sociedad Estadounidense de Ciencias de la Nutrición.[10]

La estructura química de la molécula fue determinada por Dorothy Crowfoot Hodgkin y su equipo de colaboradores en 1956 basándose en los datos arrojados por la cristalografía de rayos X.[11] Durante el transcurso de la década de 1950 fueron desarrollados los métodos de producción en grandes cantidades de esta vitamina a partir de cultivos de bacterias, los cuales condujeron a la forma moderna del tratamiento de la anemia perniciosa.

La síntesis artificial total de la B12 fue reportada por Robert Burns Woodward[12] y Albert Eschenmoser en 1972,[13] y sigue siendo una de las hazañas clásicas de la síntesis orgánica. Se sabe que las especies de los siguientes géneros son conocidas por sintetizar la vitamina B12: acetobacterium, enterobacter, agrobacterium, alicaligenes, azotobacter, bacillus, clostridium, corynebacterium, flavobacterium, lactobacillus, micromonospora, mycobacterium, nocardia, propionibacterium, protaminobacter, proteus, pseudomonas, rhizobium, salmonella, serratia, streptomyces, streptococcus y xanthomonas.

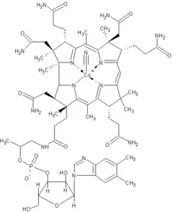
Estructura

Estructura química de la vitamina B12.

Bioquímicamente hablando la vitamina B12 es la más compleja de las vitaminas. El término cobalamina hace referencia a un grupo o familia de compuestos con una estructura específica. La B12 es una de estas cobalaminas que resulta de la unión asimétrica de cuatro anillos pirrólicos, formando un grupo macrocíclico casi planar (núcleo de corrina) en torno a un ion central de cobalto. El anillo de corrina es similar al anillo porfirínico, que también puede ser encontrado en el grupo hemo, la clorofila y en los citocromos; y se diferencia de estos por su asimetría en las uniones entre los grupos pirrólicos. En esta estructura, el cobalto posee seis valencias, cuatro de las cuales forman un enlace covalente con los átomos de nitrógeno de los anillos pirrólicos. La quinta valencia de coordinación siempre se encuentra unida a un pseudonucleótido complejo, el 5,6-dimetilbencimidazol, casi perpendicular al núcleo y, finalmente, cuando la sexta valencia se une a diversos radicales produce los diferentes derivados de la cobalamina. Cuando se une un grupo de cianuro (CN-) forma la cianocobalamina, cuando la unión es con un grupo hidroxilo compone la hidroxicobalamina, cuando se conecta a un grupo metilo (CH3-) crea la metilcobalamina o la desoxiadenosilcobalamina; con el grupo de C5' de la desoxirribosa de esta última, forma el enlace covalente con el Co.[14]

La vitamina B12 es un descriptor genérico de un grupo de moléculas de cobalto y sus anillos de corrina, que son definidos por su particular función en el cuerpo. Todas las moléculas de sustrato corrina-cobalto de la B12, solo son sintetizadas por bacterias. Sin embargo, y excepto en los poco frecuentes casos y después de que esta síntesis está completa, el cuerpo humano tiene la capacidad de convertir cualquier forma de B12 en una forma activa, por medio de la eliminación enzimática de ciertos grupos prostéticos de químicos desde el átomo de cobalto y su posterior sustitución por otros grupos.

La metilcobalamina es una de las formas de vitamina B12. Físicamente hablando, es similar a las otras formas de esta vitamina. Son cristales de color rojo oscuro que forman libremente soluciones transparentes de color cereza al mezclarse con el agua.

Todas las diversas formas de B12 (vitámeros), cristales y soluciones a base de agua, son de color rojo muy oscuro debido al complejo de corrina-cobalto.

Formas

  • La cianocobalamina es uno de los vitámeros del complejo B, ya que puede ser metabolizada en el cuerpo por una forma de coenzima activa. Sin embargo, la cianocobalamina de B12 no se produce en la naturaleza, sino que es un subproducto hecho de otras formas de B12 que son aglutinantes con alta afinidad con el cianuro (CN-), el cual captan en el proceso de purificación de la vitamina realizado con carbón activado después de que esta es producida por las bacterias en el proceso industrial. Dado que la forma de cianocobalamina de B12 es fácil de cristalizar y no es propensa a la oxidación por aire, es utilizada normalmente como una forma de vitamina B12 para los aditivos alimentarios y en muchos multivitamínicos comunes. Sin embargo, esta forma no es exactamente igual a la natural, en cuanto al número de vitámeros que pueden activarla. Puede ser llamada correctamente vitamina B12, pero tan solo es una forma de ella; por lo tanto, toda cianocobalamina es vitamina B12, pero no toda B12 es cianocobalamina.[15] La cianocobalamina pura es de color rosa oscuro debido a la mayor presencia de cristales octaédricos de cobalto(II)alamina (Co2+), los cuales están bien formados y son un milímetro más grande.
  • La hidroxicobalamina es otra de las formas de vitamina B12 que se encuentra comúnmente en farmacología, pero su presencia en el cuerpo humano no es común. A veces denota B12 a que es producida por bacterias y que luego se transforma en cianocobalamina en la etapa de filtración con carbón activado. La hidroxicobalamina tiene una marcada afinidad con los iones de cianuro y ha sido utilizada como antídoto contra el envenenamiento con este. Su presentación más frecuente es una solución inyectable a base de agua. Se cree que puede ser convertida más fácilmente que la cianocobalamina a las formas enzimáticas activas de vitamina B12, pero es un poco más costosa que la cianocobalamina y su retención por el cuerpo es más prolongada. Ha sido utilizada como sustituto de la B12 en situaciones en las que la se desea seguridad adicional en su actividad. La administración intramuscular de la hidroxicobalamina también es un tratamiento preferido para los pacientes pediáticos con enfermedades metabólicas intrínsecas a la cobalamina, y en pacientes con ambliopía producida por el tabaquismo —que se cree que tal vez tenga relación con la cantidad de cianuro en el humo del cigarrillo—;[16] y para el tratamiento de pacientes con anemia perniciosa que tengan además una neuropatía óptica.
  • La adenosilcobalamina (AdoB12) y la metilcobalamina (MeB12) son las dos formas enzimáticamente activas del factor B12 que ocurren naturalmente en el cuerpo. La mayor parte de las reservas del cuerpo son almacenadas como adenosilcobalamina B12 en el hígado, que luego es convertida a la otra forma de metilcobalamina según sea necesario.

Mecanismo de acción

La coenzima B12 tiene un enlace C-Co reactivo que participa en tres tipos principales de reacciones catalizadas por enzimas,[17] a saber:

  1. Con las isomerasas:
    Se producen reordenamientos por los cuales un átomo de hidrógeno es directamente transferido entre dos átomos adyacentes concomitantes con el intercambio del segundo sustituyente X, que puede ser un átomo de carbono con sustituyentes, un átomo de oxígeno de un alcohol, o una amina. Estos utilizan la forma adenosilcobalamina (AdoB12) de la vitamina.
  2. Con las metiltransferasas:
    Transferencia de metilo (CHB3-) entre dos moléculas. Estos utilizan la forma metilcobalamina (MeB12).
  3. Con las deshalogenasas:
    Se generan reacciones consistentes en la extracción de un átomo del halógeno de una molécula orgánica. Las enzimas de esta clase no han sido indentificadas en los seres humanos.

En los humanos, se conocen dos grandes familias de enzima de coenzima B12 dependiente correspondientes a los dos primeros tipos de reacción antes mencionados. Estos se caracterizan por las siguientes dos enzimas:

  1. Metilmalonil coenzima A mutasa: es una isomerasa que utiliza la forma AdoB12 y la reacción tipo 1 para catalizar un reordenamiento estructural de carbono (el sustiyente X es COSCoA-). La reacción con la metilmalonil-CoA la convierte de su enantiómero L-metilmalonil-CoA a la succinil-coA, un importante paso que permite la extracción de la energía de las proteínas y las grasas. Esta funcionalidad se pierde a causa de una deficiencia de vitamina B12 y puede ser clínicamente medida gracias al aumento del nivel del ácido metilmalónico. Lamentablemente, un elevado nivel de este ácido, aunque es susceptible a la deficiencia de vitamina B12, tal vez lo sea en demasía, y por esto no todos los que lo tienen en niveles altos sea a causa de una deficiencia de esta vitamina. Por ejemplo, se considera que un paciente tiene niveles altos de este ácido cuando está en una concentración de entre el 90 y el 98 %; sin embargo, del 20 al 25 % de los pacientes mayores de 70 años tienen niveles elevados de ácido metilmalónico; no obstante, entre el 25 al 33 % de ellos no presentan hipovitaminosis B12. Es por esta razón que la evaluación de los niveles de este ácido no se realiza de manera rutinaria en los ancianos. No existe una prueba de referencia para la deficiencia de vitamina B12, ya que cuando se presenta tal deficiencia, los valores séricos pueden mantenerse mientras que las reservas en los tejidos se agotan. Por lo tanto, los valores de la vitamina B12 en el suero sanguíneo pueden estar por encima del punto de corte de la deficiencia, lo que no indica necesariamente si el balance es adecuado.[18] La metilmalonil coenzima A mutasa es necesaria para una adecuada síntesis de la mielina (más detalles en la sección función enzimática), la cual no resulta afectada por la administración de suplementos de folato, que es la forma aniónica del ácido fólico conocido también como vitamina B9.
  2. La metionina sintasa es una enzima metiltransferasa que utiliza la metilcobalamina y tiene una reacción del tipo 2 para transferir un grupo de metilo del 5-metiltetrahidrofolato a la homocisteína, generando de esta manera el tetrahidrofolato y la metionina.[19] Esta capacidad se pierde por la hipovitaminosis B12, lo que en consecuencia aumenta los niveles de homocisteína y la captura de folatos como el 5-metil-tetrahidrofolato, por lo tanto el tetrahidrofolato (la forma activa del folato) no puede ser recuperada. El tetrahidrofolato desempeña un papel importante en la síntesis del ADN, así que una cantidad reducida de este compuesto conlleva a una producción ineficiente de células de rápida rotación, en particular de los glóbulos rojos y también las células de la pared intestinal que son las responsables de su absorción. El correcto balance de tetrahidrofolato puede ser recuperado por la acción de la metionina sintasa o también a partir del folato fresco por ingesta. Por lo tanto, todos los problemas provocados por la hipovitaminosis B12 en la producción de ADN, las apariciones de anemia perniciosa y de la anemia megaloblástica, puden resolverse si el folato está presente en la dieta.[20] Es así como, las funciones más conocidas de la vitamina B12: la participación en la síntesis del ADN, la división celular y la prevención de la anemia; son en realidad funciones facultativas que están medidas por conservación de la B12 para una forma activa de folato necesaria para la eficiente producción de ADN.[21] En las bacterias también han sido descubiertas otras enzimas metiltransferasa cobalamina dependientes, tales como la coenzima metiltetrahidrometanopterina ciclohidrolasa (Me-H4-MPT) y la coenzima M metil transferasa.

Función enzimática

Si el folato está presente en buena cantidad, las enzimas de la familia metilmolonil-CoA mutasa exhiben sus efectos secundarios más directos y característicos, puntualmente lo relativo al sistema nervioso. Esto se debe a que las reacciones del tipo metiltransferasa están implicadas en la regeneración del ácido fólico y, por lo tanto, son menos evidentes cuando hay suficiente cantidad de folato.

Desde finales de 1990, en muchos países se ha comenzado a fortificar la harina con ácido fólico, por lo que la deficiencia de folato ahora es menos frecuente. Así mismo, en los hospitales, ya que la pruebas más simples de ADN síntetico-susceptible que determinan la existencia de anemia y para determinar el tamaño de los eritrocitos, detectan de modo más simple y directo los efectos bioquímicos del folato. Se piensa que los efectos de la metionina sintasa dependiente en la hipovitaminosis B12 no se deben a problemas de sintetización del ADN, como se creía anteriormente, ahora se considera que se deben a una elevación más simple y menos evidente de la homocisteína en sangre y orina (homocisteinuria). Esta condición puede causar daños a largo plazo en las arterias y desmejora la coagulación, haciendo que la persona sea propensa a sufrir de ataques cerebrovasculares e infartos al corazón, no obstante, este proceso es difícil de separar de otros procesos degenerativos comunes asociados a la arterosclerosis y al envejecimiento.

El daño específico a la mielina, resultado de la deficiencia de vitamina B12, incluso en presencia de cantidades adecuadas de folato y metionina, es el más notorio de los problemas de deficiencia de esta vitamina.[22] Se le ha vinculado más directamente a la B12 a causa de las reacciones relacionadas con la coenzima metilmalonil A mutasa, que es absolutamente necesaria para convertir esta en la conenzima succinila A. La ausencia de esta segunda reacción conlleva a la elevación del ácido metilmalónico, que es un estabilizador de la mielina. Sus altos niveles evitan la correcta síntesis de los ácidos grasos, o hace que el ácido metilmalónico sea incorporado en vez de los ácidos grasos. Si este ácido graso anómalo es incorporado posteriormente a la mielina, la resultante será muy débil y se producirá una subsecuente desmielización. El resultado es la degeneración subaguda combinada del sistema nervioso central y de la médula espinal, aunque el o los mecanismos exactos no se conocen con certeza.[23] Cualquiera que sea la causa, se sabe que la deficiencia de B12 causa neuropatías periféricas, incluso si el ácido fólico está presente en suficiente cantidad y, por lo tanto, la anemia no está presente.

Gracias a un mecanismo indirecto, las reacciones de la vitamina B12 dependientes de la metionina sintasa también pueden tener efectos neurológicos. Los folatos, en concreto 5, 10 -metilentetrahidrofolato; y la vitamina B12 intervienen en la metilación de la homocisteína a metionina y en la síntesis de S-Adenosil metionina.[24] Es necesaria la metionina adecuada —así como el adecuado folato, de lo contrario ha de ser obtenido en la dieta, si es que no se regenera a partir de la homocisteína mediante una reacción dependiente de B12—; para la sintetización de la S-Adenosil metionina (SAMe, por sus siglas en inglés), que a su vez es necesaria para la metilación de los fosfolípidos de la vaina de mielina. Aunque la producción de la S-Adenosil metionina no es B12 dependiente, ayuda en el reciclado para la provisión de un sustrato adecuado para este (el aminoácido esencial metionina), ya que es asistido por la B12. La S-Adenosil metionina está involucrada en numerosas reacciones de metilación que implican proteínas, fosfolípidos, ADN, el metabolismo de ciertos neurotransmisores, catecolaminas y en el metabolismo del cerebro.[24] Estos neurotransmisores son importantes para mantener el buen estado de ánimo, lo que posiblemente explica por qué la depresión está asociada con la deficiencia de B12. La metilación de los fosfolípidos de la vaina de mielina también puede depender del folato adecuado, que a su vez es dependiente del reciclado de la metionina sintasa, a menos que sea ingerido en cantidades relativamente altas. La deficiencia de folatos y vitamina B12 puede causar trastornos neurológicos y psiquiátricos similares, incluyendo depresión, demencia, y mielopatía desmielinizante.[24] Los efectos neurotóxicos de altos niveles plasmáticos de homocisteína (hiperhomocisteína) también pueden tener una función neurológica en trastornos psiquiátricos asociados a un déficit de folatos y B12.[24] En población anciana bajos niveles de B12 y folatos, se asocia a atrofia cerebral, deterioro cognitivo[25] y enfermedad de Alzheimer.[26]

Absorción y transporte

La fisiología humana de la vitamina B12 es compleja, por lo tanto es propensa a sucesos que conducen a su deficiencia. La B12 debe ser liberada de la unión a las proteínas por la acción de las peptidasas digestivas tanto en el estómago como en el intestino delgado.[27] El ácido gástrico libera la vitamina de las partículas de alimentos; por lo tanto, los antiácidos y los medicamentos que bloquean los ácidos, especialmente los inhibidores de la bomba de protones, pueden inhibir la absorción de la vitamina B12. La posibilidad de sufrir de hipovitaminosis B12 aumenta con la edad, ya que algunas personas producen menos ácidos estomacales a medida que envejecen.[28]

Las proteínas R, como la haptocorrina y la cobalofilina, son proteínas especiales que se unen a la B12, las cuales se producen en las glándulas salivales. Ellas deben esperar hasta que la vitamina haya sido liberada de las proteínas en los alimentos por la pepsina estomacal. La B12 se une a las proteínas R para evitar la degradación de esta vitamina en el ambiente ácido del estómago.[29]

Este patrón de secreción de una proteína de unión, secretada en el paso digestivo anterior, se repite una vez más antes de la absorción. La siguiente proteína de unión es el factor intrínseco (FI), una proteína sintetizada por las células parietales gástricas, esta proteína es secretada en respuesta a la histamina, la gastrina y a la pentagastrina, así como por la presencia de alimentos. En el duodeno, las proteasas digieren las proteínas R y liberan la vitamina B12, que entonces se une al factor intrínseco para formar el complejo B12+FI. La B12 debe adherirse al factor intrínseco para que sea absorbida, ya que los enterocitos en el íleon terminal del intestino delgado solo reconocen el complejo B12+FI; además el factor intrínseco protege a la vitamina del catabolismo de las bacterias intestinales.

La absorción de la vitamina B12 de los alimentos requiere, por lo anterior, una rigurosa masticación (para homogeneizar la B12 con las proteínas R), que el factor intrínseco del estómago, las células exocrinas del páncreas y el intestino delgado estén sanos y en perfecto funcionamiento. Los problemas con uno o cualquiera de estos órganos y con una o cualquiera de sus funciones hacen posible la deficiencia de vitamina B12. Las personas que carecen del factor intrínseco tienen una menor capacidad para absorber la vitamina B12. En la anemia perniciosa existe la ausencia del factor intrínseco debido a la gastritis atrófica autoinmune, en la cual se crean anticuerpos contra las células parietales. Estos anticuerpos pueden irse, de manera alternativa, en contra del factor intrínseco aprisionándolo, inhibiendo de esta manera que se lleve a cabo su función protectora de la B12. Debido a la complejidad del proceso de absorción de la B12, los pacientes geriátricos, muchos de los cuales presentan altos niveles de ácido fólico en sangre debido a la función reducida de las células parietales; tienen un mayor riesgo de desarrollar una hipovitaminosis B12.[30] Lo que implica una excreción por las heces de entre un 80 a un 100 % de la dosis oral de esta vitamina, en comparación con el 30 a 60 % de excreción en heces que se ve en individuos con factor intrínseco adecuado.[30]

Una vez que el complejo B12+FI es reconocido por los receptores ideales especializados, es transportado al sistema porta hepático. A continuación la vitamina es transferida a la transcobalamina II (B12+TC-II), que sirve con el distribuidor en el plasma. Los defectos hereditarios en la producción de las trascobalaminas y sus receptores pueden producir deficiencias funcionales de la B12 y producir la anemia megaloblástica infantil y la anormal bioquímica relacionada con la B12, incluso en algunos casos con niveles normales de vitamina B12 en la sangre.[31] Para que la vitamina pueda ser útil al interior de las células, el complejo de B12+TC-II ha de unirse a un receptor celular y producirse así la endocitosis. La transcobalamina-II es degradada por un lisosoma. La B12, finalmente libre, es lanzada al citoplasma, en donde puede ser transformada a la coenzima adecuada gracias a la acción de las enzimas celulares mencionadas anteriormente.

Es importante señalar que las investigaciones sobre la absorción intestinal de la vitamina B12 indican que el límite superior por dosis única, en condiciones normales, es de aproximadamente 1,5 μg: «Los estudios en personas sanas indicó que alrededor de 1,5 μg son asimilados cuando una única dosis, que varía de 5 a 50 mg, es administrada por vía oral. En un estudio similar, realizado por Swendseid et ál., declararon que la absorción máxima promedio fue de 1,6 μg [...]».[32]

La cantidad total de vitamina B12 almacenada en el cuerpo humano es de aproximadamente 2 a 5 mg en adultos. Alrededor del 50 % de esta cantidad es almacenada en el hígado.[18] La bilis es el principal medio de excreción; sin embargo, la mayoría de la B12 secretada en la bilis es reciclada a través de la circulación enterohepática. El exceso de B12 más allá de la capacidad de unión en la sangre es excretada normalmente en la orina.[18] Debido a la extremadamente eficiente circulación enterohepática de la vitamina B12, el hígado puede almacenarla durante varios años sin pérdida de su valor; por lo tanto, es rara la deficiencia nutricional de esta vitamina. La velocidad de cambio de los niveles de B12 dependen del equilibrio entre la cantidad ingerida, la cantidad excretada y la cantidad absorbida. La hipovitaminosis B12 puede aparecer en un año si las cantidades almacenadas iniciales son bajas debido a factores genéticos y desfavorables, o puede que aparezca luego de décadas. En los bebés, la hipovitaminosis B12 puede aparecer mucho más rápidamente.[33]

Fuentes

Naturales

En última instancia, los animales, incluidos los humanos, debemos obtener la vitamina B12 directa o indirectamente de las bacterias, estas pueden habitar una sección del intestino que es distal a la sección en donde es absorbida. Es por esto que los animales herbívoros han de obtener la B12 de las bacterias alojadas en su rumen o, si se da la fermentación del material vegetal en el epigaster; por ingestión de las heces cecotropas.

La vitamina B12 puede ser encontrada en la mayoría de los alimentos de origen animal, incluidos los peces y mariscos, carnes (especialmente el hígado de los vacunos), carne de aves, huevos, leche y sus derivados.[34] Sin embargo, en la yema y en la clara del huevo, la vitamina B12 disminuye marcadamente su capacidad de unión después del tratamiento térmico.[35]

También existen unos pocos fermentos de origen vegetal como posibles fuentes de vitamina B12 natural que parece ser biológicamente activa, pero ninguno de ellos ha sido probado en humanos.[36]

Ciertos fabricantes del té fermentado kombucha, listan a la vitamina B12 natural como presente en su producto. Una de las marcas comerciales indica que el contenido de esta vitamina en su producto es del 20 % del valor diario recomendado.[37] Lo que puede convertir al kombucha en una potencial alta fuente de esta vitamina; debido a que este té es producido por una simbiosis entre la levadura y bacterias, la posibilidad de que contenga B12 no contradice los conocimientos actuales. No obstante, no se han publicado estudios científicos confirmando el hecho, como tampoco se sabe si la vitamina contenida en este producto sea biológicamente activa en humanos.

Se ha encontrado que un té negro fermentado japonés, conocido como batabata-cha, podría contener B12 biológicamente activa.[38] A diferencia del kombucha que se elabora mediante la fermentación del té ya preparado, el batabata-cha es fermentado cuando aún es hoja.

También existen fuentes naturales no convencionales de vitamina B12, pero su utilidad como fuente alimenticia es dudosa. Por ejemplo, las plantas cosechadas que no hayan sido lavadas escrupulosamente pueden contener restos de B12 de las bacterias presentes en el suelo circundante.[39] La B12 también se encuentra en lagos si el agua no ha sido desinfectada.[40] Ciertos insectos como las termitas contienen B12 producida por las bacterias en su intestino, de manera análoga a la de los rumiantes.[41] El tracto intestinal humano en sí, puede contener bacterias productoras de B12;[42] pero no está claro si producen la suficiente cantidad para satisfacer las necesidades nutricionales.

Artificiales

La hidroxicobalamina inyectable es una solución líquida transparente de color rojo.

Como ya se mencionó, la cianocobalamina es uno de los vitámeros del complejo B; y ya que es fácil de cristalizar y no es propensa a la oxidación por aire, es comúnmente utilizada como aditivo alimentario y en multivitamínicos. Esta es convertida a sus formas activas por el hígado: la hidroxicobalamina y, luego, en metilcobalamina y en adenosilcobalamina.

La vitamina B12 es agregada como suplemento en muchos alimentos procesados y también está disponible en forma de píldoras como los suplementos multivitamínicos. También está disponible para personas sanas en forma líquida, parche transdérmico, gel nasal o inyectable, ya sea solos o en combinación con otros suplementos. Es un suplemento común en bebidas energizantes, por lo general en la mínima cantidad diaria recomendada. Los suplementos de vitamina B12 son eficaces para la prevención de deficiencias, especialmente entre los vegetarianos, y a menudo son comercializados como suplementos para perder peso.[43] Sin embargo, no se han publicado estudios científicos que demuestren que la B12 sea efectiva para bajar de peso.[44]

La presentación sublingual, en la que la B12 presumiblemente es absorbida más directamente bajo la lengua, no ha demostrado ser necesario o útil, a pesar de que se han estado comercializando un número de pastillas, píldoras, e incluso una presentación similar a un confite, diseñada para ser lentamente diluida bajo la lengua. No se encontraron diferencias significativas en un estudio realizado en el 2003 en los niveles de absorción en el suero sanguíneo entre la cobalamina inyectable y la sublingual de 0,5 mg.[45] Los métodos sublinguales de reemplazo solo son eficaces debido a las típicamente altas dosis (0,5 mg) que son ingeridas, pero no a causa de su substución. Como se señala más adelante, tales dosis muy altas de B12 oral pueden ser eficaces como tratamientos, incluso si la absorción del tracto gastrointestinal se ve afectada por la atrofia gástrica (anemia perniciosa).

Las inyecciones y los parches, a veces son utilizados si la absorción digestiva está deteriorada, pero hay evidencia de que este curso de acción puede no ser necesario debido a la alta eficiencia de los suplementos orales modernos (en dosis de entre 0,5 a 1 mg o más). Incluso la anemia perniciosa puede ser tratada en su totalidad por vía oral.[46] Estos suplementos tienen grandes dosis de la vitamina, entre el 1 al 5 % de dosis oral de B12 cristalina libre, que es absorbida a lo largo del intestino por difusión pasiva.

Sin embargo, si el paciente tiene problemas congénitos de la metiltransferasa —enfermedad cobalamina C, aciduria metilmalónica combinada u homocistinuria—, el tratamiento más apropiado sería con hidroxicobalamina intravenosa, intramuscular, o vía transdérmica.[47]

El suplemento spirulina no es considerado como una fuente fiable de vitamina B12, ya que principalmente contiene pseudovitamina B12, que es biológicamente inactiva en los seres humanos.[48] Las compañías que comercian con ella y le hacen promoción, reclaman que es una fuente importante de esta vitamina, basándose en ensayos no publicados y dicen no aceptar críticas de organizaciones científicas independientes. La Academia de nutrición y dietética de los Estados Unidos y los Dietistas de Canadá en su documento sobre su posición en cuanto a las dietas vegetarianas, establecen que el suplemento spirulina no es una fuente fiable de vitamina B12 activa.[49] La literatura médica disponible al respecto, también advierte que este suplemento no es una fuente de B12.[48][50]

Suplementos sin cianuro

Recientemente la metilcobalamina sublingual está disponible en comprimidos de 1 mg. Estas pastillas tienen mayor biodisponibilidad que la cianocobalamanina. Con la metilcobalamina no se libera cianuro, aunque la cantidad en una tableta de cianocobalamina es el 2 % del peso, o 20 μg (tabletas de 1 mg), cantidad de cianuro que es mucho menor de la que se ingiere en muchos de los alimentos naturales. No obstante, la seguridad de la cianocobalamina no ha sido seriamente investigada, la seguridad de los otros tipos de B12 sí está bien establecida.[51]

Algas: fuente controvertida

La «Vegan Society» del Reino Unido, el «Vegetarian Resource Group» y el «Comité de médicos por una medicina responsable», entre otros, recomiendan insistentemente a los veganos, que consuman alimentos fortificados con B12 o que tomen un suplemento de esta vitamina, diaria o semanalmente, para cubrir la ingesta recomendada.[52]

Para los veganos, cuyos alimentos no proporcionan fuentes de vitamina B12, y para cualquier persona que desee obtener esta vitamina de fuentes diferentes a los alimentos de origen animal, es importante saber que algunas de estas fuentes contienen ninguna o poca cantidad de la pseudovitamina B12 o son ricos en esta pseudovitamina biológicamente inactiva (análoga). Sin embargo, no ha habido ensayos en humanos, significativos y con un tamaño de muestra suficiente, que demuestren la actividad enzimática de la B12 de fuentes bacterianas y algas marinas comestibles como la Chlorella y las laver; aunque se ha notificado que algunas de estas fuentes parecen contener B12 químicamente idéntica a la vitamina biológicamente activa.[53] Sin embargo, de entre estas fuentes, solo se ha publicado que las algas marinas frescas como la Susabi-nori (Porphyra yezoensis)[54] han demostrado tener actividad de vitamina B12 en ratas con hipovitaminosis B12. Esto no se ha demostrado aún con la Chlorella y ningún estudio en ratas de cualquier fuente de B12 que sea algún alga, ha sido confirmado por un segundo estudio independiente. La posibilidad de que las algas contengan algún derivado activo de B12 sigue siendo un tema de activa investigación, sin resultados que lleven a un consenso en la comunidad internacional.

Síntesis y producción industrial

La producción industrial de la vitamina B12 es posible gracias a proceso de fermentación por microorganismos seleccionados.[55] Streptomyces griseus, una bacteria que fue considerada como un hongo, fue durante muchos años la fuente de B12 en el medio comercial.[56] Las especies Pseudomonas denitrificans y Propiobacterium shermanii son las de mayor uso en la actualidad.[57] (Generalmente son cultivadas en condiciones especiales para mejorar el rendimiento y, al menos una empresa la Rhône-Poulenc de Francia, que se ha fusionado con Sanofi-Aventis) utiliza cepas modificadas gracias a la ingeniería genética de una o ambas de estas especies. Dado que un buen número de especies de Propionibacterium no producen exotoxinas o endotoxinas y son consideradas, en general, como seguras para uso humano según la Administración de alimentos y medicamentos de Estados Unidos, quien le ha concedido la condición de «Generalmente reconocido como seguro» para los organismos que son usados para la fermentación, siendo estas bacterias modificadas las preferidas por esta administración para la producción de vitamina B12.[58]

Véase cianocobalamina para conocer más detalles sobre la preparación química de los análogos de cobalto reducido de esta vitamina. Para la preparación de las formas fisiológicas de esta vitamina véanse adenosilcobalamina y metilcobalamina.

Deficiencia

Causas

Existen diversos orígenes de la hipovitaminosis B12 , ya que la falta de cualquiera de los pasos de la compleja metabolización que sufren las cobalaminas desde los alimentos hasta su utilización por las células, ocasiona la interrupción de esta y por lo tanto la posibilidad de desarrollar una deficiencia de cobalaminas.[59] Entre las causas se encuentran:[60]

  • Dieta restrictiva
  • Desórdenes gástricos
  • Desórdenes mixtos
  • Desórdenes intestinales
  • Defectos ileales (del íleon, porción del intestino delgado, especialmente un padecimiento conocido como "Síndrome de intestino corto")
  • Desórdenes del transporte plasmático
  • Desórdenes del metabolismo celular

Cuadro clínico

Los síntomas de la hipovitaminosis B12 incluyen manifestaciones no específicas de: megaloblastosis, anemia, pérdida de peso; y características específicas ocasionadas por la deficiencia de cobalaminas, principalmente alteraciones neurológicas. El grupo de síntomas clásicos: palidez flavínica, glositis y parestesias, es la forma más habitual, aunque de manera consistente, de presentación. Otras formas de manifestación frecuentes derivan de la aparición de trastornos gastrointestinales o neuropsiquiátricos.[60]

La hipovitaminosis B12 produce una desmielinización discontinua, difusa y progresiva de los cordones dorsales y laterales de la médula espinal y de la corteza cerebral. Las principales características de la disfunción neurológica son su distribución simétrica y distal, fundamentalmente en manos y pies.[60] Los síntomas más tempranos y comunes son: parestesias, entumencimiento y pérdida de la sensibilidad. Es frecuente la desorientación, la pérdida para sentir la vibración, especialmente las altas frecuencias. Puede haber disminución de los reflejos tendinosos profundos, pero la hiperreflexia y la espasticidad sobrevienen cuando los cordones laterales están involucrados. Con frecuencia se puede desarrollar trastornos de la marcha que pueden alcanzar la ataxia.[60]

Las alteraciones mentales van desde la irritabilidad hasta la demencia, una similar a la enfermedad de Alzheimer, y es posible la aparición de: psicosis, esquizofrenia paranoide (locura megaloblástica) e incluso el coma. También puede presentarse: somnolencia, perversión del gusto, del olfato y de la visión, con ocasional atrofia óptica. La serie de disfunciones neurológica es larga y puede incluir: disfunción vesical, impotencia, hipotensión ortostática, disturbios visuales que pueden incluir la pérdida de la agudeza visual y de la percepción del color.[60][61]

El síndrome Imerslund-Gräsbeck es una rara enfermedad en la que se presenta mala y selectiva absorción de cobalamina con proteinuria originada debido a un defecto en los receptores ileales.

La forma más eficaz de comprobar los niveles en sangre de vitamina B12, es analizando el ácido metilmalónico, pero no será fiable si se padece insuficiencia renal.[62] Sin embargo, si los niveles elevados de ácido metilmalónico siguen acompañados de niveles elevados de ácido malónico, esto también puede indicar la enfermedad metabólica, a menudo pasada por alto,[63] aciduria malónica y metilmalónica combinada (CMAMMA).[64]

Véase también

Referencias

  1. Número CAS
  2. Yamada, Kasuhiro (2013). Sigel, Astrid; Sigel, Helmut; Sigel, Roland K. O., eds. Interrelations between essential metal ions and human diseases [Las interrelaciones entre iones metálicos esenciales y las enfermedades humanas.]. Metal ions in life sciences (en inglés). Vol. 13. Springer. pp. 295—320. doi:10.1007/978-94-007-7500-8_9.
  3. 1). Mangels, Reed; Messina, Virginia; Messina, Mark (2011) [2004]. «Chapter 7 Vitamins — Vitamin B12» [Capítulo 7 Vitaminas — Vitamina B12]. The dietitian's guide to vegetarian diets: issues and applications [La guía del dietista para dietas vegetarianas: temas y aplicaciones] (en inglés) (3a ed. edición). Sudbury, Massachusetts, Estados Unidos. p. 179. ISBN 9780763779764. OCLC 642278509. Consultado el 22 de junio de 2014.
    2). Mangels, Reed. Vitamin B12 in the Vegan Diet [La vitamina B12 en la dieta vegetariana]. Simply Vegan (en inglés). The Vegetarian Resource Group. Consultado el 22 de junio de 2014. «La vitamina B12 es necesaria para la división celular y la formación de la sangre. Ni las plantas ni los animales la elaboran. Son las bacterias las responsables de la producción de esta vitamina. Los animales la obtienen al comer alimentos contaminados por las bacterias productoras de la vitamina B12 lo que hace que los animales sean una fuente de esta vitamina. Los alimentos vegetales no contienen vitamina B12, excepto cuando se encuentran contaminados por microorganismos o la tienen untada a ellos. Es por esto que los veganos han de recurrir al consumo de alimentos fortificados con vitamina B12 u obtenerla por ingesta de suplementos con el ánimo de añadirla a sus dietas.
    Inglés: Vitamin B12 is needed for cell division and blood formation. Neither plants nor animals make vitamin B12. Bacteria are responsible for producing vitamin B12. Animals get their vitamin B12 from eating foods contaminated with vitamin B12 and then the animal becomes a source of vitamin B12. Plant foods do not contain vitamin B12 except when they are contaminated by microorganisms or have vitamin B12 added to them. Thus, vegans need to look to fortified foods or supplements to get vitamin B12 in their diet.»

    3). Office of Dietary Supplements (24 de junio de 2011). Vitamin B12 [Vitamina B12]. Dietary Supplement Fact Sheet (en inglés). U. S. Department of Health & Human Services — National Institutes of Health. Consultado el 22 de junio de 2014.
    4). whfoods.org (Sin fecha). «Vitamin B12 - cobalamin — Food sources» (en inglés). The world's heatlthiest foods. Consultado el 19 de agosto de 2014.
  4. Office of Dietary Supplements (24 de junio de 2011). «Vitamin B12 — Dietary supplement fact sheet» (en inglés). National Institutes of Health. Consultado el 25 de julio de 2014.
  5. 1). Albert, M. J.; Mathan, V. I.; Baker (21 de febrero de 1980). «Vitamin B12 synthesis by human small intestinal bacteria» [La síntesis de la vitamina B12 por pequeñas bacterias en los intestinos humanos]. Nature (en inglés). Vol. 283 (No. 5749): 781-782. PMID 7354869. doi:10.1038/283781a0.
    2). Chanarin, I.; Muir, M. (mayo de 1982). «Demonstration of vitamin B12 analogues in human sera not detected by microbiological assay» [Demostración de que los análogos de la vitamina B12 presentes en el plasma humano no son detectados mediante una prueba microbiológica]. British journal of haemotology (en inglés). Vol. 51 (No. 1): 171-173. PMID 7041953. doi:10.1111/j.1365-2141.1982.tb07301.x.
  6. 1). Yamada, K.; Shimodaira, M.; Chida; Yamada, N.; Matsushima, N.; Fukuda, M.; Yamada, S. (Julio-septiembre de 2008). «Degradation of vitamin B12 in dietary supplements» [Degradación de la vitamina B12 en los suplementos nutricionales]. International Journal for Vitamin and Nutrition Research (en inglés). Vol. 78 (No. 45): 195-203. PMID 19326342. doi:10.1024/0300-9831.78.45.195.
    2). Herbert, V.; Drivas, G.; Foscaldi, R.; Manusselis, C.; Colman, N.; Kanazawa, S.; Das, K.; Gelernt, M.; Herzlich, B.; Jennings, J. (julio de 1982). «Multivitamin/mineral food supplements containing vitamin B12 may also contain analogues of vitamin B12» [Los suplementos alimenticios multivitamínicos y de minerales que contienen vitamina B12 también pueden contener sus análogos]. New England Journal of Medicine (en inglés). Vol. 307 (No. 4): 255-256. PMID 7088084. doi:10.1056/NEJM198207223070424.
  7. Watanabe, F.; Katsura, H.; Takenaka, S.; Fujita, T.; Aba, K.; Tamura, Y.; Nakatsuka, T.; Nakano, Y. (noviembre de 1999). «Pseudovitamin B(12) is the predominant cobamide of an algal health food, spirulina tablets» [La pseudovitamina B12 es la cobamida predominante en las algas marinas comestibles y en las tabletas de espirulina]. Journal of agricultural and food chemistry (en inglés). Vol. 47 (No. 11): 4736-4741. PMID 10552882. doi:10.1021/jf990541b.
  8. Yamada, K.; Yamada, Y.; Fukuda, M.; Yamada, S. (noviembre de 1999). «Bioavailability of dried asakusanori (porphyra tenera) as a source of Cobalamin (Vitamin B12)» [Biodisponibilidad de cobalamina (vitamina B12) en la asakusanori seca (Porphyra tenera)]. International journal for vitamin and nutrition research (en inglés). Vol. 69 (No. 6): 412-418. OCLC 10.1024/0300-9831.69.6.412. PMID 10642899.
  9. «The Nobel Prize in Physiology or Medicine 1934» (en inglés). Nobelprize.org. Sin fecha. Consultado el 1 de agosto de 2014.
  10. Department of animal & avian sciences, ed. (Sin fecha). «The 2012 Shorb lecture - May 10, 2012» (en inglés). Universidad de Maryland. Archivado desde el original el 12 de diciembre de 2023. Consultado el 2 de agosto de 2014.
  11. Kirkland, Kyle (2018). Biological sciences: notable research and discoveries [Ciencias biológicas: destacadas investigaciones y descubrimientos]. Frontiers of science (en inglés). Nueva York: Facts on file. p. 87. ISBN 0816074399. OCLC 318716148. Consultado el 2 de agosto de 2014.
  12. Khan, Adil Ghani; Eswaran, S. V. (Junio de 2003). «Woodward’s synthesis of vitamin B12» [La síntesis de la vitamina B12 por Woodward]. Resonance (en inglés). Vol. 8 (No. 6): 8-16. doi:10.1007/BF02837864.
  13. 1). Eschenmoser, Albert; Winter, Claude E. (24 de junio de 1977). «Natural product synthesis and vitamin B12» [Síntesis de productos naturales y la vitamina B12]. Science (en inglés). Vol. 196 (No. 4297): 1410-1420. doi:10.1126/science.867037.
    2). Riether, Doris; Mulzer, Johann (Enero de 2003). «Total synthesis of cobyric acid: historical development and recent synthetic innovations» [La síntesis total del ácido cobírico: desarrollo histórico y recientes innovaciones sintéticas]. European journal of organic chemistry (en inglés). Vol. 2003 (No. 1): 30-45. doi:10.1002/1099-0690(200301)2003:1<30::AID-EJOC30>3.0.CO;2-I.
  14. 1). Forrellat Barrios, Mariela; Gómis Hernández, Irma; Gautier du Défaix Gómez, Hortensia (1999). «Vitamina B12: metabolismo y aspectos clínicos de su deficiencia». Revista cubana de hematología, inmunología y hemoterapia (La Habana, Cuba: Ciencias Médicas. Centro Nacional de Información de Ciencias Médicas, Ministerio de Salud Pública). Vol. 15 (No. 3): 159-174. ISSN 1561-2996. OCLC 54623324. Archivado desde el original el 15 de julio de 2014. Consultado el 2 de agosto de 2014.
    2) Jaouen, Gérard (2006) [2005]. Bioorganometallics: biomolecules, labelling, medicine [Biorganometálicos: biomoléculas, clasificación, medicina] (en inglés). Weinheim, Alemania y Chichester, Inglaterra: En Alemania Wiley-VCH y por John Wiley distributor en Inglaterra. ISBN 352730990X. OCLC 475222080. Archivado desde el original el 10 de agosto de 2014. Consultado el 2 de agosto de 2014.
  15. Herbert, Victor (Septiembre de 1988). «Vitamin B-12: plant sources, requirements, and assay» [Vitamina B12: fuentes vegetales, requerimientos y un ensayo]. The American Journal of Clinical Nutrition (en inglés). Vol. 48 (No. 3 [Suplemento]): 852-858. PMID 3046314. Consultado el 2 de agosto de 2014.
  16. Shepherd, G.; Vélez, Ll. (Mayo de 2008). «Role of hydroxocobalamin in acute cyanide poisoning» [Papel de la hidroxicobalamina en la intoxicación aguda por cianuro]. Ann Pharmacother (en inglés). Vol. 42 (No. 5): 661-669. PMID 18397973. doi:10.1345/aph.1K559.
  17. 1). Voet, Judith G.; Voet, Donald (1995) [1990]. Biochemistry [Bioquímica] (en inglés) (2ª edición). Nueva York: J. Wiley & Sons. ISBN 047158651X. OCLC 31819701.
    2). Banerjee, Ruma; Ragsdale, Stephen W. (Julio de 2003). «The many faces of vitamin B12: catalysis by cobalamin-dependent enzymes» [Las múltiples facetas de la vitamina B12: la catálisis por enzimas cobaltodependientes]. Annual review of biochemistry (en inglés) (Lincoln, Nebraska, EE. UU.: Departamento de bioquímica; Universidad de Nebraska). Vol. 72: 209-247. PMID 14527323. doi:10.1146/annurev.biochem.72.121801.161828.
  18. Institute of Medicine (U.S.). Standing Committee on the Scientific Evaluation of Dietary Reference Intakes.; Institute of Medicine (U.S.). Panel on Folate, Other B Vitamins, and Choline.; Institute of Medicine (U.S.). Subcommittee on Upper Reference Levels of Nutrients. (1998). «9 Vitamin B12» [9 Vitamina B12] (pdf). Dietary reference intakes for thiamin, riboflavin, niacin, vitamin b6, folate, vitamin B12, pantothenic acid, biotin, and choline [Consumo alimenticio de referencia para tiamina, riboflavina, niacina, vitamina B6, ácido fólico, vitamina B12, ácido pantoténico, biotina y colina] (en inglés). Washington, D.C.: National Academy Press. pp. 306-356. ISBN 0309064112. OCLC 43657021. Archivado desde el original el 14 de julio de 2014. Consultado el 2 de agosto de 2014.
  19. Banerjee, Ruma V.; Matthews, Rowena G. (Marzo de 1990). «Cobalamin-dependent methionine synthase» [La cobalamina dependiente de la metionina sintasa]. The FASEB journal (en inglés) (Federation of american societies for experimental biology). Vol. 4 (No. 5): 1450-1459. Consultado el 2 de agosto de 2014.
  20. 1). Pita Rodríquez, Gisela (1998). «Ácido fólico y vitamina B12 en la nutrición humana». Revista cubana de hematología, inmunología y hemoterapia (La Habana, Cuba: Ciencias Médicas. Centro Nacional de Información de Ciencias Médicas, Ministerio de Salud Pública). Vol. 12 (No. 2): 107-119. ISSN 1561-2996. OCLC 54623324. Archivado desde el original el 13 de noviembre de 2014. Consultado el 2 de agosto de 2014.
    2). Herbert, Victor (1999). «Editorial: potential harmful effects of folate food fortification without added cobalamin» (en inglés). Victorherbert.com. Archivado desde el original el 30 de enero de 2009. Consultado el 2 de agosto de 2014.
  21. Wickramasinghe, Sunitha N. (Septiembre de 1995). «Morphology, biology and biochemistry of cobalamin and folate-deficient bone marrow cells» [Morfología, biología y bioquímica de la cobalamina y las células de la médula ósea con deficiencia de folato]. Baillière's Clinical Haematology (en inglés). Vol. 8 (No. 3): 441-459. doi:10.1016/S0950-3536(05)80215-X.
  22. Stover, Patrick J.; Layden, Alexander J.; Finkelstein, Julia L. (1 de septiembre de 2015). «Vitamin B-12 and Perinatal Health». Advances in Nutrition (en inglés) 6 (5): 552-563. ISSN 2161-8313. doi:10.3945/an.115.008201. Consultado el 2 de abril de 2019.
  23. Naidich, Michelle J.; Ho, Sam U. (Octubre de 2005). «Case 87: subacute combined degeneration» [Caso 87: La degeneración subaguda combinada]. Radiology (en inglés) (Radiological Society of North America {RSNA}). Vol. 237 (No. 1): 101-105. PMID 16183926. doi:10.1148/radiol.2371031757.
  24. Bottiglieri, Teodoro (1 de diciembre de 1996). «Folate, Vitamin B12, and Neuropsychiatric Disorders» [Folato, vitamina B12 y desórdenes neuropsiquiátricos]. En Fukagawa, Naomi K., ed. Nutrition Reviews (en inglés). Vol. 54 (No. 12). doi:10.1111/j.1753-4887.1996.tb03851.x. (requiere suscripción). «El folato y la vitamina B12 son necesarios tanto en la metilación de la homocisteína a metionina como en la síntesis de la S-adenosilmetionina. La S-adenosilmetionina participa en numerosas reacciones de metilación que implican proteínas, fosfolípidos, el ADN y el metabolismo de neurotransmisores. Tanto el ácido fólico como la vitamina B12 pueden causar deficiencia neurológica similares y trastornos psiquátricos como la depresión, la demencia y una mielopatía desmielizante. Una teoría actual propone que un defecto en los procesos de metilación es la clave fundamental para sentar las bases de la nueropsiquiatría de la deficiencia de esta vitamina. La deficiencia de folato puede afectar, específicamente, el metabolismo de la monoamina central y agravar los trastornos depresivos. Además los efectos neurotóxicos de la homocisteína también pueden desempeñar una función en los trastornos neurológicos y psiquiátricos que están asociados con la deficiencia de folato y vitamina B12.
    Inglés: Folate and vitamin B12 are required both in the methylation of homocysteine to methionine and in the synthesis of S-adenosylmethionine. S-ad-enosylmethionine is involved in numerous methylation reactions involving proteins, phospholipids, DNA, and neurotransmitter metabolism. Both folate and vitamin B12 deficiency may cause similar neurologic and psychiatric disturbances including depression, dementia, and a demyelinating myelopathy. A current theory proposes that a defect in methylation processes is central to the biochemical basis of the neuropsychiatry of these vitamin deficiencies. Folate deficiency may specifically affect central monoamine metabolism and aggravate depressive disorders. In addition, the neurotoxic effects of homocysteine may also play a role in the neurologic and psychiatric disturbances that are associated with folate and vitamin B12 deficiency.»
  25. A. Vogiatzoglou et al. (septiembre, de 2008). «Vitamin B12 status and rate of brain volume loss in community-dwelling elderly». Neurology 71 (11): 826-832. doi:10.1212/01.wnl.0000325581.26991.f2.
  26. Robert Clarke et al. (1998). «Folate, Vitamin B12, and Serum Total Homocysteine Levels in Confirmed Alzheimer Disease». Arch Neurol 55 (11): 1449-1455. doi:10.1001/archneur.55.11.1449.
  27. Lieberman, Michael; Marks, Allan D.; Smith, Collen M. (2009). Marks' basic medical biochemistry: a clinical approach [Bioquímica básica de Marks: un enfoque clínico] (en inglés) (3ª edición). Filadelfia: Wolters Kluwer Health/Lippincott Williams & Wilkins. p. 757. ISBN 078177022X. Consultado el 6 de agosto de 2014.
  28. Beck, Melinda (18 de enero de 2011). «Sluggish? Confused? Vitamin B12 May Be Low» (en inglés). The Wall Street journal. Consultado el 6 de agosto de 2014.
  29. Allen, Robert H.; Seetharam, Bellur; Podell, Elaine; Alpers, David H. (1 de enero de 1978). «Effect of proteolytic enzymes on the binding of cobalamin to r protein and intrinsic factor: in vitro evidence that a failure to partially degrader protein is responsible for cobalamin malabsorption in pancreatic insufficiency» [Efecto de las enzimas proteolíticas sobre la unión de la cobalamina a la proteína R y al factor intrínseco: evidencia in vitro de que la falta de proteínas parcialmente desgradadas es responsable de la mala absorción de la cobolamina en la insuficiencia pancreática]. The journal of clinical investigation (en inglés) (The american society for clinical investigation). Vol. 61 (No. 1): 47-54. PMC 372512. doi:10.1172/JCI108924. Consultado el 6 de agosto de 2014.
  30. Combs, Gerald F. (2008) [1992]. «17 Vitamin B12» [17 Vitamina B12]. The vitamins: fundamental aspects in nutrition and health [Las vitaminas: aspectos fundamentales en la nutrición y en la salud] (en inglés) (3ª edición). Amsterdam, Boston, EE. UU.: Elsevier Academic Press. ISBN 012183493X. OCLC 150255807. Consultado el 6 de agosto de 2014.
  31. Schick, Paul (27 de febrero de 2013). Besa, Emmanuel C., ed. «Pernicious Anemia» (en inglés). Medescape.com. Consultado el 6 de agosto de 2014.
  32. Abels, J.; Vegter, J. J. M.; Woldring, M. G.; Jans, J. H.; Nieweg, H. O. (Diciembre-enero de 1959). «The physiologic mechanism of vitamin B12 absorption» [El mecanismo fisiológico de la absorción de la vitamina B12]. Acta medica scandinavica (en inglés) (Journal of internal medicine). Vol. 165 (No. 2): 105. doi:10.1111/j.0954-6820.1959.tb14477.x.
  33. «B12: An essential part of a healthy plant-based diet Overview» (en inglés). International Vegetarian Union. Sin fecha. Consultado el 6 de agosto de 2014.
  34. Office of Dietary Supplements (24 de junio de 2011). «Vitamina B12 — Hoja informativa para consumidores — ¿Qué alimentos son fuente de vitamina B12?» (en inglés). National Institutes of Health. Consultado el 6 de agosto de 2014.
  35. Doscherholmen, A.; McMahon, J.; Ripley, D (Septiembre de 1975). «Vitamin B12 absorption from eggs» [La absorción de la vitamina B12 de los huevos]. Proceedings of the Society for Experimental Biology and Medicine (en inglés) (Society for Experimental Biology and Medicine). Vol. 149 (No. 4): 987-990. PMID 1172618.
  36. 1). Kwak, Chung Shil; Lee, Mee Sook; Lee, Hae Jeung; Whang, Jin Yong; Park, Sang Chul (Junio de 2010). «Dietary source of vitamin B12 intake and vitamin B12 status in female elderly Koreans aged 85 and older living in rural area» [Fuente dietética para la ingesta de vitamina B12 y el estado de la vitamina B12 en mujeres coreanas mayores de 85 años y que además viven en área rural]. Nutrition research and practice (en inglés). Vol. 4 (No.3): 229-234. PMC 2895704. PMID 20607069. doi:10.4162/nrp.2010.4.3.229. Consultado el 7 de agosto de 2014.
    2). Kwak, Chung Shil; Lee, Mee Sook; Oh, Se In; Park, Sang Chul (2010). «Discovery of novel sources of vitamin B12 in traditional korean foods from nutritional surveys of centenarians» [El descubrimiento de nuevas fuentes de vitamina B12 en los alimentos tradicionales coreanos a causa de las encuestas nutricionales realizadas entre los centenarios]. Current Gerontology and Geriatrics Research (en inglés). Vol. 2010. PMC 3062981. PMID 21436999. doi:10.1155/2010/374897. Consultado el 7 de agosto de 2014.
  37. Synergydrinks.com (2010). «Nutrition facts» (en inglés). Archivado desde el original el 16 de junio de 2011. Consultado el 6 de agosto de 2014.
  38. Kittaka-Katsura, Hiromi; Ebara, Syuhei; Watanabe, Fumio; Nakano, Yoshihisa (20 de enero de 2004). «Characterization of corrinoid compounds from a japanese black tea (batabata-cha) fermented by bacteria» [Caracterización de los compuestos corrinoides de un té negro japonés (batabata-cha) fermentado por bacterias]. Journal of Agricultural and Food Chemistry (en inglés). Vol. 52 (No. 4): 909-911. PMID 14969549. doi:10.1021/jf030585r.
  39. Herbert, Victor (Septiembre de 1988). «Vitamin B-12: plant sources, requirements, and assay» [Vitamina B12: fuentes vegetales, requerimientos y un ensayo]. The American Journal of Clinical Nutrition (en inglés). Vol. 48 (No. 3 [Suplemento]): 852-858. PMID 3046314. Consultado el 7 de agosto de 2014.
  40. Daisley, K. W. (1969). «Monthly survey of vitamin B12 concentrations in some waters of the English Lake district» [Estudio mensual sobre las concentraciones de vitamina B12 en algunas aguas del distrito inglés Lake] (pdf). Limnology and oceanography (en inglés). Vol. 14 (No. 2): 224-228. doi:10.4319/lo.1969.14.2.0224. Archivado desde el original el 27 de septiembre de 2013. Consultado el 7 de agosto de 2014.
  41. Wakayama, Edgar J.; Dillwith, Jack W.; Howard, Ralph W.; Blomquist, Gary J. (1984). «Vitamin B12 levels in selected insects» [Niveles de vitamina B12 en insectos seleccionados]. Insect Biochemistry (en inglés). Vol. 14 (No. 2): 175-179. doi:10.1016/0020-1790(84)90027-1.
  42. Albert, M. J.; Mathan, V. I.; Baker, S. J. (21 de febrero de 1980). «Vitamin B12 synthesis by human small intestinal bacteria» [La síntesis de la vitamina B12 por pequeñas bactierias intestinales en humanos]. Nature (en inglés). Vol. 283 (No. 5749): 781-782. PMID 7354869. doi:10.1038/283781a0.
  43. US Vitamin injections (2012). «B12 Shots» (en inglés). Archivado desde el original el 25 de mayo de 2012. Consultado el 7 de agosto de 2014.
  44. Grunert, Jeanne (Sin fecha). «Can B12 shots help reduce fat?» (en inglés). lovetoknow.com. Consultado el 7 de agosto de 2014.
  45. Sharabi, Garty; Cohen, Amir; Moshe (Diciembre de 2003). «Replacement therapy for vitamin B12 deficiency: comparison between the sublingual and oral route» [Terapia de reemplazo para el tratamiento de la hipovitaminosis B12: comparación entre la sublingual y la oral]. British journal of clinical pharmacology (en inglés). Vol. 56 (No. 6): 635-638. PMC 1884303. PMID 14616423. doi:10.1046/j.1365-2125.2003.01907.x. Consultado el 7 de agosto de 2014. |autor= y |apellidos= redundantes (ayuda)
  46. 1). Bolaman, Zahit; Kadikoylu, Gurhan; Yukselen, Vahit; Yavasoglu, Irfan; Barutca, Sabri; Sentruk, Taskin (Diciembre de 2003T). «Oral versus intramuscular cobalamin treatment in megaloblastic anemia: a single-center, prospective, randomized, open-label study» [Tratamiento oral versus intramuscular con cobalamina en la anemia megaloblástica: un estudio monocéntrico, prospectivo, abierto y aleatorio]. Clinical therapeutics (en inglés). Vol. 25 (No. 12): 3124-3134. PMID 14749150. doi:10.1016/S0149-2918(03)90096-8.
    2). Lane, Lenee A.; Rojas-Fernández, Carlos (Julio-agosto de 2002). «Treatment of vitamin B12–deficiency anemia: oral versus parenteral therapy» [Tratamiento de la anemia por hipovitaminosis B12: tratamiento oral versus parenteral]. The annals of pharmacotherapy (en inglés). Vol. 36 (No. 7-8): 1268-1272. PMID 12086562. doi:10.1345/aph.1A122.
    3) Butler, Christopher C.; Vidal-Alaball, Joseph; Cannings-John, Rebecca; McCaddon, Andrew; Hood, Kerenza; Papaioannou, Alexandra; McDowell, Ian; Goringe, Andrew (2006). «Oral vitamin B12 versus intramuscular vitamin B12 for vitamin B12 deficiency: a systematic review of randomized controlled trials» [Vitamina B12 oral versus intramuscular para tratar la hipovitaminosis B12: una revisión sistemática de ensayos de control aleatorio]. Family practice (en inglés). Vol. 23 (No. 3): 279-285. PMID 16585128. doi:10.1093/fampra/cml008.
  47. 1). Andersson, Hans C.; Shapira, Emmanuel (Enero de 1998). «Biochemical and clinical response to hydroxocobalamin versus cyanocobalamin treatment in patients with methylmalonic acidemia and homocystinuria (cblC)» [Respuesta bioquímica y clínica del tratamiento con hidroxicobalamina frente al de cianocobalamina en pacientes con acidemia metilmalónica con homocistinuria (cblC)]. The journal of pediatrics (en inglés). Vol. 132 (No. 1): 121-124. PMID 9470012. doi:10.1016/S0022-3476(98)70496-2.
    2). Roze, Emmanuel; Gervais, David; Demeret, Sophie; Ogier de Baulny, Hélène; Zittoun, Jacqueline; Benoist, Jean-François; Said, Gérard; Pierrot-Deseilligny, Charles et al. (Octubre de 2003). «Neuropsychiatric disturbances in presumed late-onset cobalamin C disease» [Trastornos neuropsiquiátricos en la presunta tardía aparición de la enfermedad cobalamina C]. Archives of neurology (en inglés). Vol. 60 (No. 10): 1457-1462. PMID 14568819. doi:10.1001/archneur.60.10.1457.
    3). Thauvin-Robinet, C.; Roze, E.; Couvreur, G.; Horellou, M-H.; Sedel, F.; Grabli, D.; Bruneteau, G.; Tonneti, C.; Masurel-Paulet, A.; Perennou, D.; Moreau, T.; Giroud, M.; Ogier de Baulny, H.; Giraudier, S.; Faivre, L (2008). «The adolescent and adult form of cobalamin C disease: clinical and molecular spectrum» [La forma adolescente y adulta de la enfermedad cobalamina C: espectro clínico y molecular]. Journal of neurology, neurosurgery and psichiatry (en inglés). Vol. 79 (No. 6): 725-728. PMID 18245139. doi:10.1136/jnnp.2007.133025.
    4). Heil, Sandra G.; Hogeveen, Marije; Kluiltmans, Leo A. J.; van Dijken, P. J.; van Berg, Gerard B.; Blom, Henk J.; Morava, Eva (Octubre de 2007). «Marfanoid features in a child with combined methylmalonic aciduria and homocystinuria (CblC type)» [Características marfnoides en un niño con aciduria metilmalónica combinada con homocistinuria (tipo CblC)]. Journal of inherited metabolic disease (en inglés). Vol. 30 (No. 5): 811. PMID 17768669. doi:10.1007/s10545-007-0546-6.
    5). Tsai, Anne Chun-Hui; Morel; Scharer, Chantal F.; Yang, Gunter; Lerner-Ellis, Michael; Rosenblatt, Jordan P.; Thomas, David S. (15 de octubre de 2007). «Late-onset combined homocystinuria and methylmalonic aciduria (cblC) and neuropsychiatric disturbance» [Homocistinuria combinada tardía y aciduria metilmalónica (cblC) y trastornos neuropsiquiátricos]. American journal of medical genetics Part A (en inglés). Vol. 143A (No. 20): 2430-2434. PMID 17853453. doi:10.1002/ajmg.a.31932.
  48. Watanabe, F. (noviembre de 2007). «Vitamin B12 sources and bioavailability» [Vitamina B12: fuentes y biodisponibilidad]. Experimental Biology and Medicine (en inglés) (Maywood). Vol. 323 (No. 10): 1266-1274. PMID 17959839. Consultado el 7 de agosto de 2014.
  49. American Dietetic Association; Dietitians of Canada (junio de 2003). «Position of the American Dietetic Association and Dietitians of Canada: Vegetarian diets» [Posición de la Asociación estadounidense de dietistas y de los Dietistas de Canadá: dietas vegetarianas] (pdf). ADA Reports (en inglés) (American Dietetic Association). Vol. 103 (No. 6). Consultado el 7 de agosto de 2014.
  50. Watanabe, F.; Katsura, H.; Takenaka, S.; Fujita, T.; Abe, K.; Tamura, Y.; Nakatsuka, T.; Nakano, Y. (noviembre de 1999). «Pseudovitamin B(12) is the predominant cobamide of an algal health food, spirulina tablets» [La pseudovitamina B12 es la cobamida predominante en el alga comestible y en las tabletas de spirulina]. Journal of Agricultural and Food Chemistry (en inglés). Vol. 47 (No. 11): 4736-4741. PMID 10552882. Consultado el 7 de agosto de 2014.
  51. Scientific opinion of the panel on food additives and nutrient sources added to food (2008). «Scientific opinion — on 5’-deoxyadenosylcobalamin and methylcobalamin as sources for vitamin B12 added as a nutritional substance in food supplements» [Opinión científica — sobre la 5'-desoxiadenosilcobalamina y la metilcobalamina como fuentes de vitamina B12 añadida como sustancia nutricional en los alimentos suplementados]. The European food safety authority journal (pdf) (en inglés). Vol. 815: 1-21. doi:10.2903/j.efsa.2008.815.
  52. 1). Vegan Society (Sin fecha). «Vitamin B12: your key facts» (en inglés). Consultado el 7 de agosto de 2014.
    2). Mangels, Reed (Sin fecha). «Vitamin B12 in the vegan diet» (en inglés). The vegetarian resource group. Consultado el 7 de agosto de 2014.
    3). Physicians committee for responsible medicine (Sin fecha). «Don't vegetarians have trouble getting enough vitamin B12 (en inglés). Comité de médicos por una medicina responsable. Archivado desde el original el 27 de julio de 2011. Consultado el 7 de agosto de 2014.
  53. 1). Kittaka-Katsura, Hiromi; Fujita, Tomoyuki; Watanabe, Fumio; Nakano, Yoshihisa (16 de julio de 2002). «Purification and characterization of a corrinoid compound from chlorella tablets as an algal health food» [Purificación y caracterización de un compuesto corrinoide de tabletas del alga Chlorella como un alimento saludable]. Journal of agricultural and food chemistry (en inglés). Vol. 50 (No. 17): 4994-4997. PMID 12166996. doi:10.1021/jf020345w.
    2). Watanabe, Fumio; Takenaka, Shigeo; Kittaka-Katsura, Hiromi; Ebara, Shuhei; Miyamoto, Emi (28 de abril de 2009). «Characterization and bioavailability of vitamin B12-compounds from edible algae» [Caracterización y biodisponibilidad de los compuestos de vitamina B12 a partir de algas comestibles]. Journal of nutricional science and vitaminolgy (en inglés). Vol. 48 (No. 5): 325-331. PMID 12656203. doi:10.3177/jnsv.48.325.
  54. 1). Watanabe, Fumio; Takenaka, Shigeo; Katsura, Hiromi; Miyamoto, Emi; Abe, Katsuo; Tamura, Yoshiyuki; Nakatsuka, Toshiyuki; Nakano, Yoshihisa (6 de junio de 2000). «Characterization of a vitamin B12 compound in the edible purple laver, Porphyra yezoensis» [Caracterización de un compuesto de vitamina B12 en las laver púrpuras comestibles: Porphyra yezoensis]. Bioscience, biotechnology, and biochemistry (en inglés). Vol. 64 (No. 12): 2712-2715. PMID 11210144. doi:10.1271/bbb.64.2712.
    2). Takenaka, Shigeo; Sugiyama, Sumi; Ebara, Shubei; Miyamoto, Emi; Abe, Katsuo; Tamura, Yoshiyuki; Watanabe, Fumio; Tsuyama, Shingo et al. (Mayo de 2001). «Feeding dried purple laver (nori) to vitamin B12-deficient rats significantly improves vitamin B12 status» [Alimentar con algas laver púrpura (nori) secas a ratas con hipovitaminosis B12, mejora significativamente el nivel de vitamina B12]. British journal of nutrition (en inglés). Vol. 85 (No. 6): 699-703. PMID 11430774. doi:10.1079/BJN2001352.
  55. Martens, J. H.; Barg, H.; Warren, M.; Jahn, D. (Marzo de 2002). «Microbial production of vitamin B12» [Producción microbiana de la vitamina B12]. Applied microbiology and biotechnology (en inglés). Vol. 58 (No. 3): 275-285. doi:10.1007/s00253-001-0902-7.
  56. 1). Linnell, J. C.; Matthews, D. M. (Febrero de 1984). «Cobalamin metabolism and its clinical aspects» [El metabolismo de la cobalamina y sus aspectos clínicos]. Clinical science (en inglés). Vol. 66 (No. 2): 113-121. PMID 6420106.
    2). U.S. Government Printing Office (15 de febrero de 1985). «Code of Federal Regulations — Title 21 - Food and Drugs — § 184.1945 Vitamin B12». U.S. Government Printing Office. Consultado el 7 de agosto de 2014.
  57. De Baets, S.; Vandedrinck, S.; Vandamme, J. J. (2000). Ledeberg, Joshua, ed. Encyclopedia of microbiology [Enciclopedia de microbiología] (en inglés). Vol. 4 (2ª edición). San Diego, California, EE. UU.: Academic press. pp. 837-853. ISBN 0122268008. OCLC 611541504.
  58. Riaz, Muhammad; Ansari, Zumir Ahmed; Iqbal, Fouzia; Akram, Muhammad (2007). «Microbial production of vitamin B12 by methanol utilizing strain of Pseudomonas specie» [Producción microbiana de la vitamina B12 por metanol utilizando una cepa de la especie Pseudomonas]. Pakistan journal of biochemistry and molecular biology (en inglés). Vol. 40 (No. 1): 5-10. Consultado el 7 de agosto de 2014.
  59. «10 síntomas de deficiencia de vitamina B12». Salud y Medicinas. Consultado el 3 de junio de 2020.
  60. Forrellat Barrios, Mariela; Gómis Hernández, Irma; Gautier du Défaix Gómez, Hortensia (1999). «Vitamina B12: metabolismo y aspectos clínicos de su deficiencia». Revista cubana de hematología, inmunología y hemoterapia (La Habana, Cuba: Ciencias Médicas. Centro Nacional de Información de Ciencias Médicas, Ministerio de Salud Pública). Vol. 15 (No. 3): 159-174. ISSN 1561-2996. OCLC 54623324. Archivado desde el original el 15 de julio de 2014. Consultado el 8 de agosto de 2014.
  61. Sethi, N.; Robilotti, E.; Sadan, Y. (2004). «Neurological manifestations of vitamin B-12 deficiency» [Manifestaciones neurológicas de la deficiencia de vitamina B12]. The internet journal of nutrition and wellness (en inglés). Vol. 2 (No. 1). doi:10.5580/5a9.
  62. «Vitamina B12: Suplementación en dieta vegana y vegetariana TODA la información». Dietistas nutricionistas en Barcelona | Centro Júlia Farré. 26 de abril de 2017. Consultado el 31 de enero de 2018.
  63. NIH Intramural Sequencing Center Group; Sloan, Jennifer L; Johnston, Jennifer J; Manoli, Irini; Chandler, Randy J; Krause, Caitlin; Carrillo-Carrasco, Nuria; Chandrasekaran, Suma D et al. (2011-09). «Exome sequencing identifies ACSF3 as a cause of combined malonic and methylmalonic aciduria». Nature Genetics (en inglés) 43 (9): 883-886. ISSN 1061-4036. PMC 3163731. PMID 21841779. doi:10.1038/ng.908.
  64. de Sain-van der Velden, Monique G. M.; van der Ham, Maria; Jans, Judith J.; Visser, Gepke; Prinsen, Hubertus C. M. T.; Verhoeven-Duif, Nanda M.; van Gassen, Koen L. I.; van Hasselt, Peter M. (2016). Morava, Eva, ed. A New Approach for Fast Metabolic Diagnostics in CMAMMA 30. Springer Berlin Heidelberg. pp. 15-22. ISBN 978-3-662-53680-3. doi:10.1007/8904_2016_531.
Este artículo ha sido escrito por Wikipedia. El texto está disponible bajo la licencia Creative Commons - Atribución - CompartirIgual. Pueden aplicarse cláusulas adicionales a los archivos multimedia.