
A degenerate nucleotide is a nucleotide that can perform the same function or yield the same output as a structurally different nucleotide.
Within the nucleotide is a nitrogenous base derived from either purine (Pu) or pyrimidine (Py).
Pyrimidines
| Pyrimidine | |
|---|---|
![]() |
![]() |
![]() |
![]() |
IUPAC name Pyrimidine | |
Other names 1,3-Diazine, m-Diazine | |
| Except where noted otherwise, data are given for materials in their standard state (at 25 °C, 100 kPa) | |
| Infobox references | |
Def. any "six-membered aromatic heterocycle containing four carbon atoms, two nitrogen atoms and three double bonds"[1] is called a diazine.
The diazines have the two nitrogens at the one and two positions (1,2-diazine, pyridazine), one and three (1,3-diazine, pyrimidine), and one and four (1,4-diazine, purazine).
Def. a "diazine in which the two nitrogen atoms are in the meta-positions"[2] is called a pyrimidine.
Purines

Def. any "of a class of organic heterocyclic compounds composed of fused pyrimidine and imidazole rings"[3] is called a purine.
The hydrogen occurring at the purine seven (7) position is called 7H-purine.
Nitrogenous bases

A nitrogenous (nitrogen-containing) base is a nitrogen-containing molecule having the chemical properties of a base. It is an organic compound that owes its property as a base to the lone pair of electrons of a nitrogen atom.
Adenine (A, Ade) is a nucleobase that is a purine derivative. The shape of adenine is complementary to thymine.
Cytosine (C, Cyt) is a nucleobase that is a pyrimidine derivative. In Watson-Crick base pairing, it forms three hydrogen bonds with guanine.
Guanine (G, Gua) is a nucleobase that is a purine derivative. In DNA, guanine is paired with cytosine.
Thymine (T, Thy) is a nucleobase that is a pyrimidine derivative. In DNA, thymine (T) binds to adenine (A) via two hydrogen bonds, thus stabilizing the nucleic acid structures.
Pentoses

Def. a "sugar or saccharide containing five carbon atoms"[4] (usually as a furanose, five-membered ring, or pyranose, six-membered ring) is called a pentose.
Def. a "pentose that is also a ketose"[5] [having an oxygen atom joined to a carbon atom by a double bond] is called a ketopentose.
Def. a pentose that is also a aldose having an H-C=O carbonyl functional group attached to a hydrocarbon radical and a hydrogen atom is called an aldopentose.
Nucleosides
Def. an organic molecule in which a nitrogenous heterocyclic base (or nucleobase), which can be either a double-ringed purine or a single-ringed pyrimidine, is covalently attached to a five-carbon pentose sugar (deoxyribose in DNA or ribose in RNA) is called a nucleoside.
Nucleotides


Def. the monomer that consists of a nitrogenous heterocyclic base (or nucleobase), which can be either a double-ringed purine or a single-ringed pyrimidine; a five-carbon pentose sugar (deoxyribose in DNA or ribose in RNA); and a phosphate group is called a nucleotide.
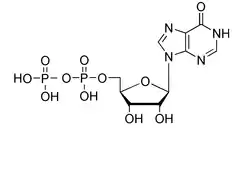
At the top right is a diagram which shows the components that make up inosine diphosphate.
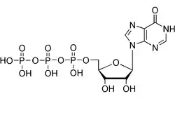
The image at the left shows the components for inosine triphosphate.
Degeneracies
"Within biological systems, degeneracy refers to circumstances where structurally dissimilar components/modules/pathways can perform similar functions (i.e. are effectively interchangeable) under certain conditions, but perform distinct functions in other conditions.[6] Degeneracy is thus a relational property that requires comparing the behaviour of two or more components. In particular, if degeneracy is present in a pair of components then there will exist conditions where the pair will appear functionally redundant but other conditions where they will appear functionally distinct.[6][7]
Degeneracy contributes to the robustness of biological traits through several mechanisms. Degenerate components compensate for one another under conditions where they are functionally redundant, thus providing robustness against component or pathway failure. Because degenerate components are somewhat different, they tend to harbour unique sensitivities so that a targeted attack such as a specific inhibitor is less likely to present a risk to all components at once.[7] There are numerous biological examples where degeneracy contributes to robustness in this way. For instance, gene families can encode for diverse proteins with many distinctive roles yet sometimes these proteins can compensate for each other during lost or suppressed gene expression, as seen in the developmental roles of the adhesins gene family in Saccharomyces.[8] Nutrients can be metabolized by distinct metabolic pathways that are effectively interchangeable for certain metabolites even though the total effects of each pathway are not identical.[9][10] In cancer, therapies targeting the EGF receptor are thwarted by the co-activation of alternate receptor tyrosine kinases (RTK) that have partial functional overlap with the EGF receptor (and are therefore degenerate), but are not targeted by the same specific EGF receptor inhibitor.[11][12] Other examples from various levels of biological organization can be found in.[6]
Codons
A position of a codon is said to be a fourfold degenerate site if any nucleotide at this position specifies the same amino acid. For example, the third position of the glycine codons (GGA, GGG, GGC, GGU) is a fourfold degenerate site, because all nucleotide substitutions at this site are synonymous; i.e., they do not change the amino acid.
There is only one threefold degenerate site where changing to three of the four nucleotides may have no effect on the amino acid (depending on what it is changed to), while changing to the fourth possible nucleotide always results in an amino acid substitution. This is the third position of an isoleucine codon: AUU, AUC, or AUA all encode isoleucine, but AUG encodes methionine.
A position of a codon is said to be a twofold degenerate site if only two of four possible nucleotides at this position specify the same amino acid. For example, the third position of the glutamic acid codons (GAA, GAG) is a twofold degenerate site. In twofold degenerate sites, the equivalent nucleotides are always either two purines (A/G) or two pyrimidines (C/U), so only transversional substitutions (purine to pyrimidine or pyrimidine to purine) in twofold degenerate sites are nonsynonymous.[13]
A position of a codon is said to be a non-degenerate site if any mutation at this position results in amino acid substitution.
Notations
Alphabetically,
| IUPAC nucleotide code | Base |
|---|---|
| A | Adenine |
| B | C or G or T (U) [not A] |
| C | Cytosine |
| D | A or G or T (U) [not C] |
| G | Guanine |
| H | A or C or T (U) [not G] |
| K | G or T (U) [Keto] |
| M | A or C [aMine] |
| N | aNy base |
| R | A or G [puRine] |
| S | G or C [Strong] |
| T (or U in RNA) | Thymine (or Uracil) |
| V | A or C or G [not T] |
| W | A or T (U) [Weak] |
| X[14] | N, aNy base |
| Y | C or T (U) [pYrimidine] |
The International Union of Pure and Applied Chemistry (IUPAC) is an international federation of National Adhering Organizations that represents chemists in individual countries. IUPAC's Inter-divisional Committee on Nomenclature and Symbols (IUPAC nomenclature) is the recognized world authority in developing standards for the naming of the chemical elements and compounds. Some important work IUPAC has done in these fields includes standardizing nucleotide base sequence code names.
| Symbol[15] | Description | Bases represented | ||||
|---|---|---|---|---|---|---|
| A | adenosine | A | 1 | |||
| C | cytidine | C | ||||
| G | guanosine | G | ||||
| T | thymidine | T | ||||
| U | uridine | U | ||||
| W | weak | A | T | 2 | ||
| S | strong | C | G | |||
| M | [Amine] amino | A | C | |||
| K | [Ketone] keto | G | T | |||
| R | [Purine] purine | A | G | |||
| Y | [Pyrimidine] pyrimidine | C | T | |||
| B | not A (B comes after A) | C | G | T | 3 | |
| D | not C (D comes after C) | A | G | T | ||
| H | not G (H comes after G) | A | C | T | ||
| V | not T (V comes after T and U) | A | C | G | ||
| N or - | any base (not a gap) | A | C | G | T | 4 |
These nucleotide notations are an International Union of Pure and Applied Chemistry (IUPAC)[15] representation for a position on a DNA sequence that can be have multiple possible alternatives.
An alternative way of writing the degenerate bases has, e.g., B: (C/G/T).
Hypotheses
- No promoters for the transcription of A1BG use degenerate nucleotides.
See also
References
- ↑ SemperBlotto (30 March 2008). diazine. San Francisco, California: Wikimedia Foundation, Inc. Retrieved 2014-06-04.
- ↑ SemperBlotto (30 March 2008). pyrimidine. San Francisco, California: Wikimedia Foundation, Inc. Retrieved 2014-06-04.
- ↑ SemperBlotto (23 June 2006). purine. San Francisco, California: Wikimedia Foundation, Inc. Retrieved 2014-06-04.
- ↑ Jag123 (11 March 2005). pentose. San Francisco, California: Wikimedia Foundation, Inc. Retrieved 2014-06-04.
- ↑ SemperBlotto (10 August 2006). ketopentose. San Francisco, California: Wikimedia Foundation, Inc. Retrieved 2014-06-04.
- 1 2 3 Edelman; Gally (2001). "Degeneracy and complexity in biological systems". Proceedings of the National Academy of Sciences, USA 98 (24): 13763–13768. doi:10.1073/pnas.231499798.
- 1 2 Whitacre (2010). "Degeneracy: a link between evolvability, robustness and complexity in biological systems". Theoretical Biology and Medical Modelling 7 (6): 6. doi:10.1186/1742-4682-7-6. http://www.tbiomed.com/content/7/1/6. Retrieved 2011-03-11.
- ↑ Guo; et al. (2000). "A Saccharomyces gene family involved in invasive growth, cell-cell adhesion, and mating". Proceedings of the National Academy of Sciences, USA 97 (22): 12158–63. doi:10.1073/pnas.220420397.
- ↑ Kitano (2004). "Biological robustness". Nature Reviews Genetics 5 (11): 826–37. doi:10.1038/nrg1471. PMID 15520792.
- ↑ Ma; AP Zeng (2003). "The connectivity structure, giant strong component and centrality of metabolic networks". Bioinformatics 19 (11): 1423–30. doi:10.1093/bioinformatics/btg177. PMID 12874056.
- ↑ Huang; Mukasa, A.; Bonavia, R.; Flynn, R. A.; Brewer, Z. E.; Cavenee, W. K.; Furnari, F. B.; White, F. M. (2007). "Quantitative analysis of EGFRvIII cellular signaling networks reveals a combinatorial therapeutic strategy for glioblastoma". Proceedings of the National Academy of Sciences 104 (31): 12867. doi:10.1073/pnas.0705158104.
- ↑ Stommel; Kimmelman, AC; Ying, H; Nabioullin, R; Ponugoti, AH; Wiedemeyer, R; Stegh, AH; Bradner, JE et al. (2007). "Coactivation of receptor tyrosine kinases affects the response of tumor cells to targeted therapies". Science 318 (5848): 287. doi:10.1126/science.1142946. PMID 17872411.
- ↑ Watson JD; Baker TA; Bell SP; Gann A; Levine M; Oosick R (2008). Molecular Biology of the Gene. San Francisco: Pearson/Benjamin Cummings. ISBN 0-8053-9592-X.
- ↑ G. P. Moss (1992). Nomenclature for Incompletely Specified Bases in Nucleic Acid Sequences. London, UK: Nomenclature Committee of the International Union of Biochemistry (NC-IUB). Retrieved 2017-09-02.
- 1 2 Nomenclature Committee of the International Union of Biochemistry (NC-IUB). Nomenclature for Incompletely Specified Bases in Nucleic Acid Sequences 1984. Retrieved 2008-02-04.
External links
- Bing Advanced search
- GenomeNet KEGG database
- Google Books
- Google scholar Advanced Scholar Search
- Home - Gene - NCBI
- JSTOR
- Lycos search
- NASA's National Space Science Data Center
- NCBI All Databases Search
- Office of Scientific & Technical Information
- PubChem Public Chemical Database
- Questia - The Online Library of Books and Journals
- SAGE journals online
- The SAO/NASA Astrophysics Data System
- Scirus for scientific information only advanced search
- SpringerLink
- Taylor & Francis Online
- WikiDoc The Living Textbook of Medicine
- Wiley Online Library Advanced Search
- Yahoo Advanced Web Search
{{Phosphate biochemistry}}{{Terminology resources}}



