Interacción gen-ambiente
La interacción gen-ambiente (o interacción genotipo-ambiente o GxE o G×E) es cuando dos genotipos diferentes responden a la variación ambiental de diferentes maneras. Una norma de reacción es un gráfico que muestra la relación entre los genes y los factores ambientales cuando las diferencias fenotípicas son continuas.[1] Pueden ayudar a ilustrar las interacciones GxE. Cuando la norma de reacción no es paralela, como se muestra en la figura siguiente, existe una interacción gen por entorno. Esto indica que cada genotipo responde a la variación ambiental de una manera diferente. La variación ambiental puede ser física, química, biológica, patrones de comportamiento o eventos de la vida.[2]

Las interacciones gen-ambiente se estudian para obtener una mejor comprensión de varios fenómenos. En epidemiología genética, las interacciones genético-ambientales son útiles para comprender algunas enfermedades. A veces, la sensibilidad a los factores de riesgo ambientales de una enfermedad se hereda en lugar de heredar la enfermedad misma. Las personas con genotipos diferentes se ven afectadas de manera diferente por la exposición a los mismos factores ambientales y, por lo tanto, las interacciones gen-ambiente pueden dar lugar a diferentes fenotipos de enfermedades. Por ejemplo, la exposición a la luz solar tiene una mayor influencia en el riesgo de cáncer de piel en humanos de piel clara que en personas con piel más oscura.[3]
Estas interacciones son de particular interés para los epidemiólogos genéticos para predecir las tasas de enfermedad y los métodos de prevención con respecto a la salud pública.[4] El término también se usa entre los psicobiólogos del desarrollo para comprender mejor el desarrollo individual y evolutivo.[5]
Los debates de naturaleza versus crianza suponen que la variación en un rasgo se debe principalmente a diferencias genéticas o ambientales. Sin embargo, la opinión científica actual sostiene que ni las diferencias genéticas ni las diferencias ambientales son las únicas responsables de producir la variación fenotípica, y que prácticamente todos los rasgos están influenciados por las diferencias genéticas y ambientales.[6][7][8]
El análisis estadístico de las diferencias genéticas y ambientales que contribuyen al fenotipo tendría que usarse para confirmar esto como interacciones gen-ambiente. En genética del desarrollo, una interacción causal es suficiente para confirmar las interacciones gen-ambiente.[9]
Historia de la definición
La historia de la definición de la interacción gen-ambiente se remonta a la década de 1930 y sigue siendo un tema de debate en la actualidad. La primera instancia de debate ocurrió entre Ronald Fisher y Lancelot Hogben. Fisher buscó eliminar la interacción de los estudios estadísticos, ya que era un fenómeno que podía eliminarse mediante una variación en la escala. Hogben creía que la interacción debería investigarse en lugar de eliminarse, ya que proporcionaba información sobre la causalidad de ciertos elementos del desarrollo.
Un argumento similar se enfrentó a múltiples científicos en la década de 1970. Arthur Jensen publicó el estudio " ¿Cuánto podemos impulsar el coeficiente intelectual y el rendimiento escolar?”, que entre muchas críticas también enfrentó la disputa de los científicos Richard Lewontin y David Layzer. Lewontin y Layzer argumentaron que para concluir los mecanismos causales, la interacción gen-ambiente no podía ser ignorada en el contexto del estudio, mientras que Jensen defendió que la interacción era puramente un fenómeno estadístico y no estaba relacionado con el desarrollo.[10]
Casi al mismo tiempo, Kenneth J. Rothman apoyó el uso de una definición estadística para la interacción, mientras que los investigadores Kupper y Hogan creían que la definición y la existencia de la interacción dependían del modelo utilizado.[11]
Las críticas más recientes fueron impulsadas por los estudios de Moffitt y Caspi sobre el 5-HTTLPR y el estrés y su influencia en la depresión. A diferencia de los debates anteriores, Moffitt y Caspi ahora usaban el análisis estadístico para demostrar que la interacción existía y podía usarse para descubrir los mecanismos de un rasgo de vulnerabilidad. Zammit, Owen y Lewis llegaron a la conclusión de que reiteraron las preocupaciones de Fisher en el sentido de que el efecto estadístico no estaba relacionado con el proceso de desarrollo y no sería replicable con una diferencia de escala.[10]
Definiciones
Hay dos concepciones diferentes de la interacción gen-ambiente hoy. Tabery[12] ha etiquetado como interacción biométrica y de desarrollo, mientras que Sesardic[13] usa los términos interacción estadística y sentido común.
La concepción biométrica (o estadística) tiene su origen en programas de investigación que buscan medir las proporciones relativas de las contribuciones genéticas y ambientales a la variación fenotípica dentro de las poblaciones. La interacción biométrica gen-ambiente tiene una importancia particular en la genética de poblaciones y la genética del comportamiento.[12] Cualquier interacción da como resultado el desglose de la aditividad de los principales efectos de la herencia y el medio ambiente, pero si dicha interacción está presente en entornos particulares es una pregunta empírica. La interacción biométrica es relevante en el contexto de la investigación sobre diferencias individuales más que en el contexto del desarrollo de un organismo particular.[5]
La interacción genético-ambiente del desarrollo es un concepto más utilizado por los genetistas del desarrollo y los psicobiólogos del desarrollo. La interacción del desarrollo no se ve simplemente como un fenómeno estadístico. Independientemente de si la interacción estadística está presente o no, la interacción del desarrollo se manifiesta en cualquier caso en la interacción causal de genes y entornos en la producción del fenotipo de un individuo.[5]
Modelos epidemiológicos de GxE
En epidemiología, los siguientes modelos pueden usarse para agrupar las diferentes interacciones entre genes y medio ambiente.
El modelo A describe un genotipo que aumenta el nivel de expresión de un factor de riesgo pero no causa la enfermedad en sí. Por ejemplo, el gen PKU produce niveles más altos de fenilalanina de lo normal, lo que a su vez causa retraso mental.
El factor de riesgo en el Modelo B en contraste tiene un efecto directo sobre la susceptibilidad a la enfermedad que se amplifica por la susceptibilidad genética. El Modelo C representa el inverso, donde la susceptibilidad genética afecta directamente a la enfermedad mientras que el factor de riesgo amplifica este efecto. En cada situación independiente, el factor que afecta directamente la enfermedad puede causar la enfermedad por sí mismo.
El Modelo D difiere ya que ninguno de los factores en esta situación puede afectar el riesgo de enfermedad, sin embargo, cuando tanto la susceptibilidad genética como el factor de riesgo están presentes, el riesgo aumenta. Por ejemplo, el gen de deficiencia de G6PD cuando se combina con el consumo de frijoles fava resulta en anemia hemolítica. Esta enfermedad no surge en individuos que comen habas y carecen de deficiencia de G6PD ni en personas con deficiencia de G6PD que no comen habas.
Por último, el Modelo E muestra un escenario en el que el factor de riesgo ambiental y la susceptibilidad genética pueden influir individualmente en el riesgo de enfermedad. Sin embargo, cuando se combinan, el efecto sobre el riesgo de enfermedad difiere.
Los modelos están limitados por el hecho de que las variables son binarias y, por lo tanto, no consideran escenarios de variables de escala poligénica o continua.[4]
Métodos de análisis
Diseños genéticos tradicionales
Estudios de adopción
Los estudios de adopción se han utilizado para investigar qué tan similares son los individuos que han sido adoptados con sus padres biológicos con quienes no compartían el mismo ambiente. Además, los individuos adoptados se comparan con su familia adoptiva debido a la diferencia en los genes pero en el entorno compartido. Por ejemplo, un estudio de adopción mostró que los hombres suecos con entornos adoptivos desfavorecidos y una predisposición genética tenían más probabilidades de abusar del alcohol.[14]
Estudios gemelos
Usando gemelos monocigóticos, se pudieron observar los efectos de diferentes ambientes en genotipos idénticos. Estudios posteriores aprovechan las técnicas de modelado biométrico para incluir las comparaciones de gemelos dicigóticos para determinar en última instancia los diferentes niveles de expresión génica en diferentes entornos.[14]
Estudios familiares
La investigación basada en la familia se centra en la comparación de controles de bajo riesgo con niños de alto riesgo para determinar el efecto ambiental en sujetos con diferentes niveles de riesgo genético. Por ejemplo, un estudio danés en niños de alto riesgo con madres esquizofrénicas mostró que los niños sin un cuidador estable estaban asociados con un mayor riesgo de esquizofrenia.[14]
Análisis moleculares
Interacción con genes individuales
El método utilizado con frecuencia para detectar las interacciones gen-ambiente es mediante el estudio del efecto que tiene una única variación génica (gen candidato) con respecto a un entorno particular. Los polimorfismos de un solo nucleótido (SNP) se comparan con factores de exposición binarios únicos para determinar cualquier efecto.
Los estudios de candidatos como estos requieren hipótesis biológicas fuertes que actualmente son difíciles de seleccionar dada la poca comprensión de los mecanismos biológicos que conducen a un mayor riesgo.
A menudo, estos estudios también son difíciles de replicar debido a los tamaños de muestra pequeños, que generalmente resultan en resultados controvertidos.
La naturaleza poligénica de los fenotipos complejos sugiere que los estudios de candidatos únicos podrían ser ineficaces para determinar los diversos efectos a menor escala a partir del gran número de variantes genéticas que influyen.[15]
Interacción con múltiples genes
Dado que el mismo factor ambiental podría interactuar con múltiples genes, se puede tomar un enfoque poligénico para analizar las interacciones GxE. Se genera una puntuación poligénica utilizando los alelos asociados con un rasgo y sus respectivos pesos basados en el efecto y examinados en combinación con la exposición ambiental. Aunque este método de investigación aún es temprano, es consistente con los trastornos psiquiátricos. Como resultado de la superposición de endofenotipos entre los trastornos, esto sugiere que los resultados de las interacciones gen-ambiente son aplicables en varios diagnósticos.[15]
Estudios de asociación de todo el genoma y estudios de interacción de todo el genoma
Un enfoque de exploración de interacción de genoma ancho (GEWIS) examina la interacción entre el entorno y una gran cantidad de SNP independientes. Un enfoque efectivo para este estudio que abarca todo ocurre en dos pasos donde el genoma se filtra por primera vez usando pruebas de nivel de genes y análisis de conjuntos de genes basados en la ruta. El segundo paso utiliza los SNP con asociación G – E y las pruebas de interacción.[16]
La hipótesis de susceptibilidad diferencial se ha reafirmado a través de enfoques genómicos amplios.[17]
Controversias
Falta de replicación
Una preocupación particular con los estudios de interacción gen-ambiente es la falta de reproducibilidad. Específicamente, los estudios de rasgos complejos han sido objeto de escrutinio para producir resultados que no se pueden replicar. Por ejemplo, los estudios del gen 5-HTTLPR y el estrés que resultan en un riesgo modificado de depresión han tenido resultados contradictorios.[18][16]
Una posible explicación detrás de los resultados inconsistentes es el uso intensivo de múltiples pruebas. Se sugiere que los estudios produzcan resultados inexactos debido a la investigación de múltiples fenotipos y factores ambientales en experimentos individuales.[16]
Modelo aditivo vs multiplicativo
Existen dos modelos diferentes para la escala de medición que ayudan a determinar si existe interacción gen-ambiente en un contexto estadístico. Hay desacuerdo sobre qué escala se debe utilizar. Bajo estos análisis, si las variables combinadas se ajustan a cualquiera de los modelos, entonces no hay interacción. Los efectos combinados deben ser mayores para sinérgicos o menores que para un resultado antagónico. El modelo aditivo mide las diferencias de riesgo, mientras que el modelo multiplicativo usa razones para medir los efectos. Se ha sugerido que el modelo aditivo es más adecuado para predecir el riesgo de enfermedad en una población, mientras que un modelo multiplicativo es más apropiado para la etiología de la enfermedad.[4]
La epigenética es un ejemplo de un mecanismo subyacente de los efectos genéticos-ambientales, sin embargo, no concluye si los efectos ambientales son aditivos, multiplicativos o interactivos.[14]
Gen "×" medio ambiente "×" interacciones medioambientales
Nuevos estudios también han revelado el efecto interactivo de múltiples factores ambientales. Por ejemplo, un niño con un ambiente de mala calidad sería más sensible a un ambiente pobre como adulto, lo que finalmente llevó a puntajes de angustia psicológica más altos. Esto representa una interacción de tres vías Gen x Medioambiente x Interacciones. El mismo estudio sugiere adoptar un enfoque de curso de vida para determinar la sensibilidad genética a las influencias ambientales dentro del alcance de las enfermedades mentales.[19]
Significado médico
Los médicos están interesados en saber si la enfermedad se puede prevenir al reducir la exposición a los riesgos ambientales. Algunas personas tienen factores genéticos que confieren susceptibilidad o resistencia a cierto trastorno en un entorno particular. La interacción entre los factores genéticos y el estímulo ambiental es lo que produce el fenotipo de la enfermedad.[20] Puede haber importantes beneficios para la salud pública al usar las interacciones genéticas por medio ambiente para prevenir o curar enfermedades.[21]
La respuesta de un individuo a un medicamento puede ser el resultado de varias interacciones genéticas por medio ambiente.[20] Por lo tanto, la importancia clínica de la farmacogenética y las interacciones genéticas por medio ambiente proviene de la posibilidad de que la genómica, junto con la información ambiental, permita predicciones más precisas de la respuesta farmacológica de un individuo. Esto permitiría a los médicos seleccionar con mayor precisión un determinado fármaco y una dosis para lograr una respuesta terapéutica en un paciente al tiempo que minimiza los efectos secundarios y las reacciones adversas al fármaco.[22] Esta información también podría ayudar a prevenir los costos de atención médica asociados con reacciones adversas a medicamentos y a recetar medicamentos de manera inconveniente a pacientes que probablemente no responderán a ellos.
De manera similar, un individuo puede responder a otros estímulos ambientales, factores o desafíos de manera diferente de acuerdo con diferencias genéticas o alelos específicos. Estos otros factores incluyen la dieta y los nutrientes específicos dentro de la dieta, la actividad física, el consumo de alcohol y tabaco, el sueño (hora de dormir, la duración) y cualquiera de una serie de exposiciones (o exposición), incluidas toxinas, contaminantes, luz solar (latitud norte/sur del ecuador), entre muchos otros. La dieta, por ejemplo, es modificable y tiene un impacto significativo en una serie de enfermedades cardiometabólicas, que incluyen enfermedades cardiovasculares, enfermedad de las arterias coronarias, enfermedades coronarias, diabetes tipo 2, hipertensión, accidente cerebrovascular, infarto de miocardio y enfermedad del hígado graso no alcohólico. En la clínica, los riesgos típicamente evaluados de estas afecciones incluyen lípidos en sangre (triglicéridos y HDL, LDL y colesterol total), rasgos glucémicos (glucosa e insulina en plasma, HOMA-IR, función de células beta como HOMA-BC), antropometría de obesidad (IMC/obesidad, adiposidad, peso corporal, circunferencia de la cintura, relación cintura-cadera), medidas vasculares (presión arterial diastólica y sistólica) y biomarcadores de inflamación. Las interacciones gen-ambiente pueden modular los efectos adversos de un alelo que confiere un mayor riesgo de enfermedad, o puede exacerbar la relación genotipo-fenotipo y aumentar el riesgo, de una manera a menudo denominada nutrigenética.[23] Se encuentra disponible un catálogo de variantes genéticas que se asocian con estos y otros fenotipos cardiometabólicos relacionados y modificados por factores ambientales comunes.[24]
Por el contrario, un estudio de la enfermedad con cáncer de seno, diabetes tipo 2 y artritis reumatoide muestra que incluir las interacciones GxE en un modelo de predicción de riesgo no mejora la identificación del riesgo.[25]
Ejemplos

- En Drosophila: Gupta y Lewontin realizaron en 1981 un ejemplo clásico de interacción gen-ambiente en Drosophila. En su experimento demostraron que el número medio de cerdas en Drosophila podría variar con los cambios de temperatura. Algunos tuvieron un aumento en el número de cerdas con el aumento de la temperatura, mientras que otras tuvieron una fuerte disminución en el número de cerdas con el aumento de la temperatura. Esto demostró que las normas de reacción no eran paralelas para estas moscas, lo que demuestra que existen interacciones gen-ambiente.[26]
- En plantas: Un estudio usó la selección de cultivares de caña de azúcar adaptados a diferentes ambientes.[27] Se analizaron veinte genotipos de caña de azúcar cultivados en ocho lugares diferentes durante dos ciclos de cultivo para identificar megaambientes relacionados con un mayor rendimiento de caña, medidos en toneladas de caña por hectárea (TCH) y porcentaje de sacarosa (Pol% caña). Luego, crearon una nueva estrategia para estudiar ambas variables de rendimiento en una estrategia acoplada de dos vías a pesar de que los resultados mostraron una correlación negativa media.[28] Se recolectaron siete plantas de milenrama genéticamente distintas y se tomaron tres esquejes de cada planta. Se sembró un corte de cada genotipo a elevaciones bajas, medias y altas, respectivamente. Cuando las plantas maduraron, ningún genotipo creció mejor en todas las altitudes, y en cada altitud los siete genotipos tuvieron un rendimiento diferente.[29] Una población biparental de sorgo creció repetidamente en siete ubicaciones geográficas diversas a lo largo de los años. Un grupo de genotipos requiere un día de grado de crecimiento (GDD) similar para florecer en todos los entornos, mientras que otro grupo de genotipos necesita menos GDD en ciertos entornos, pero un mayor GDD en diferentes entornos para florecer. Los complejos patrones de tiempo de floración se atribuyen a la interacción de los principales genes del tiempo de floración (Ma1,[30] Ma6,[31] FT, ELF3) y un factor ambiental explícito, el tiempo fototérmico (PTT) que captura la interacción entre la temperatura y el fotoperíodo.[32]
- La fenilcetonuria (PKU) es una condición genética humana causada por mutaciones en un gen que codifica una enzima hepática particular. En ausencia de esta enzima, un aminoácido conocido como fenilalanina no se convierte en el siguiente aminoácido en una vía bioquímica y, por lo tanto, pasa demasiada fenilalanina a la sangre y a otros tejidos. Esto perturba el desarrollo del cerebro que conduce al retraso mental y otros problemas. La PKU afecta aproximadamente a 1 de cada 15,000 bebés en los EE. UU. Sin embargo, la mayoría de los bebés afectados no crecen afectados debido a un programa de detección estándar utilizado en los EE. UU. y otras sociedades industrializadas. Los recién nacidos con altos niveles de fenilalanina en la sangre pueden recibir una dieta especial libre de fenilalanina. Si se ponen en esta dieta de inmediato y se mantienen, estos niños evitan los efectos graves de la PKU.[33]
- Un polimorfismo de un solo nucleótido rs1800566 en NAD(P)H quinona deshidrogenasa 1 (NQO1) altera el riesgo de asma y daño pulmonar general tras la interacción con contaminantes de NOx, en individuos con esta mutación.[34][35]
- Un polimorfismo funcional en el promotor del gen de la monoamino oxidasa A (MAOA) puede moderar la asociación entre el trauma en los primeros años y un mayor riesgo de violencia y comportamiento antisocial. La baja actividad de MAOA es un factor de riesgo significativo para el comportamiento agresivo y antisocial en adultos que reportan victimización como niños. Las personas que fueron abusadas de niños, pero que tienen un genotipo que confiere altos niveles de expresión de MAOA tienen menos probabilidades de desarrollar síntomas de comportamiento antisocial.[36] Sin embargo, estos hallazgos deben interpretarse con precaución, porque los estudios de asociación de genes en rasgos complejos son notorios por ser muy difíciles de confirmar.[37]
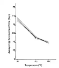
- En los huevos de Drosophila: La duración del desarrollo del huevo en Drosophila en función de la temperatura demuestra la falta de interacciones gen-ambiente. Cada genotipo responde de manera similar al entorno cambiante produciendo fenotipos similares. Para todos los genotipos individuales, el tiempo promedio de desarrollo del huevo disminuye al aumentar la temperatura. El entorno está influyendo en cada uno de los genotipos de la misma manera predecible.
Tiempo de desarrollo del huevo por temperatura
Véase también
- Modelo biopsicosocial
- Modelo de diátesis-estrés
- Susceptibilidad diferencial
- Enviroma
- Epidemiología
- Epigenética
- Psicología evolutiva del desarrollo
- Exposoma
- Correlación gen-ambiente
- Epidemiología genética
- Genómica
- Epidemiología molecular
- Epidemiología patológica molecular
- Patología molecular
Referencias
- ↑ An Introduction to Behavioural Ecology. Oxford: Wiley-Blackwell. 2 de abril de 2012. ISBN 978-1405114165.
- ↑ Ottman, Ruth (1996). «Gene–Environment Interaction: Definitions and Study Designs». Preventive medicine 25 (6): 764-770. ISSN 0091-7435. PMC 2823480. PMID 8936580.
- ↑ «Skin cancer». Textbook of Cancer Epidemiology. Oxford: Oxford University Press. 2002. pp. 281-300.
- 1 2 3 «Gene–environment interaction: definitions and study designs». Preventive Medicine 25 (6): 764-70. 1996. PMC 2823480. PMID 8936580. doi:10.1006/pmed.1996.0117.
- 1 2 3 Tabery, James; Griffiths, Paul E. (2010). «Historical and Philosophical Perspectives on Behavioral Genetics and Developmental Science». Handbook of Developmental Science, Behavior, and Genetics. Wiley-Blackwell. pp. 41-60.
- ↑ Ridley, M. (2003) Nature via Nurture: Genes, Experience, & What Makes Us Human. Harper Collins. ISBN 0-00-200663-4
- ↑ Rutter, Michael. (2006) Genes and Behavior: Nature–Nurture Interplay Explained Oxford, UK: Blackwell Publishers
- ↑ Cuhna, Flavio; Heckman, James J. (2010). «Chapter 18: Cost-effective Early Childhood Programs in the First Decade: A Human Capital Integration». Investing in Our Young People. New York: Cambridge University Press. pp. 381-414.
- ↑ Tabery, James; Griffiths, Paul E. (2010). Handbook of Developmental Science, Behavior, and Genetics (en inglés). John Wiley & Sons, Ltd. pp. 39-60. ISBN 978-1-4443-2763-2. doi:10.1002/9781444327632.ch3.
- 1 2 «Debating interaction: the history, and an explanation». International Journal of Epidemiology 44 (4): 1117-23. August 2015. PMID 25855719. doi:10.1093/ije/dyv053.
- ↑ «Concepts of interaction». American Journal of Epidemiology 112 (4): 467-70. October 1980. PMID 7424895. doi:10.1093/oxfordjournals.aje.a113015.
- 1 2 «Biometric and developmental gene–environment interactions: looking back, moving forward». Development and Psychopathology 19 (4): 961-76. 2007. PMID 17931428. doi:10.1017/s0954579407000478.
- ↑ Sesardic, N. (2005). Making sense of heritability. Cambridge: Cambridge University Press, p. 48.
- 1 2 3 4 «Gene–environment interaction in psychological traits and disorders». Annual Review of Clinical Psychology 7: 383-409. 2011. PMC 3647367. PMID 21219196. doi:10.1146/annurev-clinpsy-032210-104518.
- 1 2 «Gene–environment interaction and psychiatric disorders: Review and future directions». Seminars in Cell & Developmental Biology 77: 133-143. May 2018. PMID 29051054. doi:10.1016/j.semcdb.2017.10.016.
- 1 2 3 «Gene–environment interactions in genome-wide association studies: current approaches and new directions». Journal of Child Psychology and Psychiatry, and Allied Disciplines 54 (10): 1120-34. October 2013. PMC 3829379. PMID 23808649. doi:10.1111/jcpp.12114.
- ↑ «A Genome-Wide Test of the Differential Susceptibility Hypothesis Reveals a Genetic Predictor of Differential Response to Psychological Treatments for Child Anxiety Disorders». Psychotherapy and Psychosomatics 85 (3): 146-58. 2016. PMC 5079103. PMID 27043157. doi:10.1159/000444023.
- ↑ «Genetic sensitivity to the environment: the case of the serotonin transporter gene and its implications for studying complex diseases and traits». The American Journal of Psychiatry 167 (5): 509-27. May 2010. PMC 2943341. PMID 20231323. doi:10.1176/appi.ajp.2010.09101452.
- ↑ «Moderation of adult depression by the serotonin transporter promoter variant (5-HTTLPR), childhood abuse and adult traumatic events in a general population sample». American Journal of Medical Genetics. Part B, Neuropsychiatric Genetics. 159B (3): 298-309. April 2012. PMID 22328412. doi:10.1002/ajmg.b.32027.
- 1 2 «Using pharmacogenetics to improve drug safety and efficacy». JAMA 291 (23): 2869-71. June 2004. PMID 15199039. doi:10.1001/jama.291.23.2869.
- ↑ «Do we need genomic research for the prevention of common diseases with environmental causes?». American Journal of Epidemiology 161 (9): 799-805. May 2005. PMID 15840611. doi:10.1093/aje/kwi113.
- ↑ «Pharmacogenomics and individualized drug therapy». Annual Review of Medicine 57: 119-37. 2006. PMID 16409140. doi:10.1146/annurev.med.56.082103.104724.
- ↑ «Genotype–phenotype associations: modulation by diet and obesity». Obesity. 16 Suppl 3: S40-6. December 2008. PMC 2771769. PMID 19037211. doi:10.1038/oby.2008.515.
- ↑ «CardioGxE, a catalog of gene–environment interactions for cardiometabolic traits». BioData Mining 7: 21. 2014. PMC 4217104. PMID 25368670. doi:10.1186/1756-0381-7-21.
- ↑ «Inclusion of gene–gene and gene–environment interactions unlikely to dramatically improve risk prediction for complex diseases». American Journal of Human Genetics 90 (6): 962-72. June 2012. PMC 3370279. PMID 22633398. doi:10.1016/j.ajhg.2012.04.017.
- ↑ «A Study of Reaction Norms in Natural Populations of Drosophila pseudoobscura». Evolution; International Journal of Organic Evolution 36 (5): 934-948. September 1982. PMID 28567833. doi:10.1111/j.1558-5646.1982.tb05464.x.
- ↑ Rea, R., De Sousa-Vieira, O., Díaz, A., Ramón, M., Briceño, R., George, J., ... & Balzano-Nogueira, L. (2016). Genotype–Environment Interaction, Megaenvironments and Two-Table Coupling Methods for Sugarcane Yield Studies in Venezuela. Sugar Tech, 18(4), 354-364. https://link.springer.com/article/10.1007/s12355-015-0407-9.
- ↑ Dray, S., Chessel, D., & Thioulouse, J. (2003). Co‐inertia analysis and the linking of ecological data tables. Ecology, 84(11), 3078-3089. https://esajournals.onlinelibrary.wiley.com/doi/full/10.1890/03-0178.
- ↑ Experimental studies on the nature of species. III. Environmental responses of climatic races of Achillea, Carnegie Inst Washington Publ 581. 1948. pp. 1-129.
- ↑ «Coincident light and clock regulation of pseudoresponse regulator protein 37 (PRR37) controls photoperiodic flowering in sorghum». Proceedings of the National Academy of Sciences of the United States of America 108 (39): 16469-74. September 2011. PMC 3182727. PMID 21930910. doi:10.1073/pnas.1106212108.
- ↑ Murphy, Rebecca L.; Morishige, Daryl T.; Brady, Jeff A.; Rooney, William L.; Yang, Shanshan; Klein, Patricia E.; Mullet, John E. (1 de julio de 2014). «Ghd7 ( Ma 6 ) Represses Sorghum Flowering in Long Days: Ghd7 Alleles Enhance Biomass Accumulation and Grain Production». The Plant Genome 7 (2): 0. ISSN 1940-3372. doi:10.3835/plantgenome2013.11.0040.
- ↑ «Genomic and environmental determinants and their interplay underlying phenotypic plasticity». Proceedings of the National Academy of Sciences of the United States of America 115 (26): 6679-6684. June 2018. PMC 6042117. PMID 29891664. doi:10.1073/pnas.1718326115.
- ↑ Baker, Catherine (2004). «Chapter 3. Environment Illustrated». Behavioral Genetics. AAAS. ISBN 978-0871686978.
- ↑ «Traffic-related air pollution, oxidative stress genes, and asthma (ECHRS)». Environmental Health Perspectives 117 (12): 1919-24. December 2009. PMC 2799467. PMID 20049212. doi:10.1289/ehp.0900589.
- ↑ «NQO1 rs1800566 polymorph is more prone to NOx induced lung injury: Endorsing deleterious functionality through informatics approach». Gene 591 (1): 14-20. October 2016. PMID 27349566. doi:10.1016/j.gene.2016.06.048.
- ↑ «Role of genotype in the cycle of violence in maltreated children». Science 297 (5582): 851-4. August 2002. PMID 12161658. doi:10.1126/science.1072290.
- ↑ «Gene X environment interactions at the serotonin transporter locus». Biological Psychiatry 65 (3): 211-9. February 2009. PMID 18691701. doi:10.1016/j.biopsych.2008.06.009.