Síntesis de pirimidina de Biginelli
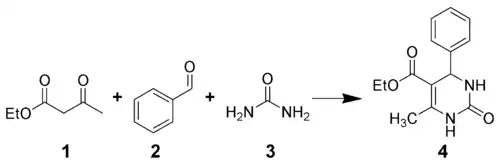
La Síntesis de Biginelli es un método de síntesis orgánica en donde se obtiene un derivado de la pirimidina. Consiste en una reacción que emplea un β-cetoéster (En el ejemplo es acetoacetato de etilo, 1), un arilaldehído (Benzaldehído 2 en el ejemplo) y urea 3.[1][2][3][4][5][6]

Esta reacción fue desarrollada por Pietro Biginelli en 1891. La reacción puede ser catalizada por un ácido de Brønsted y/o por un ácido de Lewis, por ejemplo trifluoruro de boro.[7] Se ha publicado diversos protocolos de síntesis en fase sólida que emplean diferentes combinaciones vinculadas.[8][9]
En la industria farmacéutica las dihidropirimidinonas (Productos de la reacción de Biginelli) son utilizadas como bloqueadores del canal de calcio.[10] y como agentes antihipertensivos.
Mecanismo de reacción
El mecanismo de la reacción de Biginelli es una serie de reacciones bimoleculares que conducen a la dihidropirimidinona deseada.[11]
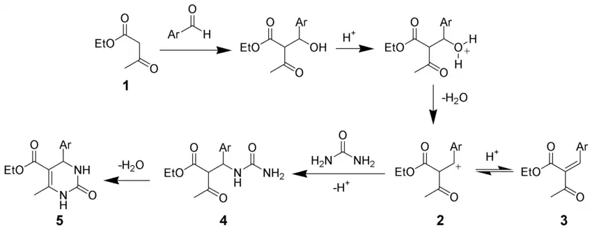
De acuerdo al mecanismo propuesto por Sweet en 1973, la primera reacción es la condensación aldólica entre el acetoacetato de etilo 1 y el benzaldehído. Éste es el paso limitante de la primera reacción, en donde se produce la eliminación del hidroxilo resultante, que conduce a los estados 2 y 3. La segunda reacción es la adición nucleofílica de la urea en donde se obtiene el intermediario 4, que rápidamente se deshidrata para dar el producto deseado 5.[12]

Este mecanismo fue sustituido por Kappe en 1997.

Este mecanismo propone que primero la urea forma una unión imina (una N-alquilidenurea). Posteriormente, el acetoacetato de etilo se condensa con la imina formada. La última reacción consiste en la formación de la enamina a partir del grupo amida y el carbonilo disponibles.[13][14]
Avances en la reacción de Biginelli
En 1987, Atwal et al.[15] reportó una modificación a la reacción de Biginelli que genera un mayor rendimiento.<"Atul Kumar". Se ha reportado la primera síntesis enzimática de la reacción de Biginelli por medio de una levadura.[16]
Referencias
- ↑ Biginelli, P. Ber. 1891, 24, 1317 & 2962.
- ↑ Biginelli, P. Ber. 1893, 26, 447.
- ↑ Zaugg, H. E.; Martin, W. B. Org. React. 1965, 14, 88. (Review)
- ↑ Kappe, C. O. Tetrahedron 1993, 49, 6937-6963. (Review)
- ↑ C. Oliver Kampe: The Biginelli Reaction, in: J. Zhu and H. Bienaymé (Editor): Multicomponent Reactions, Wiley-VCH, Weinheim, 2005, ISBN 978-3-527-30806-4.
- ↑ Kappe, C. O.; Stadler, A. Org. React. 2004, 63, 1. (doi: 10.1002/0471264180.or063.01)
- ↑ Hu, E. H.; Sidler, D. R.; Dolling, U.-H. J. Org. Chem. 1998, 63, 3453-3457.
- ↑ Wipf, P.; Cunningham, A. Tetrahedron Lett. 1995, 36, 7819-7822.
- ↑ Kappe, C. O. Bioorg. Med. Chem. Lett. 2000, 10, 49-51.
- ↑ Rovnyak, G. C.; Atwal, K. S.; Hedberg, A.; Kimball, S. D.; Moreland, S.; Gougoutas, J. Z.; O'Reilly, B. C.; Schwartz, J.; Malley, M. F. J. Med. Chem. 1992, 35, 3254-3263.
- ↑ Folkers, K.; Johnson, T. B. J. Am. Chem. Soc. 1933, 55, 3784-3791.
- ↑ Sweet, F.; Fissekis, J. D. J. Am. Chem. Soc. 1973, 95, 7841-8749.
- ↑ Folkers, K.; Harwood, H. J.; Johnson, T. B. J. Am. Chem. Soc. 1932, 54, 3751-3758.
- ↑ Kappe, C.O. J. Org. Chem. 1997, 62, 7201-7204.
- ↑ O'Reilly, B. C.; Atwal, K. S. Heterocycles 1987, 26, 1185-1188 & 1189-1192.
- ↑ Atul Kumar and Ram A. Muarya Tetrahedron Letters 48, 2007, 4569-4571 doi 10.1016/j.tetlet.2007.04.130