Síntesis de Wenker
La síntesis de Wenker es una reacción orgánica que consiste en convertir un β-amino alcohol en una aziridina con presencia de ácido sulfúrico.[1]

Wenker synthesis
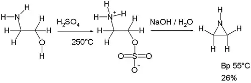
La síntesis de Wenker original se lleva a cabo en dos etapas:
- En el primer paso, la etanolamina se hace reaccionar con ácido sulfúrico a altas temperaturas (250 °C) para producir el sulfonato
- El sulfonato se hace reaccionar con hidróxido de sodio para que se lleve a cabo la sustitución nucleófila intramolecular. La base abstrae los protones de la amina
Una modificación de esta reacción implica temperaturas de reacción entre 140 y 180 °C. Por lo tanto la carbonización disminuye y el rendimiento se incrementa.[2]
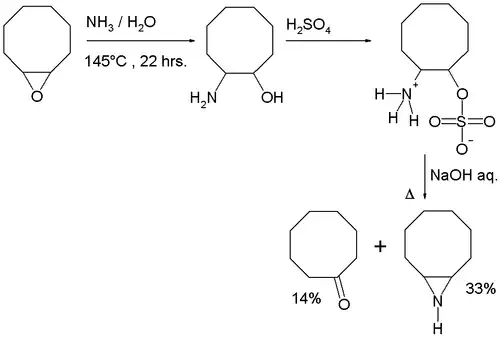
A partir del óxido de cicloocteno, el trans-2-Aminociclooctanol da una mezcla de Cyclooctenimina y ciclooctanone como resultado a la competencia con la eliminación de Hofmann.[3]
![9-Azabicyclo[6.1.0]nonane synthesis](../I/WenkerSynthApplic.png)
9-Azabicyclo[6.1.0]nonane synthesis
Referencias
- ↑ Henry Wenker (1935). «The Preparation of Ethylene Imine from Monoethanolamine». Journal of the American Chemical Society 57 (1): 2328-2328. doi:10.1021/ja01314a504.
- ↑ A Modification of Wenker's Method of Preparing Ethyleneimine Philip A. Leighton, William A. Perkins, and Melvin L. Renquist J. Am. Chem. Soc.; 1947; 69(6) pp 1540 - 1540. (doi 10.1021/ja01198a512)
- ↑ Chemistry of Ethylenimine. VII. Cycloöctenimine or 9-Azabicyclo[6.1.0]nonane D. V. Kashelikar, Paul E. Fanta J. Am. Chem. Soc.; 1960; 82(18); 4927-4930. (doi 10.1021/ja01503a044)
Este artículo ha sido escrito por Wikipedia. El texto está disponible bajo la licencia Creative Commons - Atribución - CompartirIgual. Pueden aplicarse cláusulas adicionales a los archivos multimedia.