Reacción de Wharton
La reacción de Wharton es una reacción química de α,β-epoxi-cetonas con hidrazina para producir alcoholes alílicos.[1][2][3] La reacción es denominada así en honor a Peter Stanley Wharton.

Dupuy ha desarrollado un procedimiento mejorado.[4]
Mecanismo de reacción
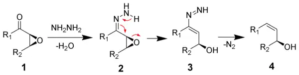
El mecanismo de la reacción de Wharton empieza con la reacción de la cetona 1 con hidrazina para formar una hidrazona 2. El rearreglo de la hidrazona produce el intermediario 3, que se puede descomponer liberando gas nitrógeno, formando el producto deseado 4. Stork y colab. han investigado el mecanismo de la descomposición final y encontraron que puede proceder por un mecanismo iónico o un mecanismo de radicales, dependiendo de la temperatura de reacción, solvente usado y estructura del intermediario 3.[5]

Observe que el alcohol retiene la configuración del epóxido inicial.
Referencias
- ↑ Wharton, P. S.; Bohlen, D. H. J. Org. Chem. 1961, 26, 3615.
- ↑ Wharton, P. S. J. Org. Chem. 1961, 26, 4781.
- ↑ Chamberlin, A. R.; Sall, D. J. Comp. Org. Syn. 1991, 8, 927-929. (Revisión)
- ↑ Dupuy, C.; Luche, J. L. Tetrahedron 1989, 45, 3437.
- ↑ Stork, G. A. et al. J. Am. Chem. Soc. 1977, 99, 7067.
Véase también
- Fragmentación de Eschenmoser
- Fragmentación de Grob
- Reducción de Wolff-Kishner