Reacción de Arens-van Dorp
La reacción de Arens-van Dorp o síntesis de Arens-van Dorp es un método de síntesis donde se hace reaccionar previamente un alquinil alquil éter[1] con una base fuerte. Posteriormente, el alquinuro formado reacciona con el carbonilo de una cetona. El producto es un alcohol propargílico.[2][3] Las bases más utilizadas son el amiduro de litio u organolitios (por ejemplo, el n-butilitio). Esta reacción es homóloga a una reacción de Grignard.

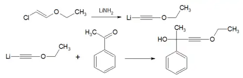
En la Modificación de Isler el alquinil éter es reemplazado por un éter β-clorovinílico en amiduro de litio.[4]

The Isler modification
Véase también
Referencias
Este artículo ha sido escrito por Wikipedia. El texto está disponible bajo la licencia Creative Commons - Atribución - CompartirIgual. Pueden aplicarse cláusulas adicionales a los archivos multimedia.