Reacción de Appel
La reacción de Appel es una reacción orgánica que transforma un alcohol en un cloruro de alquilo, utilizando trifenilfosfina y tetracloruro de carbono.[1]

La reacción de Appel es un método de halogenación en condiciones suaves, y puede llevarse a cabo con alcoholes primarios, secundarios y terciarios. El uso de tetrabromuro de carbono o bromo elemental produce bromuros de alquilo, obteniendo resultados homólogos para yoduros.
Mecanismo de reacción
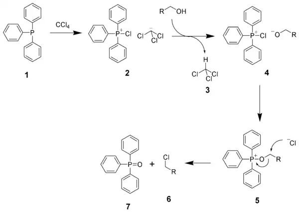
El método consta de cuatro pasos:
- 1. La formación de la sal triclorometiluro de clorotrifenilfosfonio (2).
- 2. Deprotonación del alcohol, donde se forma un anión alcóxido, que funciona como contraión del catión clorotrifenilfosfonio (3,4)
- 3. La sustitución nucleofílica del cloro por el alcóxido, dando como producto el cloruro de alcoxitrifenilfosfonio (5).
- 4. Los alcoholes primarios y secundarios reaccionan con el cloruro vía SN2 (6) y el óxido de trifenilfosfina (7). Los alcoholes terciarios reacciónan por un mecanismo SN1.
La formación del óxido de trifenilfosfina provee la fuerza motriz de la reacción, en donde el óxido de trifenilfosfina presenta una fase sólida independiente de la mezcla de reacción, de acuerdo al Principio de Le Châtelier.

Un ejemplo de la aplicación de esta reacción es la cloración del geraniol a cloruro de geranilo.,[2]
Referencias
- ↑ Rolf Appel (1975). «Tertiary Phosphane/Tetrachloromethane, a Versatile Reagent for Chlorination, Dehydration, and P-N Linkage». Angewandte Chemie International Edition in English 14 (12): 801-811. doi:10.1002/anie.197508011.
- ↑ Jose G. Calzada and John Hooz. "Geranyl chloride". Org. Synth.; Coll. Vol. 6: 634.