Condensación de Knoevenagel
La condensación o reacción de Knoevenagel[1] es una reacción química orgánica en la que se produce la adición nucleófila de un carbono activado (ácido) situado entre dos grupos aceptores de electrones por resonancia, por ejemplo un compuesto β-dicarbonílico, sobre el carbonilo de un aldehído o cetona, seguida a continuación de deshidratación (pérdida de una molécula de agua), en lo que sería globalmente una reacción de tipo condensación aldólica, obteniéndose un producto α,β-insaturado.
General Knoevenagel layout
Donde los grupos electroaceptores X e Y pueden ser CN, COOR, COOH.
La reacción es catalizada por una amina, en la forma de hidrocloruro o acetato de la misma.
En general, el papel como catalizador de la amina, dada además su relativa debilidad como base, no es tanto el de desprotonar el metileno activo (ácido) para generar el enolato como sí el de adicionarse al carbonilo del aldehído o cetona para formar la sal de iminio, un buen electrófilo.
La reacción recibe su nombre por el químico alemán Emil Knoevenagel.
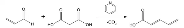
Modificación de Doebner
La modificación de Doebner[2] se aplica sobre compuestos donde al menos uno de los dos grupos aceptores de electrones es un grupo ácido carboxílico, y consiste en llevar a cabo la reacción de Knoevenagel en piridina como disolvente, de tal modo que esta cataliza la descarboxilación del producto de la reacción de Knoevenagel por adición al doble enlace carbono-carbono, lo que provoca seguidamente una descaboxilación-eliminación concertada.
Por ejemplo, el producto de la reacción entre acroleína y ácido malónico en piridina es el ácido trans-2,4-pentadienoico.[3]

Aplicaciones
Se ha demostrado una condensación de Knoevenagel en la reacción del 2-metoxibenzaldehído 1 con ácido barbitúrico 2 en presencia de etanol y piperidina como base.[4] The resulting enone 3 is a charge transfer complex molecule.

La condensación de Knoevenagel es un paso clave en la producción comercial de la droga antimalárica lumefantrina (un componente del Coartem):[5]

Una reacción de componentes múltiples utiliza una condensación de Knoevenage con ciclohexanona, malononitrilo y 3-amino-1,2,4-triazol:[6]

Reacción de Weiss–Cook
La reacción de Weiss–Cook consiste en la síntesis de cis-biciclo[3.3.0]octano-3,7-dionas empleando un éster del ácido acetonadicarboxílico y un diacilo (1,2 dicetona). El mecanismo opera en la misma manera que la condensación de Knoevenagel[7]

Referencias
- ↑ E. Knoevenagel, "Condensation von Malondiure mit Aromatiachen Aldehyden durch Ammoniak und Amine", Ber. Dtsch. Chem. Ges., 1898, 31(3), 2596-2619.
- ↑ Doebner, O., "Synthese der Sorbinsäure", Ber. Dtsch. Chem. Ges., 1900, 33(2), 2140-2142
- ↑ Organic Syntheses, Coll. Vol. 6, p.95 (1988); Vol. 59, p.1 (1979). Artículo
- ↑ 1,3-Diethyl-5-(2-methoxybenzylidene)-2-thioxodihydropyrimidine-4,6(1H,5H)-dione Abdullah Mohamed Asiria, Khaled Ahmed Alamrya Abraham F. Jalboutb, Suhong Zhang Molbank 2004, M359 Archivado el 9 de julio de 2011 en Wayback Machine. publication.
- ↑ An Improved Manufacturing Process for the Antimalaria Drug Coartem. Part II Ulrich Beutler, Peter C. Fuenfschilling, and Andreas Steinkemper Org. Process Res. Dev.; 2007; 11(3) pp 341 - 345; (Article) doi 10.1021/op060244p
- ↑ Mild and ecofriendly tandem synthesis of 1,2,4-triazolo[4,3-a]pyrimidines in aqueous medium Arkivoc 2007 (06-2251BP) Anshu Dandia, Pritima Sarawgi, Kapil Arya, and Sarita Khaturia Link Archivado el 29 de septiembre de 2007 en Wayback Machine.
- ↑ Weiss, U.; Edwards, J. M. (1968). «A one-step synthesis of ketonic compounds of the pentalane, [3,3,3]- and [4,3,3]-propellane series». Tetrahedron Letters 9 (47): 4885. doi:10.1016/S0040-4039(00)72784-5.