Compuesto de organosilicio
Los compuestos orgánicos de silicio o compuestos de organosilicio son compuestos orgánicos que contienen enlaces covalentes entre átomos de carbono y de silicio. La química de organosilicio es la rama de la química que estudia sus propiedades y reactividad.[1]
Como el carbono, el silicio unido con enlaces covalentes a sustituyentes orgánicos es tetravalente y su estructura es tetraédrica. En general, los enlaces silicio-carbono no están presentes en los procesos bioquímicos,[2] aunque hay informes de su existencia efímera en un alga de agua dulce.[3] El primer compuesto orgánico de silicio conocido, el tetraetilsilano, fue descubierto por Charles Friedel y James Crafts en 1863 por reacción de tetraclorosilano con dietilzinc. Como excepción, el carburo de silicio es un compuesto inorgánico.
Historia
En 1863 Charles Friedel y James Crafts hicieron el primer compuesto organoclorosilano.[4] El mismo año también describieron un «éter de ácido polisilícico» en la preparación de ácido etilsilícico y metilosilícico.[4] Frederic S. Kipping inició una amplia investigación en el campo de los compuestos orgánicos de silicio a principios del siglo XX.[5] También había acuñado el término "silicona" (parecido a cetona, aunque esto es erróneo)[6][7]: 286 en relación con estos materiales en 1904. En reconocimiento de los logros de Kipping, la Dow Chemical Company había establecido un premio en la década de 1960 que se otorga por contribuciones significativas a la química del silicio.[8] En sus obras, Kipping se destacó por usar el reactivo de Grignard para hacer alquilosilano y arilosilano y la preparación de oligómeros de silicona y polímeros por primera vez.[5]
En 1945 Eugene G. Rochow también hizo una contribución significativa en la química del organosilicio al describir por primera vez el proceso de Müller-Rochow.[9]
Organosilanos
Los enlaces carbono - silicio son más largos en comparación con los enlaces carbono-carbono (longitud de enlace de 186 pm vs 154 pm) y son más débiles, con una energía de disociación del enlace de 451 kJ/mol frente a 607 kJ/mol.[10] El enlace C-Si está algo polarizado hacia el carbono debido a su mayor electronegatividad (C=2,55 vs Si=1,90). Una manifestación de la polaridad de estos enlaces en los organosilanos se encuentra en la reacción de Sakurai. Los acoplamientos oxidativos del silicio está representados por el acoplamiento de Hiyama. Ciertos silanos de alquilo pueden ser oxidados para dar un alcohol como en la oxidación de Fleming-Tamao.
Ciertos silanos de alilo pueden ser preparados a partir de un éster alílico (como el compuesto 1) y de monosililcobre (como el 2).[11][12]
En esta reacción se invierte la polaridad habitual del silicio en un enlace químico con el zinc y tiene lugar una sustitución alílica formal del grupo benzoiloxi.
La química de los silanos como el tetrametilsilano es comparable a la de los alcanos en muchos aspectos tales como la estabilidad térmica. El efecto β-silicio describe el efecto estabilizador de un átomo de β-silicio en un carbocatión, lo cual trae muchas implicaciones para la reactividad.
Silóxidos
Hay que resaltar que los enlaces silicio - oxígeno son mucho más cortos y más fuertes (809 frente a 538 kJ/mol) que los enlaces carbono - oxígeno. La polaridad de este enlace aumenta hacia el oxígeno. Ejemplos de ello son los acetales de sililo RR'Si(OR)2, los silanoles, los siloxanos y el polímero polisiloxano. Los sililéteres son utilizados como grupos protectores de los alcoholes. Sólo los enlaces silicio - flúor son más fuertes que los enlaces carbono - flúor y es por eso que la fuente de flúor TASF (o, más habitualmente el TBAF) son útiles en la desprotección. La formación favorable de enlaces Si-O conduce a muchas reacciones orgánicas como el reordenamiento de Brook y la olefinación de Peterson.
Otra manifestación es la naturaleza altamente explosiva de los grupos pendientes con silicio, Si(CH2ONO2)4 y Si(CH2N3)4, del tetranitrato de pentaeritritol:[13][14]
Un único cristal de este compuesto, sintetizado por primera vez en 2007, detona incluso cuando se pone en contacto con una espátula de teflón y, de hecho, fue imposible su completa caracterización. Otro factor que contribuye a su descomposición exotérmica (deducida de la experimentación mucho más segura in silico) es la capacidad del silicio en su fase de cristal para coordinarse con dos grupos de nitrito de oxígeno, además de su coordinación regular con los cuatro átomos de carbono. Esta coordinación adicional haría más fácil la formación del dióxido de silicio (uno de los productos de descomposición).
Haluros de sililo
Los haluros de organosililo son reactivos importantes en química orgánica, en particular el cloruro de trimetilsililo Me3SiCl. Un método clásico llamado reacción de Flood para la síntesis de este tipo de compuestos es por calentamiento de hexaalquildisiloxanos R3SiOSiR3 con ácido sulfúrico concentrado y un haluro de sodio.[15] Otros haluros de sililo relevantes son: diclorometilfenilsilano, dimetildiclorosilano,metiltriclorosilano, (4-aminobutil)dietoximetilsilano, tricloro(clorometil)silano , tricloro(diclorofenil)silano, tricloroetilsilano, triclorofenilsilano y trimetilclorosilano.
Hidruros de sililo
El enlace silicio - hidrógeno es más largo que el enlace C-H (148 frente a 105 pm de longitud de enlace) y es más débil (299 frente a 338 kJ/mol de energía de enlace). El hidrógeno es más electronegativo que el silicio y de ahí la convención de nomenclatura de hidruro de sililo (al igual que el grupo metilo que deriva del metano). El compuesto de origen SiH4 se llama silano, y uno de sus derivados es el fenilsilano. Los hidruros de sililo son muy reactivos y se utilizan como agentes reductoress, por ejemplo, PMHS.
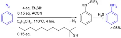
En un estudio el trietilsililo se utilizó en la conversión de un fenilazida en un anilina:[16]
En esta reacción el ACCN es un iniciador de radicales y un tiol alifático transfiere el carácter radical al hidruro de sililo. El radical libre trietilsililo reacciona luego con la azida con expulsión de nitrógeno a un radical N-sililarilaminilo que abstrae un protón de un tiol para completar así el ciclo catalítico:
El tratamiento final con agua produce la anilina.
Los hidruros de sililo pueden incluso producir hasta la reducción de moléculas muy estables como dióxido de carbono (para dar metano):[17]
Aunque ello necesita un sistema catalizador muy complejo.
Hidrosililación
Los hidruros de sililo reaccionan con diferentes sustratos insaturados como alquenos, alquinos, iminas, carbonilos y oximas dando nuevos compuestos orgánicos de silicio en un proceso llamado hidrosililación. En la reacción de hidruro de trifenilsililo con fenilacetileno el producto de reacción es un isómero trans o cis, o el vinilsilano geminal, por ejemplo:[18] trans
En la sililmetalación relacionada, un metal reemplaza al átomo de hidrógeno.
Silenos
Los compuestos orgánicos de silicio, a diferencia de sus homólogos de carbono, no poseen una rica química del doble enlace debido a la gran diferencia de electronegatividad.[19] Los compuestos existentes con enlaces sileno Si=C (también conocidos como alquilidensilanos) son curiosidades de laboratorio, tales como el análogo del benceno con átomos de silicio silabenceno. En 1967, L. E. Gusel'Nikov y M. C. Flowers proporcionaron la primera evidencia de la existencia de los silenos a partir de la pirólisis del dimetilsilaciclobutano.[20] El primer sileno estable (cinéticamente blindado) fue descubierto en 1981 por Brook.[21]

Los disilenos tienen doble enlace Si=Si y los disilinos son análogos de un alquino con silicio. El primer silino (con un triple enlace entre silicio y carbono, Si≡C) fue informado en 2010.
Siloles

Los siloles, también llamadosilaciclopentadienos, son miembros de una clase más amplia de compuestos llamados metaloles,[22] son los análogos de los pirroles con silicio y son de actual interés académico debido a su electroluminiscencia y otras propiedades electrónicas.[23][24] Los siloles son eficientes en el transporte de electrones. Deben su bajo LUMO a una interacción favorable entre el orbital sigma antienlazante del silicio con un orbital pi antienlazante del fragmento butadieno.
Silicio hipercoordinado
A diferencia del carbono, los compuestos de silicio pueden presentar coordinación con cinco átomos, como ocurre en un grupo de compuestos que van desde los llamados silatranos, por ejemplo, el fenilsilatrano, a un único pentaorganosilicato estable:[25]
Aplicaciones
Los compuestos organosilícicos se encuentran ampliamente en productos comerciales. Los más comunes son los antiespumantes, masillas (selladores), adhesivos y revestimientos hechos de siliconas. Otros usos importantes son los adyuvantes agrícolas y de control de plantas que se suelen utilizar junto con herbicidas y fungicidas.[26]

.
Biología y medicina
Los enlaces carbono-silicio están ausentes en biología, sin embargo se han utilizado enzimas para crear artificialmente enlaces carbono-silicio en microbios vivos.[27][28][29] Silicatos, por otra parte, tienen existencia conocida en diatomeas.[3] El silafluofeno es un compuesto organosilícico que funciona como piretroide insecticida. Se han investigado varios compuestos organosilíceos como productos farmacéuticos.[30][31]
Véase también
- Compuestos de carbono con elementos del periodo 3: compuesto de organoaluminio, compuesto de organosilicio, compuesto de organofósforo, compuesto de organoazufre,
- Compuestos de carbono con otros elementos del grupo 14: compuesto de organosilicio, compuesto de organogermanio, compuesto de organoestaño, compuesto de organoplomo.
Enlaces químicos del carbono con el resto de átomos
| CH | He | |||||||||||||||||
| CLi | CBe | CB | CC | CN | CO | CF | Ne | |||||||||||
| CNa | CMg | CAl | CSi | CP | CS | CCl | CAr | |||||||||||
| CK | CCa | CSc | CTi | CV | CCr | CMn | CFe | CCo | CNi | CCu | CZn | CGa | CGe | CAs | CSe | CBr | CKr | |
| CRb | CSr | CY | CZr | CNb | CMo | CTc | CRu | CRh | CPd | CAg | CCd | CIn | CSn | CSb | CTe | CI | CXe | |
| CCs | CBa | CHf | CTa | CW | CRe | COs | CIr | CPt | CAu | CHg | CTl | CPb | CBi | CPo | CAt | Rn | ||
| Fr | CRa | Rf | Db | CSg | Bh | Hs | Mt | Ds | Rg | Cn | Nh | Fl | Mc | Lv | Ts | Og | ||
| ↓ | ||||||||||||||||||
| CLa | CCe | CPr | CNd | CPm | CSm | CEu | CGd | CTb | CDy | CHo | CEr | CTm | CYb | CLu | ||||
| Ac | CTh | CPa | CU | CNp | CPu | CAm | CCm | CBk | CCf | CEs | Fm | Md | No | Lr | ||||
| Química orgánica básica. | Muchos usos en Química. |
| Investigación académica, pero no un amplio uso. |
Enlace desconocido / no evaluado. |
- sililenos, compuestos homólogos del carbeno y los sililenoides que son homólogos de los carbenoides.
Referencias
- ↑ Silicon in Organic Synthesis Colvin, E. Butterworth: London 1981
- ↑ Organosilicon Chemistry S. Pawlenko Walter de Gruyter New York 1986
- 1 2 Stephen D. Kinrade, Ashley-M. E. Gillson and Christopher T. G. Knight (2002), Silicon-29 NMR evidence of a transient hexavalent silicon complex in the diatom Navicula pelliculosa. J. Chem. Soc., Dalton Trans., 307 - 309, DOI: 10.1039/b105379p
- 1 2 Muller, Richard (January 1965). «One hundred years of organosilicon chemistry». Journal of Chemical Education (en inglés) 42 (1): 41. ISSN 0021-9584. doi:10.1021/ed042p41.
- 1 2 Thomas, Neil R. (October 2010). «Frederic Stanley Kipping—Pioneer in Silicon Chemistry: His Life & Legacy». Silicon (en inglés) 2 (4): 187-193. ISSN 1876-990X. doi:10.1007/s12633-010-9051-x.
- ↑ Kipping, Frederic Stanley (1 de enero de 1912). «CCXXII.—Organic derivatives of silicon. Part XV. The nomenclature of organic silicon compounds». Journal of the Chemical Society, Transactions (en inglés) 101: 2106-2107. ISSN 0368-1645. doi:10.1039/CT9120102106.
- ↑ Handbook of detergents. Part F, Production. Uri Tsoler, Paul Sosis. Boca Raton, FL: CRC Press. 2009. ISBN 978-1-4200-1465-5. OCLC 319710487.
- ↑ «Frederic Stanley Kipping Award in Silicon Chemistry». American Chemical Society (en inglés). Consultado el 22 de diciembre de 2022.
- ↑ Rochow, Eugene G. (June 1945). «The Direct Synthesis of Organosilicon Compounds». Journal of the American Chemical Society (en inglés) 67 (6): 963-965. ISSN 0002-7863. doi:10.1021/ja01222a026.
- ↑ Handbook of Chemistry and Physics, 81st Edition CRC Press ISBN 0-8493-0481-4
- ↑ Mechanistic insight into copper-catalysed allylic substitutions with bis(triorganosilyl) zincs. Enantiospecific preparation of -chiral silanes Eric S. Schmidtmann and Martin Oestreich Chem. Commun., 2006, 3643 - 3645, doi 10.1039/b606589a
- ↑ Mediante marcado isotópico se puede demostrar la desimetrización sobre el sustrato (sustituyendo átomos de hidrógeno por átomos marcados de deuterio); la reacción no procede a través del compuesto intermedio π-alilo simétrico 5 que daría una mezcla a partes iguales de 3 yv3 b, sino a través del intermedio Π-δ 4 que solo da como producto el compuesto 3, a través de un paso de adición oxidativa/eliminación reductiva.
- ↑ The Sila-Explosives Si(CH2N3)4 and Si(CH2ONO2)4: Silicon Analogues of the Common Explosives Pentaerythrityl Tetraazide, C(CH2N3)4, and Pentaerythritol Tetranitrate, C(CH2ONO2)4 Thomas M. Klapötke, Burkhard Krumm, Rainer Ilg, Dennis Troegel, and Reinhold Tacke J. Am. Chem. Soc.; 2007; ASAP Web Release Date: 04-Mayo-2007; (Artículo en inglés) doi 10.1021/ja071299p
- ↑ Sila-Explosives Offer A Better Bang Stephen K. Ritter Chemical & Engineering News 7 de Mayo de 2007Link
- ↑ Preparation of Triethylsilicon Halides E. A. Flood J. Am. Chem. Soc.; 1933; 55(4) pp 1735 - 1736; doi 10.1021/ja01331a504
- ↑ Radical Reduction of Aromatic Azides to Amines with Triethylsilane Luisa Benati, Giorgio Bencivenni, Rino Leardini, Matteo Minozzi, Daniele Nanni, Rosanna Scialpi, Piero Spagnolo, and Giuseppe Zanardi Elumalai Palani., ''J. Org. Chem''.; 2006; 71(15) pp 5822 - 5825; (Note) doi 10.1021/jo060824k
- ↑ From Carbon Dioxide to Methane: Homogeneous Reduction of Carbon Dioxide with Hydrosilanes Catalyzed by Zirconium-Borane Complexes Tsukasa Matsuo and Hiroyuki Kawaguchi J. Am. Chem. Soc.; 2006; 128(38) pp 12362 - 12363; doi 10.1021/ja0647250
- ↑ Effect of the synthetic method of Pt/MgO in the hydrosilylation of phenylacetylene Eulalia Ramírez-Oliva, Alejandro Hernández, J. Merced Martínez-Rosales, Alfredo Aguilar-Elguezabal, Gabriel Herrera-Pérez, and Jorge Cervantesa Arkivoc 2006 (v) 126-136 Link
- ↑ Silylenes, Silenes, and Disilenes: Novel Silicon-Based Reagents for Organic Synthesis? Henrik Ottosson and Patrick G. Steel Chem. Eur. J. 2006, 12, 1576 – 1585 doi 10.1002/chem.200500429
- ↑ The thermal decomposition of 1,1-dimethyl-1-silacyclobutane and some reactions of an unstable intermediate containing a silicon–carbon double bond L. E. Gusel'Nikov and M. C. Flowers Chem. Commun. (London), 1967, 864 - 865, doi 10.1039/C19670000864
- ↑ A solid silaethene: isolation and characterization Adrian G. Brook, Fereydon Abdesaken, Brigitte Gutekunst, Gerhard Gutekunst and R. Krishna Kallury J. Chem. Soc., Chem. Commun., 1981, 191 - 192, doi 10.1039/C39810000191
- ↑ Química organometálica de los metales de transición. Robert H. Crabtree. Universitat Jaume I, 1997. ISBN 8480211342. Pág.184
- ↑ Direct synthesis of 2,5-dihalosiloles Organic Syntheses 2008, 85, 53-63 http://www.orgsynth.org/orgsyn/pdfs/V85P0053.pdf
- ↑ Synthesis of new dipyridylphenylaminosiloles for highly emissive organic electroluminescent devices Laurent Aubouy, Philippe Gerbier, Nolwenn Huby, Guillaume Wantz, Laurence Vignau, Lionel Hirsch and Jean-Marc Jano New J. Chem., 2004, 28, 1086 - 1090, doi 10.1039/b405238b
- ↑ Tetraalkylammonium pentaorganosilicates: the first highly stable silicates with five hydrocarbon ligands Sirik Deerenberg, Marius Schakel, Adrianus H. J. F. de Keijzer, Mirko Kranenburg, Martin Lutz, Anthony L. Spek, Koop Lammertsma, Chem. Commun., 2002, (4),348-349 doi 10.1039/b109816k
- ↑ Janeta, Mateusz; Szafert, Sławomir (2017). «Síntesis, caracterización y propiedades térmicas de amido-POSS tipo T8 con grupo terminal p-halofenilo». Journal of Organometallic Chemistry 847: 173-183. doi:10.1016/j.jorganchem.2017.05.044.
- ↑ Choi, Charles. «Crece la posibilidad de vida basada en el silicio». Astrobiology Magazine. Archivado desde el original el 21 de agosto de 2017. Consultado el 28 de octubre de 2019.
- ↑ Frampton, Mark B.; Zelisko, Paul M. (2009). «Organosilicon Biotechnology». Silicon 1 (3): 147-163. S2CID 195219283.
- ↑ Pawlenko, S. (2011). [{GBurl Química del organosilicio]
|url=incorrecta (ayuda). de Gruyter. ISBN 978-3-11-086238-6. Texto «T14gnsL4sr4C» ignorado (ayuda)}} - ↑ Bains, W.; Tacke, R. (2003). «La química del silicio como nueva fuente de diversidad química en el diseño de fármacos». Curr. Opin. Drug Discov. Dev. 6 (4): 526-543. PMID 12951816.
- ↑ «Una sustancia química común en los cultivos deja a las abejas susceptibles a virus mortales». Phys.org. 2017.
Enlaces externos
- Magnus Walter's Selected Aspects of Organosilicon Chemistry (en inglés)
- Silicon in organic synthesis (en inglés)
- Safety data for methyltrichlorosilane Archivado el 3 de octubre de 2011 en Wayback Machine.. Departamento de Química. Universidad de Oxford. (en inglés)
- S. Marsden (Editor): Contemporary organosilicon chemistry. Serie temática en el Beilstein Journal of Organic Chemistry de acceso libre.






