Par de Lewis frustrado
En química, un par de Lewis frustrado (FLP por sus siglas en inglés) es un compuesto o mezcla que contiene un ácido de Lewis y una base de Lewis que, debido al impedimento estérico, no se puede combinar para formar un aducto clásico.[1] Se han ideado muchos tipos de FLP y muchos sustratos simples exhiben activación.[2][3]
| Ácidos y Bases | |
|---|---|
![]() | |
| Ácidos y Bases | |
| |
| Tipos de ácidos | |
| Tipos de bases | |
El descubrimiento de que algunos FLP se dividieron en H2[4] desencadenó un rápido crecimiento de la investigación en FLPs. Debido a su reactividad "no extinguida", tales sistemas son reactivos hacia sustratos que pueden experimentar heterólisis. Por ejemplo, muchos FLPs dividen la molécula de hidrógeno. Por lo tanto, una mezcla de triciclohexilfosfina (PCy3) y tris (pentafluorofenil) borano reacciona con el hidrógeno para dar los iones de fosfonio y borato respectivos:
Esta reactividad se ha explotado para producir FLP que catalizan las reacciones de hidrogenación.[5]
Activación de moléculas pequeñas
Se ha demostrado que los pares de Lewis frustrados activan muchas moléculas pequeñas, ya sea por inducción de la heterólisis o por coordinación.
Hidrógeno
El descubrimiento de que algunos FLP pueden dividir y, por lo tanto, activar, H2[4] desencadenó un rápido crecimiento de la investigación en esta área. La activación y por lo tanto uso de H2 es importante para muchas transformaciones químicas y biológicas. El uso de FLP para liberar H2 no contiene metales, esto es beneficioso debido al costo y al suministro limitado de algunos metales de transición comúnmente utilizados para activar H2 (Ni, Pd, Pt).[6] Los sistemas FLP son reactivos frente a sustratos que pueden sufrir una heterólisis (por ejemplo, hidrógeno) debido a la reactividad "no apagada" de dichos sistemas. Por ejemplo, se ha demostrado anteriormente que una mezcla de triciclohexilfosfina (PCy3) y tris (pentafluorofenil) borano reacciona con H2 para dar los iones de fosfonio y borato respectivos:
En esta reacción, PCy3 (la base de Lewis) y B (C6F5)3 (el ácido de Lewis) no pueden formar un aducto debido al impedimento estérico de los grupos ciclohexilo y pentafluorofenilo voluminosos. El protón en el fósforo y el hidruro del borato ahora están "activados" y posteriormente pueden "entregarse" a un sustrato orgánico, dando como resultado la hidrogenación.
Mecanismo de activación del dihidrógeno por FLP
El mecanismo para la activación de H2 por FLP ha sido discutido, tanto para el intermolecular y casos intramoleculares. Los FLP intermoleculares son donde la Base de Lewis es una molécula separada del Ácido de Lewis, se piensa que estas moléculas individuales interactúan a través de las interacciones de la dispersión secundaria de Londres para unir la Base de Lewis y el Ácido (un efecto preorganizativo) donde las moléculas pequeñas pueden interactuar con los FLP. La evidencia experimental de este tipo de interacción a nivel molecular no está clara. Sin embargo, existe evidencia de apoyo para este tipo de interacción basada en estudios computacionales de DFT (Teoría de la Funcionalidad de la Densidad). Los FLP intramoleculares son donde el ácido de Lewis y la base de Lewis se combinan en una molécula mediante un enlazador covalente. A pesar de los "efectos preorganizativos" mejorados, se cree que los marcos rígidos de FLP intramoleculares tienen una reactividad reducida a las moléculas pequeñas debido a una reducción en la flexibilidad.
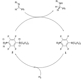
Ejemplo de activación de dihidrógeno
La activación de H2 mediante FLP se informó por primera vez en 2006.[4] En este informe se observó una especie de fosfonio-borato de someterse a la pérdida térmica de una molécula de H2, para generar la fosfina y el borano. La especie de borato de fosfonio 1 se preparó a partir de B(C6F5)3 y (C6H2Me3)2PH, debido a las exigencias estéricas de ambas moléculas, no se pudo formar un aducto tradicional y se preparó fosfato bipolar-boronato [Figura 1]. Se llevó a cabo un "intercambio de H por F" para obtener 2 que era estable a la humedad y al aire. Esta sal lanzará H molecular 2 cuando se calienta por encima de 100 °C, un cambio de color también se observó desde el incoloro 2 a la naranja-rojo 3 (tanto en THF). Esta reacción se invierte al reaccionar 3 con H2 a 25 °C, donde el cambio de color se invierte y 2 se reforma. La reacción de H2 con 3 fue un éxito para temperaturas tan bajas como 25 °C. La recristalización de 3 en THF proporcionó cristales incoloros del aducto 4 .

Otros sustratos de molécula pequeña
FLP también son reactivos frente a muchos sustratos insaturados más allá de H2. Algunos FLP reaccionan con el CO2, específicamente en la reducción desoxigenativa del CO2 al metano.[7]
El hecho de que los pares ácido-base se comporten de forma tanto nucleófila como electrófila al mismo tiempo ofrece un método para la apertura de anillos de éteres cíclicos como el THF, el 2,5-dihidrofurano, el cumarano y el dioxano.[8]
Uso en catálisis
Hidrogenación de imina, nitrilo y aziridina

La reducción de iminas, nitrilos y aziridinas a aminas primarias y secundarias se realiza tradicionalmente mediante reactivos de hidruro metálico, por ejemplo, hidruro de litio y aluminio y cianoborohidruro de sodio. Las hidrogenaciones de estos sustratos insaturados pueden efectuarse mediante reacciones catalizadas por metal. La hidrogenación catalítica libre de metales se llevó a cabo utilizando el catalizador de borato de fosfonio (R2PH) (C6F4)BH(C6F5)2 (R = 2,4,6-Me3C6H2) 1 . Este tipo de hidrogenación sin metal tiene el potencial de reemplazar el catalizador metálico de alto costo.
Se propone que el mecanismo de reducción de imina involucre la protonación en nitrógeno que da la sal de iminio. La basicidad del centro de nitrógeno determina la velocidad de reacción. Más iminas ricas en electrones reducen a velocidades más rápidas que las iminas pobres en electrones. El centro de iminio resultante sufre un ataque nucleofílico por el anión borohidruro para formar la amina. Las aminas pequeñas se unen al borano, apagando las reacciones adicionales. Este problema se puede superar utilizando varios métodos: 1) Aplicación de temperaturas elevadas 2) Utilizando sustituyentes de imina estéricamente voluminosos 3) Protegiendo la imina con el grupo B(C6F5)3, que también sirve como un promotor de ácido de Lewis.[9]
Hidrogenación enantioselectiva de imina
Boronato quiral ácido de Lewis derivado de (1 R) - (+) alcanfor forman un par Lewis frustrado con tBu3P, que es aislable como una sal. Este FLP cataliza la hidrogenación enantioselectiva de algunas aril iminas en alto rendimiento pero modesto ee (hasta 83%).

Aunque conceptualmente interesante, el protocolo adolece de falta de generalidad. Se encontró que el aumento del volumen estérico de los sustituyentes de imina conduce a una disminución del rendimiento y de la ee del producto de amina. Las iminas sustituidas con metoxi muestran un rendimiento superior y el de ee.[9]
Hidrosililaciones asimétricas
Un grupo de catalizadores, los pares de Lewis frustrados de alquenilboranos quirales y fosfinas son beneficiosos para las hidrosililaciones asimétricas tipo Piers de los compuestos de 1,2-dicarbonilo y los ésteres alfa-ceto, dando como resultado productos de enantioselectividad de alto rendimiento. Sin embargo, en comparación con la hidrosililación tipo Piers convencional, las hidrosililaciones asimétricas tipo Piers no están tan bien desarrolladas
En el siguiente ejemplo, el alquenilborano quiral se forma in situ a partir del diino quiral y el HB (C6F5)2. La escisión heterolítica del enlace Si-H de PhMe2SiH por el catalizador FLP, forma un complejo iónico de sililio e hidridoborato.[10]

Hidrogenación de alquinos
La hidrogenación libre de metales de alquinos internos no activados a alquenos cis se logra fácilmente utilizando catalizadores basados en FLP.[11] La condición para esta reacción eran relativamente suave utilizando 2 bar de H2. En términos de mecanismo, el material alquino primero se hidroliza y luego el FLP a base de vinilborano resultante puede luego activar dihidrógeno. Un paso protodeborilación libera los cis -alqueno producto, que se obtiene debido al proceso de syn-hidroborilación, y regenerar el catalizador. Aunque son activos para la hidrogenación de alquinos, los catalizadores basados en FLP no facilitan, sin embargo, la hidrogenación de alquenos a alcanos.

La reacción es una syn-hidroboración, y como resultado se observa una alta selectividad cis. En la etapa final del ciclo catalítico, el grupo C6F5 se escinde más fácilmente que un grupo alquilo, causando la degradación del catalizador en lugar de la liberación de alcano. El ciclo catalítico tiene tres pasos:
- Unión del sustrato (la hidroboración del alquino)
- H2 escisión con vinilborano, seguido por protodeborylation intramolecular de sustituyente de vinilo, la recuperación de N, N-dimetil-2 - [(pentafluorofenil) borilo] anilina
- Liberación del alqueno cis.

Con los alquinos internos, se produce una reacción competitiva en la que el protón unido al nitrógeno se puede agregar a los fluorobencenos. Por lo tanto, esta adición no procede mucho, la formación del alqueno parece favorecida.
Pero los alquinos terminales no se unen al boro a través de una inserción de 1,2 como los alquenos, sino a través de una adición oxidativa. Por lo tanto, la adición del protón al alquino dará como resultado el alquino terminal inicial. Por lo tanto, este proceso de hidrogenación no es adecuado para los alquinos terminales y solo dará pentafluorobenceno.
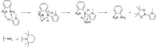
Borilación
Los FLP de amina-borano catalizan la borylación de heterociclos aromáticos ricos en electrones (Esquema 1).[12] La reacción es impulsada por la liberación de hidrógeno a través de la activación de CH por el FLP. Las borilaciones aromáticas se utilizan a menudo en el desarrollo farmacéutico, particularmente debido a la abundancia, bajo costo y baja toxicidad de los compuestos de boro en comparación con los metales nobles.

El sustrato para la reacción tiene dos requisitos principales, fuertemente ligados al mecanismo de la borilación. Primero, el sustrato debe ser rico en electrones, ejemplificado por la ausencia de una reacción con tiofeno, mientras que sus derivados más ricos en electrones, metoxitiofeno y 3,4-etilendioxitiofeno, pueden experimentar una reacción con el amino-borano. Además, la sustitución del 1-metilpirrol (que puede reaccionar) con el grupo tertbutiloxicarbonilo (Boc) que retira con gran cantidad de electrones en la posición 2 inhibe completamente la reacción. El segundo requisito es la ausencia de grupos básicos de aminas en el sustrato, que de otro modo formarían un aducto no deseado. Esto se puede ilustrar por la falta de una reacción con el pirrol, mientras que los derivados de 1-metilo y N-bencilpirrol son capaces de reaccionar.
El trabajo adicional realizado por los mismos autores reveló que simplemente la piperidina como grupo de amina R (en oposición a la tetrametilpiperidina, ilustrada arriba) aceleró la velocidad de reacción. A través de estudios de cinética y DFT, los autores propusieron que el paso de activación de CH fue más fácil que con sustituyentes más grandes.[13]
La desromatización también se puede lograr en condiciones similares, pero utilizando indoles de N-tosilo. Se obtienen indolinas sinhidrobloriladas.[14]

También se ha observado la borilación de enlaces SH en tioles por un proceso deshidrogenante. Los alcoholes y las aminas como el terc-butanol y la terc-butilamina forman productos estables que evitan la catálisis debido a un fuerte enlace π entre el par solitario del átomo de N/O y el boro, mientras que lo mismo no es cierto para los tioles, lo que permite un catálisis exitoso. Además, se ha logrado una exitosa borilación de los enlaces Se-H. En todos los casos, la formación de gas H2 es una fuerza impulsora fuerte para las reacciones.[15]
Captura de carbón
La química de FLP es conceptualmente relevante para la captura de carbono.[16] Se utilizaron tanto una FLP intermolecular (Esquema 1) como intramolecular (Esquema 2) que consiste en una fosfina y un borano para capturar y liberar selectivamente el dióxido de carbono. Cuando una solución de la FLP fue cubierto por una atmósfera de CO 2 a temperatura ambiente, el compuesto FLP-CO 2 precipitó inmediatamente como un sólido blanco.[16][17]

El calentamiento de la intermolecular compuesto FLP-CO2 en bromobenceno a 80 °C bajo vacío durante 5 horas causó la liberación de aproximadamente la mitad de la CO 2 y la regeneración de los dos componentes constituyentes de la FLP. Después de varias horas más de estar sentado a temperatura ambiente al vacío, se produjo una liberación total de CO2 y regeneración de FLP.[16]

El intramolecular compuesto FLP-CO2 por el contrario era estable como un sólido a temperatura ambiente pero totalmente descompuesto a temperaturas por encima de -20 °C como una solución en diclorometano liberación de CO2 y la regeneración de la molécula de FLP.[16]
Este método de captura de carbono FLP se puede adaptar para trabajar en sistemas de química de flujo.[18]
Referencias
- Stephan, Douglas W (2008). «Frustrated Lewis pairs: a concept for new reactivity and catalysis». Org. Biomol. Chem. 6 (9): 1535-1539. PMID 18421382. doi:10.1039/b802575b.
- Stephan, Douglas W.; Erker, Gerhard (2010). «Frustrated Lewis Pairs: Metal-free Hydrogen Activation and More». Angewandte Chemie International Edition 49 (1): 46-76. Bibcode:2012AnChe..51.3695M. ISSN 1433-7851. PMID 20025001. doi:10.1002/anie.200903708.
- Stephan, Douglas W.; Erker, Gerhard (2017). «Frustrated Lewis pair chemistry». Philosophical Transactions of the Royal Society A: Mathematical, Physical and Engineering Sciences 375 (2101): 20170239. Bibcode:2017RSPTA.37570239S. ISSN 1364-503X. PMC 5540845. PMID 28739971. doi:10.1098/rsta.2017.0239.
- Welch, Gregory C.; Juan, Ronan R. San; Masuda, Jason D.; Stephan, Douglas W. (2006). «Reversible, Metal-Free Hydrogen Activation». Science (en inglés) 314 (5802): 1124-1126. Bibcode:2006Sci...314.1124W. ISSN 0036-8075. PMID 17110572. doi:10.1126/science.1134230.
- Lam, Jolie; Szkop, Kevin M.; Mosaferi, Eliar; Stephan, Douglas W. (2018). «FLP catalysis: main group hydrogenations of organic unsaturated substrates». Chemical Society Reviews 41: 6507. Bibcode:2012ChSRv..41.6507P. PMID 30178796. doi:10.1039/C8CS00277K.
- Welch, Gregory C.; Juan, Ronan R. San; Masuda, Jason D.; Stephan, Douglas W. (17 de noviembre de 2006). «Reversible, Metal-Free Hydrogen Activation». Science (en inglés) 314 (5802): 1124-1126. Bibcode:2006Sci...314.1124W. ISSN 0036-8075. PMID 17110572. doi:10.1126/science.1134230.
- Berkefeld, Andreas; Piers, Warren E.; Parvez, Masood (11 de agosto de 2010). «Tandem Frustrated Lewis Pair/Tris(pentafluorophenyl)borane-Catalyzed Deoxygenative Hydrosilylation of Carbon Dioxide». Journal of the American Chemical Society (en inglés) 132 (31): 10660-10661. ISSN 0002-7863. PMID 20681691. doi:10.1021/ja105320c.
- Tochertermam, W (1966). «Structures and Reactions of Organic ate-Complexes». Angew. Chem. Int. Ed. 5 (4): 351-171. doi:10.1002/anie.196603511.
- Chen, Dianjun; Wang, Yutian; Klankermayer, Jürgen (3 de diciembre de 2010). «Enantioselective Hydrogenation with Chiral Frustrated Lewis Pairs». Angewandte Chemie International Edition (en inglés) 49 (49): 9475-9478. Bibcode:2012AnChe..51.3695M. ISSN 1521-3773. PMID 21031385. doi:10.1002/anie.201004525.
- Ren, Xiaoyu; Du, Haifeng (15 de enero de 2016). «Chiral Frustrated Lewis Pairs Catalyzed Highly Enantioselective Hydrosilylations of 1,2-Dicarbonyl Compounds». Journal of the American Chemical Society 138 (3): 810-813. ISSN 0002-7863. PMID 26750998. doi:10.1021/jacs.5b13104.
- Chernichenko, Konstantin; Madarász, Ádám; Pápai, Imre; Nieger, Martin; Leskelä, Markku; Repo, Timo (2013). «A frustrated-Lewis-pair approach to catalytic reduction of alkynes to cis-alkenes». Nature Chemistry 5 (8): 718-723. Bibcode:2013NatCh...5..718C. PMID 23881505. doi:10.1038/nchem.1693.
- Légaré, Marc A.; Courtmanche, Marc A.; Rochette, Étienne; Fontaine, Frédéric G. (30 de julio de 2015). «Metal-free catalytic C-H bond activation and borylation of heteroarenes». Science 349 (6247): 513-516. Bibcode:2015Sci...349..513L. ISSN 0036-8075. PMID 26228143. doi:10.1126/science.aab3591.
- Légaré Lavergne, Julien; Jayaraman, Arumugam; Misal Castro, Luis C.; Rochette, Étienne; Fontaine, Frédéric-Georges (6 de octubre de 2017). «Metal-Free Borylation of Heteroarenes Using Ambiphilic Aminoboranes: On the Importance of Sterics in Frustrated Lewis Pair C–H Bond Activation». Journal of the American Chemical Society (en inglés) 139 (41): 14714-14723. ISSN 0002-7863. PMID 28901757. doi:10.1021/jacs.7b08143.
- Jayaraman, Arumugam; Misal Castro, Luis C.; Desrosiers, Vincent; Fontaine, Frédéric-Georges (2018). «Metal-free borylative dearomatization of indoles: exploring the divergent reactivity of aminoborane C–H borylation catalysts». Chemical Science (en inglés) 9 (22): 5057-5063. ISSN 2041-6520. PMC 5994747. PMID 29938036. doi:10.1039/c8sc01093e.
- Rochette, Étienne; Boutin, Hugo; Fontaine, Frédéric-Georges (30 de junio de 2017). «Frustrated Lewis Pair Catalyzed S–H Bond Borylation». Organometallics (en inglés) 36 (15): 2870-2876. ISSN 0276-7333. doi:10.1021/acs.organomet.7b00346.
- Mömming, Cornelia M.; Otten, Edwin; Kehr, Gerald; Fröhlich, Roland; Grimme, Stefan; Stephan, Douglas W.; Erker, Gerhard (24 de agosto de 2009). «Reversible Metal-Free Carbon Dioxide Binding by Frustrated Lewis Pairs». Angewandte Chemie International Edition (en inglés) 48 (36): 6643-6646. Bibcode:2012AnChe..51.3695M. ISSN 1433-7851. PMID 19569151. doi:10.1002/anie.200901636.
- Stephan, Douglas W.; Erker, Gerhard (14 de mayo de 2015). «Frustrated Lewis Pair Chemistry: Development and Perspectives». Angewandte Chemie International Edition (en inglés) 54 (22): 6400-6441. Bibcode:2012AnChe..51.3695M. ISSN 1433-7851. PMID 25974714. doi:10.1002/anie.201409800.
- Abolhasani, Milad; Günther, Axel; Kumacheva, Eugenia (24 de junio de 2014). «Microfluidic Studies of Carbon Dioxide». Angewandte Chemie International Edition (en inglés) 53 (31): 7992-8002. Bibcode:2012AnChe..51.3695M. ISSN 1433-7851. PMID 24961230. doi:10.1002/anie.201403719.
