Glicosoaminoglicano
Los glucosaminoglucanos o glucosaminoglucuronanos (este último nombre es el aceptado actualmente por las reglas IUPAC), son unas estructuras glucídicas, que suponen la fracción glucídica constituyente de los proteoglicanos, un tipo de biomoléculas de función estructural presentes fundamentalmente en los tejidos conectivo, epitelial y óseo, así como en el medio intercelular.[1]

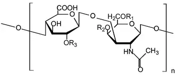
Los glucosaminoglucanos, también llamados mucopolisacáridos, son cadenas largas y no ramificadas de heteropolisacáridos, compuestas generalmente por una unidad repetitiva de disacárido con la fórmula general (azúcar ácido - aminoazúcar)n. El azúcar amino puede ser D-glucosamina o D-galactosamina, en el que el grupo amino está normalmente acetilado con el fin de eliminar su carga positiva, y también puede llevar un grupo sulfato en el carbono 4 o 6 o en un nitrógeno no acetilado. Los más habituales son la N-acetilglucosamina o la N-acetilgalactosamina. El azúcar ácido puede ser un ácido D-glucurónico o bien L-idurónico, salvo en el queratán sulfato, en el que lo normal es que haya una galactosa. La carga negativa de estos azúcares ácidos prevalece sobre los otros.[2] Cada dímero está unido al siguiente por otro enlace glucosídico, pero en este caso en posición beta 1-4. Este tipo de conformación confiere una estructura resistente.
Existen dos tipos fundamentales de glucosaminoglucuronanos:
- Glucosaminoglucuronanos estructurales: son polisacáridos con alternancia de enlaces β(1→4) y β(1→3). Entre este tipo destacan ejemplos como los sulfatos de condroitina o el ácido hialurónico.
- Glucosaminoglucuronanos de secreción: polisacáridos con alternancia de enlaces α(1→4) y α(1→3). El más importante es la heparina, una secreción trombolítica, es decir, que impide la coagulación de la sangre. Tiene una gran importancia en medicina, ya que es usada para evitar y corregir situaciones de trombosis. Puede extraerse de animales hematófagos, como las sanguijuelas, aunque también está presente en menor medida en el medio intercelular.
Localización
Se encuentran en los tejidos conectivos cumpliendo varias funciones, como por ejemplo la de atraer y retener agua e iones con carga positiva. Son compuestos tan hidratados que existen formando un gel. Estas características son idóneas para las funciones biológicas que realizan. Forman parte de los tejidos conectivos (mesodérmicos) con un importantísimo papel en la sustancia amorfa fundamental de la matriz extracelular (MEC).
Algunos alimentos, como la clara de huevo contienen glucosaminoglucanos. La proteína Ovomucina es especialmente rica en estas moléculas, y es la responsable de la viscosidad y consistencia de la clara de huevo en crudo.
Clasificación
Glucosaminoglucanos relevantes:
- ácido hialurónico: tejido conjuntivo, cordón umbilical, humor vítreo, líquido sinovial, vasos sanguíneos y cartílago.
- sulfato de heparina (o heparán sulfato): localizada en hígado, pulmón y piel.
- sulfato de condroitina (o condroitín-sulfato): en tejidos óseos y cartilaginosos.
- sulfato de queratina (o queratán sulfato): en la córnea, discos intervertebrales, etc.
Los glucosaminaglucanos sulfatados se encuentran normalmente unidos a una proteína central para formar proteoglucanos, agrupándose en estructuras de gran tamaño.[3]
Referencias
- Alberts, Bruce; Johnson, Alexander; Lewis, Julian; Morgan, David; Raff, Martin; Roberts, K.; Walter, P. (2016). «19». Biología molecular de la célula (6ª edición). Barcelona: Omega S.A. p. 1063. ISBN 978-84-282-1638-8.
- Champe, PC; Harvey, RA y Ferrier, DR: (2004). Biochemistry. Lippincott Williams & Wilkins. ISBN 0-7817-2265-9.
- Esko, Jeffrey D; Kimata, Koji; Lindahl, Ulf (2009). «Chapter 16: Proteoglycans and Sulfated Glycosaminoglycans». Essentials of Glycobiology. Cold Spring Harbor Laboratory Press. ISBN 978-0879695590.