Queratina
La queratina (del griego κερατίνη, córneo)[1] es una proteína con estructura fibrosa, muy rica en azufre,[2] que constituye el componente principal que forman las capas más externas de la epidermis de los vertebrados y de otros órganos derivados del ectodermo, faneras como el pelo, uñas, plumas, cuernos, ranfotecas y pezuñas. Una de las biomoléculas cuya dureza se aproxima a la de la queratina es la quitina, con la cual no hay que confundirse, al ser esta última un polisacárido.[3]


Tipos y composición
Las queratinas suelen clasificarse en dos familias, en función de la abundancia de su proporción en estructuras de tipo hélices-α o láminas-β:[4]
Queratina-α
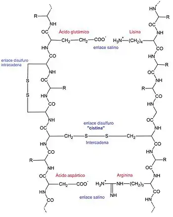
La alfa-queratina presenta en sus cadenas de aminoácidos residuos (monómeros) de cisteína, los cuales constituyen puentes disulfuro, lo que se denomina grupo cistina. Los puentes disulfuro proporcionan la rigidez y resistencia a la queratina alfa. Así, existe mayor cantidad de enlaces cistina (disulfuro) en regiones estructurales de los cuernos de un animal y en las uñas o en el pelo. La queratina alfa se encuentra en pelos, cuernos, uñas, y faneras.
Queratina-β
La beta-queratina no presenta cisteína, o lo hace en muy baja proporción, por lo tanto contiene pocos entrecruzamientos intermacromoleculares a través de puentes disulfuro (cistina). Sin embargo la queratina de tipo beta, presenta mayor proporción de plegamientos de forma lámina-β. La alta cohesión dada por el gran número de asociaciones por puentes de hidrógeno de las láminas-β, hace que la presencia de queratina-β resulte en materiales de gran resistencia tales como la seda de araña. Las queratinas-α pueden presentar también láminas-β, aunque en menor proporción que las queratinas-β. Así mismo, las queratinas-β presentan también hélices-α. Esto hace que esta clasificación de las queratinas sea controvertida.
Función estructural
La queratina es una proteína con una estructura secundaria. Es decir, la cadena macromolecular con cierta estructura primaria (o secuencia), se pliega sobre sí misma, adquiriendo tres dimensiones. Esta estructura puede ser de tipo helicoide, llamándose así proteína α-hélice o de forma laminar o lámina-β. Las interacciones intermoleculares de tipo puentes de hidrógeno, fuerzas hidrofóbicas, o enlaces salino, como los dados entre los aminoácidos ácido glutámico y lisina, mantienen unidos los aminoácidos de distintas hebras o segmentos macromoleculares de la proteína. La capacidad de transferencia de carga a través de los enlaces intermoleculares hace de las queratinas unos buenos biomateriales estructurales, con buenas propiedades mecánicas.
La queratina del cabello

La queratina del cabello se clasifica dentro de las proteínas fibrosas; sus características son cadenas largas de estructura secundaria, insolubles en agua, y soluciones de baja salinidad siendo por ello idóneas para realizar funciones esqueléticas y de gran resistencia física con funciones estructurales.[5]
El pelo está construido por macrofibrillas de queratina empaquetadas por fuera; éstas están formadas por microfibrillas, que se retuercen en un arrollamiento hacia la izquierda. Las interacciones entre las hebras se producen a través de puentes disulfuro. La queratina del pelo presenta alta proporción de alfa queratina, existiendo la posibilidad de transformarla en beta queratina si, por ejemplo, aplicamos calor más humedad. El pelo puede incluso duplicar su longitud. Esto sucede porque se rompen los puentes de hidrógeno de la hélice y las cadenas polipeptídicas adoptan una conformación extendida, en el que la voluminosidad de los grupos laterales -R, hace que la conformación -beta sea inestable, y por lo tanto al poco tiempo se adopte de nuevo la conformación en hélice, con lo que el pelo recupera su longitud original. Es incorrecto decir que el pelo está formado por células, sólo se encuentra queratina rica en azufre y una matriz amorfa que mantiene a las microfibrillas empaquetadas por fuera en la forma que alguna vez tuvo la célula que las sintetizó; el folículo piloso es el que posee células activas que se encargan de sintetizar los elementos anteriores.
La cutícula, formada por células compuestas de queratina, es la responsable de proteger el interior del cabello, a la vez que influye en su brillo y color. Son varios los factores que inciden en su buena calidad: los tratamientos mecánicos (mal cepillado, etc.), las condiciones medioambientales (contaminación, etc.), provocan su deterioro y mención especial a los trabajos químicos (desrizado, etc.); estos provocan que la cutícula se hinche y abra, algo que, con el uso continuo modifica la estructura del cabello, convirtiéndolo en seco, frágil, poroso y hasta quebradizo.
Tratamientos con queratina
Se cree que los tratamientos con queratina se utilizan para alisar el cabello. Y, aunque en cierta parte sí ayuda a que se vea un poco más liso, su función principal es reparar la fibra capilar, quitar el encrespado del cabello y aportar brillo y vitalidad. Todo esto hace que el cabello se vea hidratado y uniforme.
El tratamiento de queratina brasileña agrega aminoácidos de la queratina a la fibra de proteína en nuestro cabello. Así, se utiliza un reactivo reticulante para pegar los aminoácidos añadidos a las hebras de queratina en el cabello. Luego de esto, el cabello se estira y se calienta con una plancha. Las críticas de está técnica apuntan a que utiliza el formol como uno de los reactivos reticulantes, y este se considera un carcinógeno cuando se inhala.[6] el formol es un endurecido por naturaleza y se instala como cutícula
Véase también
Referencias
- Queratina en el DRAE
- J. Gacén-Guillen (1964). Aspectos químicos del blanqueo de la lana con peróxido de hidrógeno: Modificación química de la queratina. Boletín del Instituto de Investigación Textil y de Cooperación Industrial, 39: 43-70.
- «Microstructure, elastic properties and deformation mechanisms of horn keratin» (en inglés). Consultado el 18 de junio de 2012.
- Queratinas, en Gloosario ilustrado de dermatología y dermatopatología, Gerzaín Rodríguez Toro, -Google Books-
- Queratina del pelo, Cosmetología de Harry, pp. 457-459 -Google books-
- «¿Cómo funcionan los tratamientos alisadores?: la ciencia lo explica». todoplanchasdepelo.com. Consultado el 10 de junio de 2019.