Éster de fosfito
En química, un éster de fosfito u organofosfito generalmente se refiere a un compuesto organofosforado con la fórmula P(OR)3. Pueden considerarse como ésteres de un tautómero del ácido fosforoso nunca observado, el H3PO3, siendo los ejemplos más simples el trimetilfosfito, P(OCH3)3 y el trietilfosfito, P(OCH2CH3)3. Algunos fosfitos pueden considerarse ésteres del tautómero dominante del ácido fosforoso, el ácido fosfónico (HP(O)(OH)2). El representante más simple es el dimetilfosfito con la fórmula HP(O)(OCH3)2. Ambas clases de fosfitos suelen ser líquidos incoloros.

A partir de PCl3
Los fosfitos se preparan típicamente tratando el tricloruro de fósforo con un alcohol. Dependiendo de los detalles sintéticos, esta alcohólisis puede dar a los dialquilfosfitos:[1]
Alternativamente, cuando la alcohólisis se realiza en presencia de aceptores de protones, se obtienen los derivados de trialcoxi de simetría C3:[2]
Por transesterificación
Los ésteres de fosfito también se pueden preparar por transesterificación, ya que experimentan intercambio de alcohol al calentarse con otros alcoholes.[3] Este proceso es reversible y puede usarse para producir fosfitos de alquilo mixtos. Los fosfonatos (y otros ésteres de fósforo) también pueden ser sintetizados vía una reacción de transesterificación catalizada por catalizadores orgánicos. Se ha reportado que los carbenos N-heterocíclicos catalizan la reacción eficientemente.[4]
Reactividad
Tris(2,4-di-terc-butilfenil)fosfito, un estabilizador ampliamente utilizado en polímeros.
Los fosfitos se oxidan a ésteres de fosfato:
Esta reacción apuntala el uso comercial de algunos ésteres de fosfito como estabilizadores en polímeros.[5]
Los ésteres de alquilfosfito se usan en la reacción de Perkow para la formación de fosfonatos de vinilo, y en la reacción de Michaelis-Arbuzov para formar fosfonatos. Los ésteres de arilfosfito pueden no sufrir estas reacciones y, por lo tanto, se usan comúnmente como estabilizadores en polímeros que contienen halógeno, como el PVC.
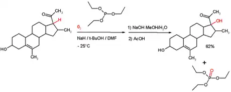
Los ésteres de fosfito pueden usarse como agentes reductores en casos más especializados. Por ejemplo, se sabe que el fosfito de trietilo reduce ciertos hidroperóxidos a alcoholes formados por autooxidación[6] (esquema). En este proceso, el fosfito se convierte en un éster de fosfato. Este tipo de reacción también se utiliza en la síntesis total de Wender Taxol.

Los ésteres de fosfito también se emplean para hacer fosfatos alquenílicos mediante la reacción de Perkow, reacción muy similar a la reacción de Michaelis-Arbuzov.
En la síntesis de algunos alquenos también se emplean este tipo de compuestos, mediante la reacción de Perkow o la síntesis de olefinas de Corey-Winter.
Catálisis homogénea
Los ésteres de fosfito son bases de Lewis y, por lo tanto, pueden formar complejos de coordinación con varios iones metálicos. Los ligandos de fosfito representativos incluyen al fosfito de trimetilo ((MeO)3P), fosfito de trietilo ((EtO)3P), fosfito de trimetilolpropano y fosfito de trifenilo ((PhO)3P). Los fosfitos exhiben ángulos cónicos más pequeños que la familia fosfina estructuralmente relacionada. Los ligandos de fosfito son componentes de catalizadores industriales para hidroformilación e hidrocianación.[7][8][9]
Tautomería de los HO-fosfitos

Al igual que con el ácido fosforoso, los HO-fosfitos (H-fosfonatos), los H-fosfinatos, y los óxidos de fosfina secundarios, muestran un equilibrio tautomérico prototrópico entre la forma tautomérica del óxido (O=PH<) tetracoordinado y la forma hidróxido (HO-P<) tricoordinada (un átomo de hidrógeno se mueve de un átomo de P al oxígeno). En particular, estas especies tienen una reactividad diferente, que está influenciada por el efecto de los sustituyentes sobre el tautómero dominante en la mezcla de equilibrio. Para comprender el comportamiento de estas reacciones químicas de los compuestos, es clave investigar la interconversión entre los dos tautómeros y el efecto de los medios circundantes en las moléculas para determinar la termodinámica, la cinética y el mecanismo del equilibrio tautomérico. La reactividad de los derivados H-fosfonatos sugiere la presencia de ambas formas en la disolución. Los H-fosfonatos con sustituyentes electrodonadores existen en un equilibrio desplazado hacia la forma fosfonato, mientras que aquellos con sustituyentes electroatractores tienen una fuerte preferencia hacia la forma fosfito. Además, se encontró una relación logarítmica entre esta estabilidad y la permitividad relativa del medio disolvente, siendo la forma H-fosfonato más estable en disolventes que tienen mayor permitividad relativa.[10]
Los diésteres de fosfito, o dialquilfosfitos, como el dimetilfosfito o el dietilfosfito, se presentan únicamente en la forma tautomérica fosfonato, no hay pruebas de su existencia en la forma fosfito. Por este motivo, para los dialquilfosfitos, el enlace P-H es el sitio de alta reactividad (por ejemplo, en la reacción de Atherton-Todd), mientras que en los trialquilfosfitos, el par solitario en el átomo central de fósforo es el sitio de alta reactividad.[11]
Referencias
- Malowan, John E. (1953). «Diethyl phosphite». Inorganic Syntheses 4: 58-60. doi:10.1002/9780470132357.ch19.
- A. H. Ford-Moore (1963). "Triethyl Phosphite". Org. Synth.; Coll. Vol. 4: 955.
- Hoffmann, Friedrich W.; Ess, Richard J.; Usingef, Robert P. (November 1956). «The Transesterification of Trialkyl Phosphites with Aliphatic Alcohols». Journal of the American Chemical Society 78 (22): 5817-5821. doi:10.1021/ja01603a026.
- Synthesis of phosphorus esters by transesterification mediated by N-heterocyclic carbenes (NHCs), R. Singh, S. P. Nolan, Chem. Commun., 2005, 5456-5458.
- Rainer Wolf; Bansi Lal Kaul (2000). «Plastics, Additives». Ullmann's Encyclopedia Of Industrial Chemistry. doi:10.1002/14356007.a20_459.
- J. N. Gardner; F. E. Carlon; O. Gnoj (1968). «One-step procedure for the preparation of tertiary α-ketols from the corresponding ketones». J. Org. Chem. 33 (8): 3294-3297. doi:10.1021/jo01272a055.
- Aitor Gual; Cyril Godard; Verónica de la Fuente; Sergio Castillón (2012). «Design and Synthesis of Phosphite Ligands for Homogeneous Catalysis». En Paul C. J. Kamer; Piet W. N. M. van Leeuwen, eds. Phosphorus(III) Ligands in Homogeneous Catalysis: Design and Synthesis. John Wiley & Sons. doi:10.1002/9781118299715.ch3.
- Cuny, Gregory D.; Buchwald, Stephen L. (1993). «Practical, High-Yield, Regioselective, Rhodium-Catalyzed Hydroformylation of Functionalized α-olefins». Journal of the American Chemical Society 115 (5): 2066-2068. doi:10.1021/ja00058a079.
- Van Rooy, Annemiek; Kamer, Paul C. J.; Van Leeuwen, Piet W. N. M.; Goubitz, Kees; Fraanje, Jan; Veldman, Nora; Spek, Anthony L. (1996). «Bulky Diphosphite-Modified Rhodium Catalysts: Hydroformylation and Characterization». Organometallics 15 (2): 835-847. doi:10.1021/OM950549K.
- Daniella Vincze, Péter Ábrányi-Balogh, Péter Bagi, György Keglevich (2019). «A Mechanistic Study on the Tautomerism of H-Phosphonates, H-Phosphinates and Secondary Phosphine Oxides». Molecules 24: 3859. doi:10.3390/molecules24213859.
- Kolio D. Troev (2018). Reactivity of P-H Group of Phosphorus Based Compounds. Academic Press. pp. 1-17. ISBN 978-0-12-813834-2.