Fosfinato
Los fosfinatos o hipofosfitos son una clase de compuestos de fósforo conceptualmente basados en la estructura del ácido hipofosforoso. La IUPAC prefiere el término fosfinato en todos los casos, sin embargo, en la práctica, el hipofosfito se usa generalmente para describir especies inorgánicas (por ejemplo, el hipofosfito de sodio), mientras que el fosfinato generalmente se refiere a especies de organofosforados.

Hipofosfitos

El ion hipofosfito es (H
2PO
2)−
. Las sales se preparan calentando fósforo blanco en álcali acuoso tibio, como la cal apagada, Ca(OH)2:[1]
Los hipofosfitos son agentes reductores:[1]
Los hipofosfitos se usan en el niquelado electrolítico como agente reductor para depositar, por ejemplo, metal de Ni a partir de sales de Ni.[1] El ion hipofosfito es termodinámicamente inestable y se desproporciona al calentarse a gas fosfina y sales de fosfato:

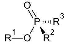
Organofosfinatos
Los organofosfinatos son compuestos organofosforados con la fórmula OP(OR)R2, siendo el ejemplo más simple el ácido metilfosfínico. Pueden ser sintetizados por la reacción de Michaelis-Arbuzov. Los fosfinitos, P(OR)R2, pueden oxidarse a fosfinatos.
Los ácidos dialquilfosfínicos son compuestos organofosforados con la fórmula R2PO(OH), donde R es cualquier grupo alquilo. Son compuestos de geometría molecular tetraédrica. Bajo las marcas Aerophine y Cyanex, se utilizan en la extracción y separación en hidrometalurgia, de sales metálicas de extractos de minerales.[2] Característicamente, los sustituyentes orgánicos están ramificados para conferir solubilidad y evitar la cristalización.[3]
Los ácidos ditiodialquifosfínicos (R2PS2H) están relacionados con los diorganoditiofosfatos con la fórmula (RO)2PS2H, que también se utilizan como agentes complejantes en la purificación de metales. Los fosfatos son más propensos a la hidrólisis debido a la mayor labilidad del enlace RO-P frente al enlace C-P directo.
Referencias
- Greenwood, Norman N.; Earnshaw, Alan (1997). Chemistry of the Elements (2nd edición). Butterworth-Heinemann. p. 512. ISBN 978-0-08-037941-8.
- J. Svara, N. Weferling, T. Hofmann "Phosphorus Compounds, Organic" in Ullmann's Encyclopedia of Industrial Chemistry, Wiley-VCH, Weinheim, 2006. doi 10.1002/14356007.a19_545.pub2
- Fleitlikh, I.Yu.; Grigorieva, N.A.; Kuz'Min, V.I.; Pashkov, G.L. (2012). «Redox processes during cobalt extraction with bis(2,4,4-trimethylpentyl)dithiophosphinic acid». Hydrometallurgy. 129-130: 43-49. doi:10.1016/j.hydromet.2012.08.009.