Clamoxyquine
Clinical data
ATC code
  • none
Identifiers
  • 5-Chloro-7-({[3-(diethylamino)propyl]amino}methyl)quinolin-8-ol
CAS Number
PubChem CID
ChemSpider
UNII
ChEMBL
CompTox Dashboard (EPA)
Chemical and physical data
FormulaC17H24ClN3O
Molar mass321.85 g·mol−1
3D model (JSmol)
  • Clc1cc(c(O)c2ncccc12)CNCCCN(CC)CC

Clamoxyquine (INN) or clamoxyquin (former BAN), as the pamoate or hydrochloride salt, is an antiamebic and antidiarrheal drug.

It has been used as a veterinary medicine to treat salmonids for infection with the myxozoan parasite Myxobolus cerebralis.

Synthesis

Antimalarial activity also predominates in a quinoline that bears a diaminoalkyl side chain at a rather different position from the other agents noted.

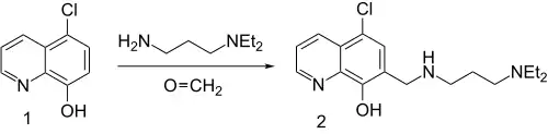
Clamoxyquin synthesis:[1]

Thus, Mannich condensation of the hydroxyquinoline (1) with formaldehyde and N,N-diethylpropylenediamine affords clamoxyquin (2).

References

  1. Burckhalter JH, Brinigar WS, Thompson PE (1961). "Antiamebic Agents. V.1Promising Basic Amebicides Derived from 5-Chloro-8-quinolinol". The Journal of Organic Chemistry. 26 (10): 4070–4078. doi:10.1021/jo01068a103.
This article is issued from Wikipedia. The text is licensed under Creative Commons - Attribution - Sharealike. Additional terms may apply for the media files.