Uldazepam

Uldazepam
Clinical data
Other names7-chloro-5-(2-chlorophenyl)-N-prop-2-enoxy-3H-1,4-benzodiazepin-2-amine
ATC code
  • none
Identifiers
IUPAC name
  • (2Z)-7-Chloro-5-(2-chlorophenyl)-1,3-dihydro-2H-1,4-benzodiazepin-2-one O-allyloxime
CAS Number
PubChem CID
ChemSpider
UNII
KEGG
CompTox Dashboard (EPA)
Chemical and physical data
FormulaC18H15Cl2N3O
Molar mass360.24 g·mol−1
3D model (JSmol)
SMILES
  • Clc3ccccc3C/2=N/CC(=N/c1c\2cc(Cl)cc1)\NOC\C=C
InChI
  • InChI=1S/C18H15Cl2N3O/c1-2-9-24-23-17-11-21-18(13-5-3-4-6-15(13)20)14-10-12(19)7-8-16(14)22-17/h2-8,10H,1,9,11H2,(H,22,23) checkY
  • Key:DTMPGSXFUXZBDK-UHFFFAOYSA-N checkY
 ☒NcheckY (what is this?)  (verify)

Uldazepam is a drug which is a benzodiazepine derivative.[1] It has sedative and anxiolytic effects similar to those of other benzodiazepines.[2][3]

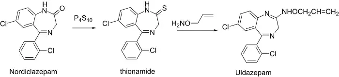
Synthesis

Thio thionamide is even more prone to amidine formation than the lactam itself.

Uldazepam synthesis:[4] J. B. Hester, Jr., (1970); Chem. Abstr., 73: 99,001t (1970).

Reaction of thionamide (2) with O-allyl-hydroxylamine gave the oximino (3) uldazepam.

See also

References

  1. "Uldazepam U 31920". Psychotropics. Retrieved 12 June 2013.
  2. Oelschläger H, Ellaithy MM, Volke J (February 1988). "[Mechanism of the polarographic reduction of the tranquilizer uldazepam]". Archiv der Pharmazie (in German). 321 (2): 69–72. doi:10.1002/ardp.19883210205. PMID 3369929. S2CID 96356746.
  3. Itil TM, Akpinar S, Ozkut H, Balki N, Herrmann WM (June 1974). "Clinical and computerized EEG effects of U-31,920, a new anxiolytic". Current Therapeutic Research, Clinical and Experimental. 16 (6): 642–54. PMID 4211146.
  4. DE 2005176, Hester Jr., Jackson Boling, "3H-1,4-benzodiazepine und Verfahren zu deren Herstellung [3H-1,4-benzodiazepines and processes for their preparation]", published 1970-09-10, assigned to The Upjohn Co.
This article is issued from Wmcloud. The text is licensed under Creative Commons - Attribution - Sharealike. Additional terms may apply for the media files.