Procaterol

Procaterol
Clinical data
Trade namesMeptin, others
AHFS/Drugs.comMicromedex Detailed Consumer Information
Routes of
administration
Oral (tablets, syrup), inhalation (DPI)
ATC code
Identifiers
IUPAC name
  • (±)-(1R,2S)-rel-8-Hydroxy-5-[1-hydroxy-2-(isopropylamino)butyl]-quinolin-2(1H)-one
CAS Number
PubChem CID
ChemSpider
UNII
KEGG
CompTox Dashboard (EPA)
ECHA InfoCard100.069.606
Chemical and physical data
FormulaC16H22N2O3
Molar mass290.363 g·mol−1
3D model (JSmol)
ChiralityRacemic mixture
SMILES
  • CC(C)NC(CC)C(O)c2ccc(O)c1NC(=O)C=Cc12
 ☒NcheckY (what is this?)  (verify)

Procaterol is an intermediate-acting β2 adrenoreceptor agonist used for the treatment of asthma. It has never been filed for FDA evaluation in the United States, where it is not marketed. The drug is readily oxidized in the presence of moisture and air, making it unsuitable for therapeutic use by inhalation.[1] Pharmaceutical company Parke-Davis/Warner-Lambert researched a stabilizer to prevent oxidation, but an effective one was never developed.[1]

It was patented in 1974 and came into medical use in 1980.[2]

Synthesis

Like pirbuterol, procaterol exhibits similar broncholytic properties as salbutamol (albuterol), but it has somewhat of a more prolonged action. It is recommended for use as an inhaled drug for treating asthma.

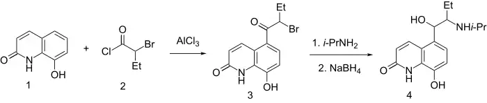
Procaterol synthesis:[3][4][5][6]

8-Hydroxycarbostyril 1 is acylated with 2-bromobutyric acid chloride 2 at the fifth position of the quinoline system, which gives the compound 3. This undergoes action of isopropylamine, forming an aminoketone, the carbonyl group of which is reduced by sodium borohydride, giving procaterol 4.

Names

It is also known as procaterol hydrochloride (USAN).

Procaterol is available under a number of trade names (Onsukil, Masacin, Procadil and others), the most common seems to be Meptin ((KR), (CN), (ID), (MY), (PH), (SG), (TH), (HK)).[7]

References

  1. 1 2 US 4616022, Ghebre-sellassie I, Nesbitt Jr RU, "Procaterol stabilization", published 1984, issued 1986, assigned to Warner Lambert Co LLC
  2. Fischer J, Ganellin CR (2006). Analogue-based Drug Discovery. John Wiley & Sons. p. 543. ISBN 9783527607495.
  3. US 4026897, Nakagawa K, Yoshizaki S, "5-[1-Hydroxy-2-(substituted-amino)]alkyl-8-hydroxycarbostyril derivatives", issued 31 May 1977, assigned to Otsuka Pharmaceutical Co Ltd
  4. Yoshizaki S, Osaki M, Nakagawa K, Yamura Y (November 1980). "Synthesis of 8-hydroxycarbostyril". Chemical and Pharmaceutical Bulletin. 28 (11): 3441–3443. doi:10.1248/cpb.28.3441.
  5. Yoshizaki S, Tanimura K, Tamada S, Yabuuchi Y, Nakagawa K (September 1976). "Sympathomimetic amines having a carbostyril nucleus". Journal of Medicinal Chemistry. 19 (9): 1138–1142. doi:10.1021/jm00231a011. PMID 10441.
  6. Yoshizaki S, Manabe Y, Tamada S, Nakagawa K, Tei S (August 1977). "Isomers of erythro-5-(1-hydroxy-2-isopropylaminobutyl)-8-hydroxycarbostyril, a new bronchodilator". Journal of Medicinal Chemistry. 20 (8): 1103–1104. doi:10.1021/jm00218a024. PMID 894683.
  7. "International Drugs: Procaterol". Drugs.com. Retrieved 7 March 2016.
This article is issued from Wmcloud. The text is licensed under Creative Commons - Attribution - Sharealike. Additional terms may apply for the media files.