Hexobendine

Hexobendine
Clinical data
ATC code
Identifiers
IUPAC name
  • Ethane-1,2-diylbis[(methylimino)propane-3,1-diyl] bis(3,4,5-trimethoxybenzoate)
CAS Number
PubChem CID
ChemSpider
UNII
CompTox Dashboard (EPA)
ECHA InfoCard100.000.173
Chemical and physical data
FormulaC30H44N2O10
Molar mass592.686 g·mol−1
3D model (JSmol)
SMILES
  • COc1c(cc(cc1OC)C(=O)OCCCN(C)CCN(C)CCCOC(=O)c2cc(OC)c(OC)c(OC)c2)OC
InChI
  • InChI=1S/C30H44N2O10/c1-31(11-9-15-41-29(33)21-17-23(35-3)27(39-7)24(18-21)36-4)13-14-32(2)12-10-16-42-30(34)22-19-25(37-5)28(40-8)26(20-22)38-6/h17-20H,9-16H2,1-8H3 ☒N
  • Key:KRQAMFQCSAJCRH-UHFFFAOYSA-N ☒N
 ☒NcheckY (what is this?)  (verify)

Hexobendine is a vasodilator that acts as an adenosine reuptake inhibitor.[1]

Synthesis

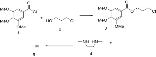
Hexobendine can be synthesized starting with a reaction between 3,4,5-trimethoxybenzoyl chloride (1) and 3-chloropropanol (2) to give the corresponding ester, 3-chloropropyl 3,4,5-trimethoxybenzoate (3). The last step involves the reaction between two molar equivalents of 3 with one molar equivalent of 1,2-dimethylethylenediamine (4) completing the synthesis of hexobendine (5).[2][3]

Synthesis of hexobendine

See also

References

  1. Kolassa N, Pfleger K (January 1975). "Adenosine uptake by erythrocytes of man, rat and guinea-pig and its inhibition by hexobendine and dipyridamole". Biochemical Pharmacology. 24 (1): 154–6. doi:10.1016/0006-2952(75)90331-7. PMID 1168469.
  2. "Pharmaceutical Substances: Hexobendine". Thieme.
  3. AT231432 idem Schlogl Karl, Kraupp Otto, U.S. patent 3,267,103 (1964 & 1966 to Chemie Linz Ag).
This article is issued from Wmcloud. The text is licensed under Creative Commons - Attribution - Sharealike. Additional terms may apply for the media files.