Colestipol

Colestipol
Names
Pronunciationkoe les' ti pol[1]
Trade namesColestid, Cholestabyl, others
Other namesColestipol hydrochloride
IUPAC name
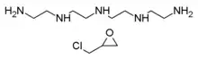
  • Copolymer of bis(2-aminoethyl)amine and 2-(chloromethyl)oxirane
Clinical data
Drug classBile acid sequestrant[2]
Main usesHigh cholesterol, biliary obstruction, liver disease[2][1]
Side effectsConstipation[2]
WHO AWaReUnlinkedWikibase error: ⧼unlinkedwikibase-error-statements-entity-not-set⧽
Pregnancy
category
  • US: B (No risk in non-human studies)
    Routes of
    use
    By mouth (suspension or tablets)
    Typical dose5 to 30 gram/day[3]
    External links
    AHFS/Drugs.comMonograph
    MedlinePlusa682157
    Legal
    Legal status
    Pharmacokinetics
    BioavailabilityNone
    ExcretionFaeces, in complex with bile acids
    Chemical and physical data
    Formula(C4H10N3)m(C3H6O)n

    Colestipol, sold under the brand name Colestid among others, is a medication used to treat high cholesterol, biliary obstruction, and liver disease.[2][1] In liver disease it is used to decrease itchiness.[1] It is taken by mouth.[2]

    Common side effects include constipation.[2] Other side effects may include fat soluble vitamin deficiency.[2] While there is no evidence of harm in pregnancy, such use has not been well studied.[4] It is a bile acid sequestrant.[2] It works by binding bile acids in the intestines and preventing them from being reabsorbed.[1] This decreases in bile results in less cholesterol being made by the liver.[1]

    Colestipol was approved for medical use in the United States in 1977.[2] It is available as a generic medication.[1] In the United Kingdom 30 doses of 5 grams costs the NHS about £15 as of 2021.[3] This amount in the United States costs about 31 USD.[5]

    Medical use

    It is also used to treat certain types of chronic diarrhea.[6]

    Dosage

    It may be taken at a dose of 5 to 30 grams per day.[3]

    Side effects

    The following notable side effects may occur:[7]

    • gastrointestinal tract disturbances, especially (mild, occasionally severe) constipation
    • sometimes increase in VLDL and triglyceride synthesis

    Interactions

    Colestipol can bind to a number of drugs and nutrients in the gut and inhibit or delay their absorption. Such substances include:[7]

    Contraindications

    Colestipol is contraindicated in hypertriglyceridemia (high level of triglycerides in the blood).

    Chemistry

    Colestipol is a copolymer of diethylenetriamine (DETA) —or tetraethylenepentamine according to some sources[8][9]— and epichlorohydrin.[10][11] The structure drawing (top right) shows the DETA moieties in blue and the epichlorohydrin moieties in red.

    Alternative chemical structure, with tetraethylenepentamine instead of diethylenetriamine; formula (C8H18N5)m(C3H6O)n
    The constituent DETA

    The constituents tetraethylenepentamine (top) and epichlorohydrin (bottom)

    References

    1. 1 2 3 4 5 6 7 "Colestipol". LiverTox: Clinical and Research Information on Drug-Induced Liver Injury. National Institute of Diabetes and Digestive and Kidney Diseases. 2012. Archived from the original on 6 May 2021. Retrieved 6 January 2022.
    2. 1 2 3 4 5 6 7 8 9 "Colestipol Monograph for Professionals". Drugs.com. Archived from the original on 17 January 2021. Retrieved 6 January 2022.
    3. 1 2 3 BNF 81: March-September 2021. BMJ Group and the Pharmaceutical Press. 2021. p. 212. ISBN 978-0857114105.
    4. "Colestipol Use During Pregnancy". Drugs.com. Archived from the original on 30 November 2020. Retrieved 6 January 2022.
    5. "Colestipol Prices, Coupons & Savings Tips - GoodRx". GoodRx. Archived from the original on 17 August 2021. Retrieved 6 January 2022.
    6. "colestipol (Colestid)". MedicineNet. Archived from the original on 2020-10-26. Retrieved 2020-10-19.
    7. 1 2 Drugs.com: Colestipol Hydrochloride Archived 2019-08-20 at the Wayback Machine
    8. Clinical Pharmacology: Colestipol structure Archived 2016-03-04 at the Wayback Machine
    9. Beth Israel Deaconess Medical Center & Care Group: Colestipol structure Archived 2010-12-29 at the Wayback Machine
    10. Haberfeld H, ed. (2009). Austria-Codex (in German) (2009/2010 ed.). Vienna: Österreichischer Apothekerverlag. ISBN 978-3-85200-196-8.{{cite book}}: CS1 maint: unrecognized language (link)
    11. Steinhilber D, Schubert-Zsilavecz M, Roth HJ (2005). Medizinische Chemie (in German). Stuttgart: Deutscher Apotheker Verlag. p. 433. ISBN 3-7692-3483-9.{{cite book}}: CS1 maint: unrecognized language (link)
    Identifiers:
    This article is issued from Wmcloud. The text is licensed under Creative Commons - Attribution - Sharealike. Additional terms may apply for the media files.