Butoconazole

Butoconazole
Names
Trade namesGynazole-1, Femstat-3, others
IUPAC name
  • (RS)-1-[4-(4-Chlorophenyl)-2-(2,6-dichlorophenyl)sulfanylbutyl]imidazole
Clinical data
Drug classAntifungal[1]
Main usesVaginal yeast infections[1]
Side effectsBurning, itchiness, abdominal pain[1]
WHO AWaReUnlinkedWikibase error: ⧼unlinkedwikibase-error-statements-entity-not-set⧽
Pregnancy
category
  • AU: B3
  • US: C (Risk not ruled out)
    Routes of
    use
    Vaginal cream
    External links
    AHFS/Drugs.comMonograph
    MedlinePlusa682012
    Legal
    License data
    Legal status
    • US: OTC / Rx-only
    Chemical and physical data
    FormulaC19H17Cl3N2S
    Molar mass411.77 g·mol−1
    3D model (JSmol)
    SMILES
    • Clc1ccc(cc1)CCC(Sc2c(Cl)cccc2Cl)Cn3ccnc3
    InChI
    • InChI=1S/C19H17Cl3N2S/c20-15-7-4-14(5-8-15)6-9-16(12-24-11-10-23-13-24)25-19-17(21)2-1-3-18(19)22/h1-5,7-8,10-11,13,16H,6,9,12H2 checkY
    • Key:SWLMUYACZKCSHZ-UHFFFAOYSA-N checkY

    Butoconazole, sold under the brand name Gynazole-1 among others, is antifungal used to treat vaginal yeast infections.[1] It is used inside the vagina.[1]

    Common side effects include burning, itchiness, and abdominal pain.[1] Its use may weaken condoms in the 3 days following application.[1] It may be used in pregnancy.[1] It is an imidazole.[1]

    Butoconazole was first made in 1978 and approved for medical use in the United States in 1995.[2][1] It is available over the counter.[1] In the United States a dose costs about 105 USD as of 2022.[3]

    Medical uses

    Dosage

    It is generally used once a day for one to three days.[1] For complicated cases up to 14 days may be used.[1]

    Synthesis

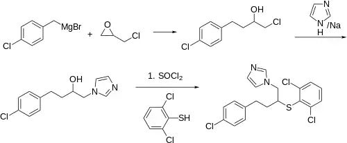
    Butoconazole synthesis:[4][5]

    Reaction of epichlorohydrin with 4-Chlorobenzyl magnesium bromide leads to 1-chloro-4-(4-chlorophenyl)butan-2-ol (3). Displacement with sodium imidazole, conversion of the secondary alcohol to the chloride (SOCl2), and displacement with 2,6-dichlorobenzenethiol concludes the synthesis of the antifungal butoconazole.

    References

    1. 1 2 3 4 5 6 7 8 9 10 11 12 13 "Butoconazole Monograph for Professionals". Drugs.com. Archived from the original on 3 January 2022. Retrieved 12 January 2022.
    2. Grayson, M. Lindsay; Crowe, Suzanne M.; McCarthy, James S.; Mills, John; Mouton, Johan W.; Norrby, S. Ragnar; Paterson, David L.; Pfaller, Michael A. (29 October 2010). Kucers' The Use of Antibiotics Sixth Edition: A Clinical Review of Antibacterial, Antifungal and Antiviral Drugs. CRC Press. p. 1893. ISBN 978-1-4441-4752-0. Archived from the original on 12 January 2022. Retrieved 12 January 2022.
    3. "Gynazole-1 Prices, Coupons & Savings Tips - GoodRx". GoodRx. Archived from the original on 29 October 2016. Retrieved 12 January 2022.
    4. Walker KA, Braemer AC, Hitt S, Jones RE, Matthews TR (August 1978). "1-[4-(4-Chlorophenyl)-2-(2,6-dichlorophenylthio)-n-butyl]-1H-imidazole nitrate, a new potent antifungal agent". Journal of Medicinal Chemistry. 21 (8): 840–3. doi:10.1021/jm00206a028. PMID 357722.
    5. US 4078071, Walker KA, "Derivatives of substituted N-alkyl imidazoles", issued 7 March 1978, assigned to Syntex
    External sites:
    Identifiers:
    This article is issued from Wmcloud. The text is licensed under Creative Commons - Attribution - Sharealike. Additional terms may apply for the media files.