132

I'm looking to get an antenna installed for Internet service that will need to clear some trees on my neighbor's property because it requires a clear line of sight to work.

I really don't trust my estimating skills enough to plunk down money on a utility pole that might be too short or too tall. And climbing the tree with a tape measure (in my neighbors yard) is a bit intrusive and dangerous.

Is there a clever way that I can get a reasonably close (within 5' or so) estimate of the height of the tree other than eyeballing it?

I thought about putting together a bunch of 10' runs of PVC pipe and holding it up against the tree, but that is going to get pretty unwieldy by about 30' and the trees are at least that tall.

My other thought is to break out my old Trig textbooks and use the angle/distance to tree, but it seems like it would be pretty hard to judge the angle correctly, maybe with a laser pointer or something?

Any other ideas?

BMitch
  • 42,865
  • 14
  • 93
  • 200
JohnFx
  • 4,682
  • 14
  • 43
  • 50

21 Answers21

239

Find a stick the same length as your arm. Hold your arm out straight and level with the stick pointing straight up (90° to your outstretched arm). Walk forward/backward until the tip of the stick coincides with the top of the tree. Your feet are now at approximately the same distance from the tree as it is high. (For a more precise approximation, back up by the additional distance of the height of your arm above the ground.) The relationship is true only if the tree is significantly taller than you are, and the ground is relatively level. Time-tested logger method. Simple.

creating a right triangle with the line of sight at a 45 degree angle.

shirlock homes
  • 58,252
  • 3
  • 85
  • 166
  • 16
    I like this one, no tools or math (especially if you know your stride length). Just a stick and a little walking. – Tester101 Jun 21 '11 at 12:12
  • I am having trouble visualizing this one. Can you offer some visual aids? – JD Isaacks Jun 21 '11 at 17:48
  • 12
    sorry about the ???? lol. This is a method to see where the end of the tree will be when it falls. Don't have a visual, sorry. The math of it is simple, if your arm is 36" long and the stick is 36" long, holding the stick straight up with your arm extended out at eye level creates a 45 degree angle line of sight, thus an isosceles triangle. So it follows that the height of the tree is the same as your distance from the tree. Give or take a foot or so. A good quick accurate estimate. – shirlock homes Jun 21 '11 at 18:34
  • What shirlock said; you're creating an isoceles right triangle (45-45-90) with the stick and your arm, that is projected over the tree in your perspective; when the top of the tree lines up with the stick, the tree is now part of a much larger triangle with the same angles, and the two sides of the 45-45-90 triangle which form the 90* angle (which are the height of the tree, and the distance from the trunk to your feet) will be the same length. It's beautiful. – KeithS Jun 21 '11 at 22:42
  • @keith: Thanks for a nice clear explanation of my confusing math. – shirlock homes Jun 22 '11 at 10:15
  • I guess it was implied, but it wasn't specifically stated that your feet have to be on the same level (or close) of where the tree goes into the ground. – billoreid Jun 25 '11 at 02:40
  • @ billoreid: Ayaa that's true. – shirlock homes Jun 26 '11 at 09:26
  • 1
    Shouldn't your arms and eye be at the ground for this to work? If you are standing, you need to add your arm height from ground to the distance measured. – Lazer Jun 26 '11 at 13:54
  • 2
    I'm sorry but Tree+Eye+Feet does not form an isocel triangle. Much more a trapezoid. Lazer is right, you have to consider the triangle Tree+Eye/Arm and add the height of your Eye/Arm. – Vincent Robert Jun 26 '11 at 16:47
  • 3
    I was only giving a method to estimate the height of the tree. I don't think the question asked for a way to be exact to the inch. Lazer is absolutely right as far as the math goes. you need to add the distance from the ground to your eye to be more accurate. – shirlock homes Jun 27 '11 at 22:46
  • 12
    @Vincent Robert: Remember this is a logger trick... If you cut the tree at the height of your arm, you don't have to add that height into your original estimation ;) – Tester101 Aug 02 '11 at 16:46
  • 6
    The diagram is incorrect. Your eyeball is not at your shoulder; therefore, there is no triangle. You could correct this by raising your hand to be level with your eye, not your shoulder. – Reid Sep 14 '13 at 16:09
  • A probably simple way to obtain better accuracy is to hold our your arm straight and raise it so your hand is level with your eyes; then find a stick that is the same distance between your face and your hand, hold it 90 degrees to the ground, and proceed. That puts your eyes at the triangle. For more accuracy just add your own height to your measurement. You can do this very easily with a stick longer than your arm. Just grip it in a place so the end touches your face then use your wrist to just rotate it to point straight up. Quick and easy. Don't poke your eye out. – Jason C Feb 12 '16 at 20:49
  • No one mentioned that the easy way to get 45 degrees for Thales pyramid sighting method is simply by folding a sheet of paper, aligning the bottom of the sheet with one side. Now you have a diagonal which is exactly 45 degrees. You don't need a special instrument. – Stewart Fist Nov 03 '16 at 03:28
110

Use shadows...

  1. Measure your shadow.
  2. Measure yourself.
  3. Measure the tree's shadow.
  4. Calculate (tree's shadow * your height) / your shadow = ~Tree Height.

You'll have to do this on a sunny day (you might also need an assistant), and the ground will have to be relatively flat (a slope will throw off the measurement).

Niall C.
  • 20,779
  • 17
  • 92
  • 133
Tester101
  • 131,561
  • 78
  • 320
  • 610
  • 13
    +1: Unless the slope is continuous for the length of the longest shadow, and you measure both shadows on the slope. If the slope is constant then the ratios of the shadows will still work :) – Binary Worrier Jun 21 '11 at 12:15
  • Can't you also use the tree plus shadow, plus angle of tip of shadow to tip of tree to create a triangle and figure it out that way? – JD Isaacks Jun 21 '11 at 12:59
  • 6
    @John Isaacks: Trying to avoid angles, as they are difficult to measure without proper equipment. – Tester101 Jun 21 '11 at 13:11
  • 1
    This must be hard to do at night or in the rain... sorry,hehe, couldn't resist. my devil horns are out. – shirlock homes Jun 21 '11 at 20:12
  • 7
    @shirlock I mentioned you have to do it on a sunny day, besides whose measuring trees in the rain? – Tester101 Jun 21 '11 at 20:26
  • This also wouldn't work to well if other trees or buildings were interupting the shadow, but otherwise this is a great idea. – hortstu Sep 21 '13 at 18:34
  • @BinaryWorrier - The slope does not have to be continuous at all. What happens between the base of the tree and the tip of it's shadow is irrelevant. What is necessary is that the slope of the (imaginary) line between the base of the tree and the tip of the tree shadow is the same as slope of the imaginary line between your feet and the tip of your shadow. – mike Oct 01 '13 at 03:39
  • How long is your shadow at noon? You won't get a shadow past the drip line of the tree. Furthermore and moreover, shadows change throughout the day. You'd have to measure both shadow lengths at the same time or introduce rotational error. – Jules Bartow Jul 18 '16 at 23:46
  • @JulesBartow The noon shadow would depend on where in the world you are, and what time of year it is. And yes, you'd have to measure the shadows at the same time. – Tester101 Jul 19 '16 at 03:06
70

Take a pencil, move some meters away from the tree. Outstrech your arm and hold the pencil so that you can measure the height of the tree on the pencil with your thumb. Then turn the pencil at the bottom of the tree by 90 degrees. Note where the distance measured by thumb hits the earth and measure the way from this point to the tree. This is the height of the tree.

samthebrand
  • 235
  • 5
  • 9
  • 40
bennymo
  • 809
  • 5
  • 2
  • 17
    I can't make heads or tails of this suggestions :/ – Alain Jun 21 '11 at 12:35
  • 9
    Start with the pencil upright -- top aligned with the tree top, bottom marked by your thumbnail. Turn it horizontal, line the trunk up with your thumbnail and the end of the pencil marks the exact hight of the tree. It's just a giant compass. – pboin Jun 21 '11 at 15:55
  • 4
    bennymo is just transferring the measurement of the tree from the vertical where you can't reach to two known points on the ground that you can measure using a pencil (or a stick would do). – BMitch Jun 21 '11 at 21:43
  • 3
    Love this option. Simple and fairly accurate and not requiring the math ;o) – DA01 Jun 24 '11 at 00:44
  • When I learned this it was called the "tree felling" method. – Pete Becker Mar 07 '13 at 14:38
  • This is a method that we would teach the Boy scouts in our neighborhood. It won't necessarily get you down to the inch accuracy, but it's pretty good for getting a close estimate. – Scott Ramboz Feb 06 '17 at 20:23
57

You can do this with some basic trigonometry (bring your calculator), if you have a way of measuring the angle (eg, using a digital protractor, laser level that has a protractor/angle tool, angle ruler, etc).

illustration of using trigonometry to measure tree on slope ground, viewer is not level with tree.

  • D is the distance between you and the tree
  • a is the angle to the top of the tree
  • b is the angle to the bottom of the tree (if you do it from the ground, you don't need to bother with measuring b)

So then you just use the tan button on your calculator to find:

  • A = Tan a * D
  • B = Tan b * D
    • (you can also just estimate/measure B directly - if you're standing on level ground with the tree, it's the height of your eyes or wherever you measured the angle from)
  • Height = A + B

This method also works even if you are standing on ground that's at a different height than the base of the tree - eg, you can be on a hill, standing with your eye-level half-way up the tree and it will still work.

(from http://sylva.org.uk/oneoak/tree_facts.php)

gregmac
  • 29,050
  • 16
  • 86
  • 160
  • 1
    +1 for the most precise answer without cutting off all the branches and dropping a tape measure from the top. – Alain Jun 21 '11 at 12:38
  • 6
    Great answer, but seems a little silly to calculate B when you could just as easily measure that (or estimate it and be within 1-2 feet margin of error) – JohnFx Jun 21 '11 at 20:09
  • 1
    Yes, I basically had the same answer, but said to add your height to the calculated height if you were standing when taking the angle measurement. – KeithS Jun 21 '11 at 22:36
  • 1
    @JohnFx - agreed, if you are on flat ground with the tree. If you are on a hill, with the base of the tree below you, this method still works. – gregmac Dec 23 '11 at 04:44
  • 14
    cough treegonometry – Ambo100 Jan 11 '12 at 20:32
24

Man there are some great answers here. I found one more on another site that I'll add for the sake of anyone else visiting this question.

The Digital Camera Method

  1. Get a piece of PVC pipe of known length (10' seems easiest).
  2. Mark at measured intervals (to your desired precision) on the pipe.
  3. Tie the pipe to the base of the tree or have someone hold it.
  4. Take a picture of the tree, standing as far away as you can, but zooming in as needed to make the tree the full height of the frame.
  5. Using a photo editing tool, copy the pipe in the photo and paste it on top of itself (stacking them virtually) to see how many it takes to equal the tree.
svick
  • 103
  • 3
JohnFx
  • 4,682
  • 14
  • 43
  • 50
  • 10
    You'll lose accuracy on this with tall trees. For example, compare the height of floors of a tall building in a picture taken from the ground. The building doesn't really get smaller at the top. – BMitch Jun 21 '11 at 21:38
  • 1
    That's unless you happen to have a tilt-shift lens which provides perspective corrected images. http://en.wikipedia.org/wiki/File:Bashford_views_-_perspective_control.jpg – Mark Renouf Jun 26 '11 at 13:13
  • 5
    You should change '4' to be: Take a picture of the tree, standing as far away as you can, but zooming in as needed to make the tree the full height of the frame. - This reduces errors induced by the perspective. – quamrana Jun 26 '11 at 15:35
  • 2
    @quamrana good suggestion, I updated the answer as you described. – JohnFx Jul 01 '11 at 14:41
  • wide angle lens? :) – garik Mar 10 '13 at 08:15
19

You might also try one of the existing smart phone applications like this one: Smart Measure

mfloryan
  • 291
  • 1
  • 3
  • This actually seems to work pretty well. I first tried it on some relatively tall objects of known height and it had decent accuracy. Thanks! – JohnFx Jul 01 '11 at 14:42
  • I use Smart Measure, and it seems to work pretty well at calculating my friends' heights. I haven't tried it on a large scale object that I knew the height of though. – Doresoom Dec 19 '11 at 15:21
13

A second option to the shadows, use a level mirror and some geometry:

  1. Fill a black pan with water, this makes a great mirror during the day (it's best you don't use your wife's best pan for this)
  2. Place pan a known distance from the tree, call the distance from the middle of the pan to the tree B1 in the equations
  3. Stand back from the pan until you see the top of the tree in the middle of the reflection. Measure from your eye level to the ground, straight down, can call it A2. From that point on the ground to the center of the pan is B2.
  4. You now have two right angle triangles that are proportional and only one unknown, the tree height (A1). A1/B1 = A2/B2 or A1 = A2 * B1 / B2. Or back in English, the tree height is your height times the distance from the pan to the tree divided by the distance from you to the pan.

For example, if you're eyes are 6' above the ground, the pan is 40' from the tree, and you stand 5' back from the pan, you get 6 * 40 / 5 or a 48' tree. For more accurate measurements, get yourself on top of a step ladder or some other high point.

Note that if you can't determine how level the ground is between you and the pan, you may be better off measuring from eye level to the pan and then do some geometry to get your height above the pan (A2 = square root(eye to pan squared / pan to foot squared)).

BMitch
  • 42,865
  • 14
  • 93
  • 200
  • FWIW, the formula would be more accurate if it used the height of your eyes above the water surface, as opposed to above the ground. – mike Sep 30 '13 at 22:06
10

Just use balloon with string or rope. Fill up balloon with smoke from cigarette (hot air), for example, or light gas: helium.
Measure the length of string.

garik
  • 223
  • 2
  • 9
  • how do you know how much string to let out? – mike Sep 30 '13 at 22:07
  • 1
    @mike use any of high voted answers to this post :). It's a funny solution. It depends on string weight, balloon, wind...It's boring of using formulas for me. :) Have a nice day, Mike. – garik Oct 01 '13 at 07:19
6

just take a picture of the tree with some objects you know the height of in it (such as your wife of your neighbour). Then simply measure the height in pixels of known object and compare with tree.

[Height of tree] = [pixels of tree] * [known height] / [known height pixels]

If you compare multiple objects, average results. The more "known" objects, the closer to the base of the tree, the better the result.

Jean
  • 61
  • 1
5

Use a yard-stick.

Walk up to the tree. Tie two ribbons around the tree, one at the base and the other as high as as possible. Measure the distance between the ribbons. Walk away from the tree. Face the tree. Hold the yard-stick plumb at arms length such that:

  1. the 0" mark is aligned at the base of the tree, and
  2. the 1" mark is aligned with the marker

Note how tall the tree is on the yard-stick.

The height of the tree is ribbon distance multiplied by yard stick measurement. If the ribbons are 70" apart, and the yardstick measurement is six and an eighth inches, then the height of the tree is 70 x 6.125 = 429 inches = 36 feet.

To obtain the 0-1 alignment:

  1. walk towards or away from the tree, or
  2. move the yard-stick closer or farther away from yourself, or
  3. tilt the yard-stick forward or backwards.

A ruler, tape measure, sheet of graph paper, sheet of lined notebook paper, or any object/straightedge with containing regular intervals, such as an egg-crate, piece of chicken wire, page of text such as page of newspaper, sheet of unfolded copy paper that had been folded in half repeatedly, venetian blinds ... will suffice for the 'yard-stick'.

Instead of the ribbons, one could lean a pole, or 2x, or ladder or use select low tree branch.

mike
  • 3,040
  • 18
  • 30
5

Some basic trigonometry can tell you:

Measure the distance between you (or any point of reference from which the tree is close and relatively visible) and the base of the tree.

From the same point of reference, measure the angle in degrees between the ground and the top of the tree. A sextant is the correct tool for the job; if you have access to surveying tools you should be able to get a real one, or you can fake it by sighting down a level with an adjustable-angle bubble, or build a sextant using a straw, a protractor, and a weighted string.

By definition, tan(theta) = height/distance. So, height = tan(theta) * distance. When using your calculator, make sure it's set to calculate sin/cos/tan in degree mode, not radian mode.

Add your height to the number you get, if you were standing at the point of reference instead of lying prone, and that's as close as you'll get without climbing the tree to its top and dropping a plumb line.

KeithS
  • 14,187
  • 7
  • 43
  • 73
5

get a clear pipe and use level of water. Measure height at which you see water level from ground = tip of tree. For 2-3 points as far apart on your terrace as possible roughly on the same line as you want your antenna to be. Use basic trigo.

benefits over other methods: No need to know the distance between tree and home No need to know height of home. You know the height of pole you need, no need to know the height of tree :D

4

Use an open container of water, such as a bucket, the easy way.

When standing, measure the height of your eyes, say 63". Fill a container with water, then measure the water depth, say 8". Subtract the two (55").

Walk away from the tree and find the spot where the reflection of the top of tree is in the center of the bucket when the bucket is on the ground and you are standing 55" away from the center of the bucket. This sets up 45 degree angles.

The bucket is now as far away from the tree as the tree is tall, assuming your feet are at the same elevation as the tree base. (If not, then the bucket is now as far away from the tree as the top of the tree is above your feet)

mike
  • 3,040
  • 18
  • 30
  • sounds good assuming you are standing at the same height as the tree. Or said another way, when you use this technique, the spot you are standing on is your zero-height reference. – skiggety Sep 05 '14 at 16:40
4

As a generalization of shirlock's method, when you can't move far enough away for the same-length-of-your-arm trick to work, but you can still move far enough away to see the top of the tree:

If you know the height of a vertical member that looks the same height as the tree (H1), your distance to the vertical member (D1), and your distance to the tree (Dt), then the height of the tree (Ht) is a simple ratio:

Ht / Dt = H1 / D1

Which leads to:

Ht = Dt * ( H1 / D1 )

And of course, in shirlock's test, (H1/D1) = 1, so for that case, it simplifies to

Ht = Dt

I personally find this to be much easier than trying to measure an angle, even if you have a transit.

Joe
  • 7,276
  • 1
  • 29
  • 47
3

illustration of how to measure tree using proportions

It's Easy.

Let's consider the height of the tree is x. Measure the shadow length of x.

Take a Stick and measure it's height. Measure it's shadow too. Let's say stick is "y" tall and it's shadow is "b" long.

Do the proportion. y:b::x:a. We need to find x. Do Y*A. Divide that answer with b. That answer is x and therefore it is the height of the tree.

A.Suresh
  • 31
  • 1
3

Climb the tree with an length of ethernet cable or fiber optics. Cut the cable/fiber at the bottom and terminate. Use a $15,000 Fluke Versiv cable/fiber certifier with a Time Domain Reflectomer (TDR) or Optical TDR to measure the height within a couple of wavelengths.

Jules Bartow
  • 239
  • 2
  • 4
2

Foresters use a clinometer to determine the height of a tree. Since another answer mentioned the use of a phone, I looked to see if a clinometer app was available for my iPhone. There are several and one has a very strong 5 rating. Good luck.

2

Use an open container of water, such as a bucket, the ABC way.

Set the bucket down a good ways away from the tree. Stand back from the bucket, positioning yourself such that the top of the tree is reflected in the middle of the bucket.

A. measure the distance from the tree to the bucket
B. subtract water depth from eye height
C. measure how far away you are from the middle of the bucket

The height of the tree is approximately: A x B / C

For better accuracy, repeat the measurements and calculations with the bucket moved to a new spot as far away from the tree as the calculated tree height.

mike
  • 3,040
  • 18
  • 30
0

Use a Rock: (For quick results skip to NOTE)

I had one that was more for fun than anything else. You can use a rock (Assuming that the height of the tree is within throwing distance, you can choose a small rock) and use the 1 dimensional kinematic equations from classical mechanics.

That might sound kind of scary, but really just throw the rock as hard as you can and start counting seconds, and when you see it reach the top of the tree, and record this time.

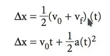
You can then use the equations: Equations

Where delta x is the height of the tree, v0 is initial velocity, vf is final velocity (Which is 0 since it stops at the height of the tree, or approximately the height of the tree), and t is the time you measured to get to the top, which you have from counting. You have two equations and two unknowns (delta x and v0), you can solve this by substitution, elimination, or by matrix algebra (RREF) to get the height of the tree). NOTE: the height of the tree will be in meters, you know, the better format :D

NOTE: That's the complicated way, the simple way, after derivations is reduced to: Reduced Kinematics

We see that the result is easy to compute in your head, it's: Final Function So, if the rock takes 2 seconds to stop in the air, it went a height of approximately: 5 * 2^2 = 20m

Sarah Szabo
  • 621
  • 4
  • 15
  • 29
0

Use a Drone! (or a Kite or a Balloon)

This seems rather obvious, but if you fly a gps unit to the top of the tree, you can subtract the altitude of the base of the tree and determine the tree's height.

The drone is by far the easiest method: measure the altitude of the base of the tree while setting up the drone, press the up button until your drone is hovering over the tree, and read off the altitude.

This method is probably the fastest if you have multiple trees you need to measure.

gbronner
  • 5,573
  • 1
  • 17
  • 47
  • Consumer grade GPS isn't accurate to more than 5m for altitude. You may be able to do this with a quadcopter equipped with a barometer and thermocouple, but I'm still not sure you'd end up with high enough accuracy. – Doresoom Oct 07 '14 at 16:15
  • True, but you can buy this gadget: http://gizmodo.com/cheap-drone-gps-unit-is-100-times-more-accurate-than-y-1055906323 and get it to a few centimeters. – gbronner Oct 07 '14 at 19:15
  • 3
    While your method is technically feasible, you'll have to already have a $300-500 quadcopter AND spend $900 on a super accurate GPS module. I think I'll just use a stick the same length as my arm. – Doresoom Oct 07 '14 at 19:37
  • The advantage is that it works for many different kinds of trees. I have an entire forest full of overlapping broad-branched trees, and getting a clear view of the top of any tree is difficult, especially in summer, when they all have leaves.

    You could also have the drone pick up a monofilament line and measure the length of that, but that's quite a bit trickier.

    – gbronner Oct 07 '14 at 19:46
  • 2
    The real advantage is that you now have a drone after you are done measuring the tree. – JohnFx Oct 20 '15 at 19:34
0

To augment other answers, if you need to know the angle towards something in front of you like a tree or a house or a hill or whatever, you can use the stars or other celestial bodies or even satellites. They all have a specific angle (altitude) at which they appear at a certain time from a certain spot on Earth. It can give you a high precision measurement without any tool. Maybe just the internet to figure out the values in planetarium software of websites.