36

It's very widely reported (including here) that the food temperature "danger zone" is between around 40°F (4.4°C) and 140°F (60°C) and that if perishable food is at this temperature for longer than 4 hours it should be discarded. In fact this is literally the FDA's recommendation. On the other hand, under 40°F (4.4°C) seems to be considered safe for most foods for a few days or more and I've read that food kept over 140°F (60°C) (such as in smokers, slow cookers, etc.) is safe effectively indefinitely.

Common sense tells us these boundaries can't literally be as hard as they are sometimes made out to be. It can't be the case that 39°F (3.9°C) and 141°F (60.6°C) are safe for days or even indefinitely, but 40-140°F (4.4-60°C) is only safe for 4 hours. Or that 3:59 hours at 75°F (23.9°C) is perfectly safe but 4:01 hours at 41°F (5°C) isn't. Can it?

So are there more granular guidelines or data out there that can guide us on food safety objectively (e.g., bacteria growth rate or similar) as a function of both temperature and time? I'm thinking of something along the lines of the salmonella pasteurization guidelines which, if you follow them, allow you to cook chicken at much lower than 165°F (73.9°C), for example, provided you maintain that temperature for sufficient time. For refrigeration temperature unfortunately I have not been able to find anything other than the typical binary guidelines.

If I'm wrong and the issue is in fact binary, I'd love to better understand why.

Peter Moore
  • 737
  • 4
  • 14

3 Answers3

52

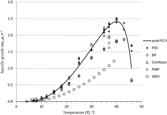
You are absolutely right, it's not binary at all. Bacterial growth doesn't magically accelerate at 40°F, the difference in growth rate between 39.9°F and 40.1°F is extremely small. I'm going to switch to C now as that's the metric system and it's going to get science-y. 40°F is 4.5°C.

This is the e-coli bacteria growth curve by temperature.

enter image description here
Source: Effect of salt and temperature on the growth of Escherichia coli PSII

I couldn't find a less complex image that was public domain, just ignore all the dots as the curve is the point. You can see that at 4°C the growth rate is extremely slow, and at 10°C it's somewhat faster but still pretty slow, but then as the temperature rises the growth rate goes up significantly until it tops out at about 38°C before swiftly falling as it gets above 40°C.

Say your house is 20°C, and you leave food out at that temperature for 2 hours. Is it safe? Maybe, but it depends on a lot of factors, like the bacterial load in the food before it was warmed to that temperature. Remember, foods aren't always starting from zero. If you have a bit of e-coli in the food already then you could end up with a substantial amount, maybe enough to make someone sick.

Listeria, botulism, staph and all those other wonderful little organisms which people get sick from have their own curves which are roughly similar in that they all have a happy zone, die at high temperatures and replicate very slowly below 5°C.

Can you use a scientific approach and these curves to know when food is safe? No, unless you have a laboratory and know the microbial starting point of these foods, as well as calculate the effects of salt, sugar and other ingredients that can increase or decrease growth rates, for each foodborne illness microbe. Even then all you have is a replication rate, you'd then have to factor human resistance to foodborne pathogens, which varies significantly from person to person, and that an individual's ability to tolerate a pathogen varies significantly depending on the state of their immune system.

You can use the data to make risk based decisions, i.e. leaving food out at 10°C is much less likely to make you sick than leaving it out at 30°C, but there's still no guarantees.

The FDA's recommendation is so cut and dried in order to keep it simple. Not everyone has the education, inclination or the time to figure this out. When you consider that the difference between 20 and 25°C nearly doubles the growth rate of e-coli the risks of making the wrong calculations can lead to serious consequences, and that there are at least another 12 foodborne illnesses to factor into your calculations it makes much more sense.

Velvet
  • 213
  • 2
  • 9
GdD
  • 78,732
  • 3
  • 145
  • 260
11

Neither is it binary, nor is there a formula.

is there a more scientific guideline out there that somehow measures safety objectively

No, there isn't, and there isn't anything that could be objectively measured, much less calculated with a formula.

The most relevant thing that can be determined in numbers (and by observation rather than by formula) are bacterial growth rates under well-defined conditions. So, let's say that you know the growth rate of an average strain of E. Coli in medium, dependent on temperature. You look up the rate at 4 C and 4.1 C and ... what? This information is woefully insufficient for anything, certainly not for calculating the number of Salmonella in a piece of meat sitting in your refrigerator when you get it out and eat it. And not even this is the number you'd want - I suppose you were imagining more something like a numerical value for the probability that you get sick. Which is in no way attainable.

And even if you were imagining the "probability that I get sick" number, so what? Safety, in its idealized form, isn't a probability, it's the assertion that the probability of a negative event is lower than an acceptable threshold. Where do you get such a threshold? If you knew, "If my meat was kept at 4 C, my chance of food poisoning is 0.00245%, and if it was kept at 4.1 C, it's 0.00319%", how do you decide which if 0.00319% is still OK? Yes, you could just say "anything under 1% is fine with me", but that would be again an absolutely arbitrary boundary.

And for a regulatory agency, it wouldn't be sufficient to have a formula telling them that "if food is kept at X degrees, the number of people getting sick will be within Y percent point of a predefined threshold". Rather, they'd have to take into account (if they wanted numerical precision) that, once they issue that rule, not everybody will follow it. Fridges set at 4 C vary around 4 C, but don't stay at that temperature all the time. Some even vary around 4.1 C or even 5 C, if their thermostat is really bad. And then people will sometimes just not follow the rules - and whether they follow them will also depend on how they're stated.

For all these reasons, setting the food safety rules is a legal process. The agency takes the available information into account. It will hopefully have scientists create complex predictive models for a few different scenarios. These models will not be "a formula", but huge calculations ran on supercomputers, just like weather forecast models or the covid forecast models you might have encountered during the pandemic. All of them will give different results for the risk, and maybe for other variables like projected healthcare costs, or lost economic utility from missed workdays*. Then there will be all kind of stakeholder wishes and practical problems to consider. Imagine that tomorrow, an updated model projects that the healthcare costs would be 30% less if the rule was changed to 3.8 C. Can you imagine the outcry from the restaurant lobby who'd have to replace all their fridges?

So, what they do is to make a reasonable decision, but not based on precise numbers. The resulting rule doesn't measure safety (as explained above, there isn't any natural number that would be measureable anyway), it defines safety. It's a state act, much like drawing a border defines where France ends and Germany begins, rather than somehow objectively finding out where in nature, France ends and Germany begins. Mostly because safety, especially in the meaning used by food agencies, is a concept from the legal sphere and at best the social sphere, not from the sphere of the natural sciences.

This is not to say that you can't find quantitative information on the risk of food poisoning. There are all kinds of objective information, including numerical information, about bacterial growth, risk and incidence of food poisoning, and so on. What doesn't exist is a way to transform this sea of information into the knowledge of "if I eat meat that was held at 4.1 C instead of 4, I know what will happen differently."


* I'm describing how a government would act nowadays. I don't know if this is what was done historically when the FDA came up with the 4 C, since this kind of mathematical modelling wasn't feasible for most of the 20th century.

rumtscho
  • 141,844
  • 47
  • 316
  • 579
4

My assumption is that the guidelines are set based on outcomes, as opposed to growth vs temperature for any given bacteria, fungus, or other agent.

e.g., "When we set the guideline at X, how many people get sick, and is that an acceptable rate?"

This has the effect of just removing any dependency upon food or agent. This makes sense. Trying to to better just makes things too complicated. To determine if my chicken salad is going to make me sick, I don't want to be thinking about stuff like what percentage of my chicken salad is mayonnaise, moisture content of my salami, and what particular strains of bacteria are likely to be present. People would just get this wrong all the time.

Scott Seidman
  • 367
  • 1
  • 10