Reacción de Chugaev

En química orgánica, la reacción de Chugaev es una reacción que implica la extracción de agua a partir de alcoholes produciendo alquenos. El nombre viene del químico ruso Lev Aleksandrovich Chugaev (conocido también como Leo Aleksandrovich Tschugaeff), (16 de octubre de 1873 - 9 de octubre de 1922). El producto intermedio de la reacción es una molécula de xantano.

Pasos

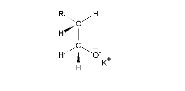
En el primer paso de la reacción, xantato de potasio reacciona con disulfuro de carbono (CS2 en la presencia de iodometano. El electrón sobrante del oxígeno en el xantato se enlaza con el carbono del CS2 haciendo que uno de los electrones del doble enlace del CS2 quede sobrando en uno de los átomos de azufre. Éste electrón forma un enlace iónico con el catión de potasio. Por razones de estabilidad energética, el electrón sobrante del átomo de azufre forma un enlace covalente con el metano e igual el potasio con el iodo. El xantato intermediario es transformado en un tioéster.

Finalmente, a altas temperaturas los electrones se arreglan de tal modo que el electrón en el doble enlace S=C hace un nuevo enlace con el hidrógeno del carbono distal al oxígeno. El electrón que formaba el enlace CH, roto por el electrón del azufre es el que forma el doble enlace del futuro alqueno con el carbono vecino. Para que ello ocurra, uno de los electrones del segundo carbono, el que formaba el enlace CO con el oxígeno forma un doble enlace O=C creando un producto que se descompone en surfuro de carbonilo (SCO) y el asulfurado metanetiol (metilmarcaptano).

Chugaev startAnimGif

Este artículo ha sido escrito por Wikipedia. El texto está disponible bajo la licencia Creative Commons - Atribución - CompartirIgual. Pueden aplicarse cláusulas adicionales a los archivos multimedia.