Osazona

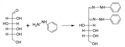
Las osazonas son una clase de derivados de carbohidrato encontrados en química orgánica. Se forman cuando los azúcares reaccionan con fenilhidrazina. Emil Fischer desarrolló y usó la reacción para identificar azúcares cuya estereoquímica difería por solo un carbono quiral. La reacción involucra la formación de un par de funcionalidades fenilhidrazona, concomitante con la oxidación del grupo hidroximetileno adyacente al centro formilo. La reacción puede ser usada para identificar monosacáridos. Involucra dos reacciones. Primero, la glucosa con la fenilhidrazina producen glucosafenilhidrazona por eliminación de una molécula de agua del grupo funcional. El siguiente paso involucra la reacción de un mol de glucosafenilhidrazina con dos moles de fenilhidrazina (exceso). Primero, la fenilhidrazina está involucrada en la oxidación del carbono alfa a un grupo carbonilo, y la segunda fenilhidracina involucra la remoción de una molécula de agua con el grupo formilo del carbono oxidado, y formando el enlace carbono-nitrógeno. El carbono alfa es atacado aquí porque es más reactivo que los otros. Son compuestos altamente coloreados y cristalinos, y pueden ser detectados fácilmente.
