Valores predictivos
Los valores predictivos (positivo y negativo) miden la eficacia real de una prueba diagnóstica. Son probabilidades del resultado, es decir, dan la probabilidad de padecer o no una enfermedad una vez conocido el resultado de la prueba diagnóstica. Se trata de valores post-test y dependen de la prevalencia de una enfermedad, es decir, del porcentaje de una población que está afectada por esa determinada patología.
¿Por qué son útiles los valores predictivos? La sensibilidad, especificidad y AUC (área bajo curva) son valores intrínsecos al test diagnóstico. Esto quiere decir que son valores teóricos, que no varían entre poblaciones y, por tanto, no tienen utilidad práctica por sí solos. En cambio, los valores predictivos (positivo y negativo) son índices que evalúan el comportamiento de la prueba diagnóstica en una población con una determinada proporción de enfermos por lo que sirven para medir la relevancia de la sensibilidad y especificidad en una determinada población.

- Valor predictivo positivo (PV+): probabilidad de tener la enfermedad si el resultado de la prueba diagnóstica es positivo.
- Valor predictivo negativo (PV-): probabilidad de no tener la enfermedad si el resultado de la prueba diagnóstica es negativo.
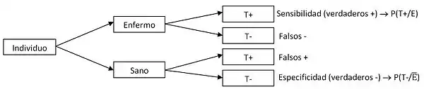
Definición estadística
En términos estadísticos, las pruebas diagnósticas se explican según el Teorema de Bayes.

Siendo E: estar enfermo, P(E): probabilidad de estar enfermo (prevalencia de la enfermedad), T+: resultado positivo en la prueba diagnóstica y T-:resultado negativo en la prueba diagnóstica.
Cálculo de los valores predictivos a partir de la sensibilidad (SE), la especificidad (SP) y la prevalencia (P).
- Valor predictivo positivo:
- Valor predictivo negativo:
Dependencia de los valores predictivos y la prevalencia
En líneas generales:
- Si la prevalencia de una determinada enfermedad en una población es baja, el valor predictivo positivo (PV+) tiende a ser bajo, ya que al haber una mayor número de personas sanas, se incrementa el número de falsos positivos. Es decir, si solo un porcentaje bajo de la población está afectado, un resultado positivo en una prueba no es concluyente por lo que había que hacer reconfirmar el resultado con una segunda prueba independiente.
- Si la prevalencia de una enfermedad es muy elevada (por ejemplo, en poblaciones de alto riesgo) el valor predictivo negativo tiende a bajar pues, al haber un mayor número de personas enfermas, aumenta el número de falsos negativos.
A modo de ejemplo, suponiendo una prueba diagnóstica de SP = 99% y SE = 99% y partiendo de una población de 10 000 individuos, se calcularán los valores predictivos positivo y negativo teniendo en cuenta distintas prevalencias.

Problemas con los valores predictivos positivos y negativos
Otros factores individuales
Debido a la dependencia de dichos valores respecto a la prevalencia, se ha propuesto estandarizar la prevalencia del P(E/T+) a un 50%.[1] Es necesario tener en cuenta que el uso de dichos valores, tanto positivo como negativo [P(E/T+) y P(E-/T-)], debería realizarse cuando la prevalencia es coherente con el grupo de pacientes analizados. Si la prevalencia de una población no se mantiene en una muestra concreta, es más apropiado utilizar los valores predictivos independientes de dicho valor (PV+ y PV-).
Cuando un individuo presenta una probabilidad pre-test (probabilidad de presentar una enfermedad antes del diagnóstico) diferente a la de la muestra utilizada para calcular los valores predictivos, se debería aislar un grupo de individuos con dicha probabilidad para establecer valores predictivos exclusivos de esa muestra. Obviamente, este proceso es bastante difícil de llevar a cabo a causa de la falta de individuos para obtener resultados con un grado aceptable de credibilidad.
Enfermedades multifactoriales
Los valores predictivos solo hacen referencia a la predisposición a padecer una determinada enfermedad. Este valor cubre un amplio espectro de casos estudiados, cuyos casos positivos pueden haber sido ocasionados por muy diversos factores. Sin embargo, la presencia de un factor potencial no siempre desencadena la enfermedad, por lo que la precisión de este valor disminuye considerablemente. Para evaluar los tests diagnósticos en los que los patrones han sido realizados teniendo en cuenta solo las causas potenciales que provocan la enfermedad, se puede usar una extensión del valor predictivo denominado valor predictivo etiológico.[2][3]
Referencias
- Heston, Thomas F. (1 de febrero de 2011). «Standardizing predictive values in diagnostic imaging research». Journal of Magnetic Resonance Imaging (en inglés) 33 (2): 505-505. ISSN 1522-2586. doi:10.1002/jmri.22466. Consultado el 16 de diciembre de 2015.
- Gunnarsson, Ronny K.; Lanke, Jan (30 de junio de 2002). «The predictive value of microbiologic diagnostic tests if asymptomatic carriers are present». Statistics in Medicine (en inglés) 21 (12): 1773-1785. ISSN 1097-0258. doi:10.1002/sim.1119. Consultado el 16 de diciembre de 2015.
- «Calculadora de valor predictivo etiológico». Consultado el 16 de diciembre de 2015.
- Altman DG, Bland JM (9 de julio de 1994). «Diagnostic tests 2: Predictive values». BMJ 309 (6947): 102. PMC 2540558. PMID 8038641.