Uridina difosfato
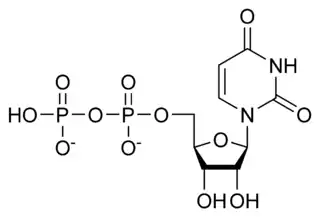
La uridina difosfato, abreviada UDP, es un tipo de nucleótido. Se trata de un éster del ácido pirofosfórico con el nucleósido uridina. UDP consta del grupo pirofosfato , la pentosa ribosa, y la nucleobase uracilo.
| Uridina difosfato | ||
|---|---|---|
![]() | ||
![]() | ||
| Nombre IUPAC | ||
| Uridine 5'-(trihydrogen diphosphate) | ||
| General | ||
| Fórmula estructural |
![]() | |
| Fórmula molecular | C9H14N2O12P2 | |
| Identificadores | ||
| Número CAS | 58-98-0[1] | |
| ChEBI | 17659 | |
| ChEMBL | CHEMBL130266 | |
| ChemSpider | 5809 | |
| DrugBank | 03435 | |
| PubChem | 1158 | |
| UNII | 5G0F599A1Y | |
| KEGG | C00015 | |
| Propiedades físicas | ||
| Masa molar | 404,161 g/mol | |
| Valores en el SI y en condiciones estándar (25 ℃ y 1 atm), salvo que se indique lo contrario. | ||
Este artículo ha sido escrito por Wikipedia. El texto está disponible bajo la licencia Creative Commons - Atribución - CompartirIgual. Pueden aplicarse cláusulas adicionales a los archivos multimedia.


