Tocoferol
El tocoferol es el nombre de varios compuestos orgánicos conformados por varios fenoles metilados, que forman una clase de compuestos químicos llamados tocoferoles de los cuales varios actúan como Vitamina E. Debido a su actividad de vitamina, el primer tocoferol fue identificado por primera vez en 1936 a partir de la actividad de un factor dietético de fertilidad en ratas, y se le llamó así por la combinación de las palabras griegas “τόκος” [nacimiento], y “φέρειν” [tener o llevar], que en conjunto signfican "llevar un embarazo", con la terminación -ol que indica su estatus de alcohol químico.
El alpha-tocoferol es la principal fuente de tocoferol en suplementos y la dieta europea,[1][2] mientras gamma-tocoferol es la forma más común en la dieta estadounidense. Los tocotrienoles, que son compuestos relacionados, también tienen actividad de vitamina E. Todos estos diversos derivados con actividad de vitamina podrán denominarse correctamente como "vitamina E." Los Tocoferoles y tocotrienoles son antioxidantes liposolubles pero también parecen tener muchas otras funciones en el cuerpo.
Formas
La vitamina E existe en al menos 16 diferentes formas, cuatro tocoferoles, cuatro tocomonoenoles, cuatro tocotrienoles y cuatro (?). Todos incluyen un anillo cromanol (d), con un hidroxilo que puede donar un átomo de hidrógeno para reducir radicales libres y una Cadena lateral hidrofóbica que permite la penetración en membranas biológicas.
Los tocoferoles, tocomonoenoles y tocotrienoles se dan tanto en formas alfa, beta, gamma, determinadas por el número y la posición de grupos metil en el anillo de cromanol.
Los tocotrienoles tienen la misma estructura de metilo en el anillo y la misma notación metil de letras griegas, pero se diferencian de los tocoferoles análogos por la presencia de tres dobles enlaces en la cadena lateral hidrofóbica. La insaturación de las colas da tocotrienoles les da a los tocotrienoles un único carbono estereoisómero (y por tanto dos isómeros posibles por fórmula estructural, uno de los cuales se produce naturalmente), mientras que los tocoferoles tienen 3 centros (y ocho posibles estereoisómeros por fórmula estructural, una vez más sólo uno de los cuales se produce naturalmente).
Cada forma tiene actividad biológica ligeramente diferente.[3] En general, los l-isómeros antinaturales de tocotrienoles carecen de casi toda actividad de vitamina, y también la mitad de los posibles 8 isómeros de los tocoferoles (aquellos con quiralidad 2S en el cruce de anillo-cola) carecen de actividad de vitamínica. De los estereoisómeros que mantienen actividad, metilación aumentada, especialmente metilación total a la forma de alpha, aumenta la actividad de la vitamina. En tocoferoles, esto es debido a la preferencia de la proteína tocofrol (en inglés tocophrol) para la forma alfa-tocoferol de la vitamina.
Las siguientes tablas muestran la fórmula química de los 4 tocoferoles:
Alfa-tocoferol
| α-Tocoferol[4] | ||
|---|---|---|
![]() | ||
| Nombre IUPAC | ||
| (2R)-2,5,7,8-tetrametil-2-[(4R,8R)-4,8,12-trimetiltridécil]-3,4-dihidrocroman-6-ol | ||
| General | ||
| Fórmula molecular | C29H50O2 | |
| Identificadores | ||
| Número CAS | 59-02-9[5] | |
| ChEBI | 27013 | |
| DrugBank | 11251 | |
| PubChem | 14985 | |
| UNII | R0ZB2556P8 | |
| Propiedades físicas | ||
| Apariencia | Polvo blanco | |
| Densidad | 950 kg/m³; 0,95 g/cm³ | |
| Masa molar | 430,71 g/mol | |
| Propiedades químicas | ||
| Solubilidad en agua | baja en agua | |
| Solubilidad | liposoluble | |
| Familia | Tocoferoles | |
| Valores en el SI y en condiciones estándar (25 ℃ y 1 atm), salvo que se indique lo contrario. | ||
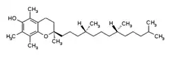
El α-Tocoferol (denominado también como alfa-tocoferol, e incluso a-tocoferol en caso de problemas con caracteres griegos) es un antioxidante de origen natural de la familia de los tocoferoles.[6] cuando se refiere a la forma natural es el estereoisómero dextrógiro denominado D-Alfa-tocoferol, mientras que el sintético es el DL-Alfa-Tocoferol. Cuando se emplea en la industria alimentaria se suele codificar como: "E 307". El α-Tocopherol es considerado una forma de vitamina E que se absorbe y se acumula en el cuerpo humano.[7]
Propiedades
El alfa-tocoferol es un antioxidante que posee la propiedad de proteger a los ácidos grasos poliinsaturados de las membranas y otras estructuras celulares de la peroxidación lipídica. Por ello, es la forma de vitamina E que preferentemente se absorbe y acumula en los seres humanos.[8] La medición de la actividad de "vitamina E" en Unidades Internacionales (UI) se basa en la mejora de fertilidad en la prevención de abortos espontáneos en ratas embarazadas en relación con el alpha-tocoferol.
Es muy poco soluble en agua, alcanzando mayores grados de solubilidad en aceites. En forma sintética, como aditivo alimentario, lleva el número E E-307.
Entre las formas sintéticas, destaca el Tocoferol acetato, un éster del ácido acético y el tocoferol(para la forma 'α'), el cual se usa como una alternativa estable a las formas naturales de tocoferol; ya que el grupo hidroxilo fenólico en esta forma está bloqueado, lo que proporciona un producto menos ácido y con una vida útil más larga, al no oxidarse.[9]
Beta-tocoferol
| β-Tocoferol[4] | ||
|---|---|---|
![]() Estructura del β-tocoférol | ||
| Nombre IUPAC | ||
|
(2R)-2,5,8-trimetil-2- (4,8,12-trimetiltridecil)- 3,4-dihidrocroman-6-ol | ||
| General | ||
| Fórmula molecular | C28H48O2 | |
| Identificadores | ||
| Número CAS | 490-23-3[10] | |
| ChEBI | 27013 | |
| DrugBank | 11251 | |
| PubChem | 86052 | |
| UNII | R0ZB2556P8 | |
| Propiedades físicas | ||
| Masa molar | 416.68 g/mol g/mol | |
| Propiedades químicas | ||
| Solubilidad en agua | baja en agua | |
| Solubilidad | liposoluble | |
| Familia | Tocoferoles | |
| Valores en el SI y en condiciones estándar (25 ℃ y 1 atm), salvo que se indique lo contrario. | ||
β-Tocoferol (beta-tocoferol) es otra de las 4 formas naturales de tocoferol (y por tanto una de las 8 formas naturales de Vitamina E), con fórmula C28H48O2.
Gamma-tocoferol
| γ-Tocoferol[4] | ||
|---|---|---|
![]() Estructura del γ-tocoférol | ||
| Nombre IUPAC | ||
| (2R)-2,7,8-Trimetil-2-[(4R,8R)-4,8,12-trimetiltridecil]-6-cromanol | ||
| General | ||
| Fórmula molecular | C28H48O2 | |
| Identificadores | ||
| Número CAS | 54-28-4[11] | |
| ChEBI | 27013 | |
| DrugBank | 11251 | |
| PubChem | 92729 | |
| UNII | R0ZB2556P8 | |
| Propiedades físicas | ||
| Apariencia | aceite viscoso amarillo pálido | |
| Masa molar | 416.68 g/mol g/mol | |
| Propiedades químicas | ||
| Solubilidad en agua | muy baja en agua (prácticamente insoluble) | |
| Solubilidad | liposoluble, muy alta en acetona, cloroformo, etanol, éter y aceites vegetales | |
| Familia | Tocoferoles | |
| Valores en el SI y en condiciones estándar (25 ℃ y 1 atm), salvo que se indique lo contrario. | ||
γ-Tocoferol (gamma-tocopherol) es otra de las 4 formas naturales de tocoferol (y por tanto una de las 8 formas naturales de Vitamina E), con fórmula C28H48O2. En forma sintética es el aditivo antioxidante E 308.
Delta-tocoferol
| δ-Tocoferol[4] | ||
|---|---|---|
![]() Estructura del δ-tocoferol | ||
| Nombre IUPAC | ||
| (2R)-2,8-Dimetil-2-[(4R,8R)-4,8,12-trimetiltridecil]-6-cromanol | ||
| General | ||
| Fórmula molecular | C27H46O2 | |
| Identificadores | ||
| Número CAS | 119-13-1[12] | |
| ChEBI | 27013 | |
| DrugBank | 11251 | |
| PubChem | 92094 | |
| UNII | R0ZB2556P8 | |
| Propiedades físicas | ||
| Apariencia | aceite viscoso amarillo pálido | |
| Masa molar | 402.65 g/mol g/mol | |
| Propiedades químicas | ||
| Solubilidad en agua | baja en agua | |
| Solubilidad | liposoluble | |
| Familia | Tocoferoles | |
| Valores en el SI y en condiciones estándar (25 ℃ y 1 atm), salvo que se indique lo contrario. | ||
δ-Tocoferol (delta-tocoferol) es otra de las 4 formas naturales de tocoferol (y por tanto una de las 8 formas naturales de Vitamina E), con fórmula C27H46O2. En forma sintética es el aditivo E 309.
Estructura química de los tocoferoles
Aunque la forma mono metilada ddd-gamma-tocoferol es la forma más frecuente de la vitamina E en aceites, hay pruebas de que las ratas pueden metilar esta forma a la alfa-tocoferol preferida, ya que varias generaciones de ratas de laboratorio mantenían ciertos niveles de alfa-tocoferol en sus tejidos, incluso cuando se alimentaban sólo de gamma tocoferol a lo largo de sus vidas.
Hay tres centros estereogénicos en el alfa-tocoferol, así que esta es una molécula quiral.[13] Los ocho estereoisómeros de alpha-tocoferol difieren en la disposición de los grupos alrededor de estos estereocentros. En la imagen de tocoferol RRR-alpha-tocopherol de más abajo, tres estereocentros están en forma R. Sin embargo, si el centro de los tres estereocentros fuese cambiado (por lo que el hidrógeno ahora estaría apuntando hacia abajo y el grupo de metilo apuntando hacia arriba), se convertiría en la estructura de tocoferol RSR-alpha-tocopherol. RSR-alfa-tocopherol y RRR-alfa-tocoferol son imágenes de espejo la una de la otra. Estos estereoisómeros pueden también ser nombrados en una nomenclatura alternativa más antigua, donde los estereocentros están bien en la forma d o l.

1 IU de tocoferol se define como los X miligramos de RRR-alfa-tocoferol (antes llamado d-alfa-tocoferol o a veces ddd-alfa-tocoferol). 1 IU se define también como una mezcla en igualdad de los 8 estereoisómeros, la cual es una mezcla racémica llamada acetato tocoferil. Esta mezcla de estereoisómeros se llama a menudo acetato dl-alfa-tocoferil, a pesar de que más precisamente es acetato dl, dl,dl-alfa-tocoferyl. Sin embargo, 1 IU de esta mezcla racémica no es considerada actualmente equivalente a 1 IU de (RRR) a-tocoferol natural, y el Institute of Medicine y la USDA ahora convierten las IUs de la mezcla racémica a milligramos de RRR equivalente usando la equivalencia 1 IU de mezcla racémica = 0,45 "milligramoss de a-tocoferol".[14]
Usos de los tocoferoles
La función principal de las diferentes variantes de tocoferol es la antioxidante, propia de la vitamina E, por lo cual se deben tomar alimentos que las contengan, o suplementos artificiales. Estos últimos pueden ser total o parcialmente sintéticos. La Vitamina E en suplementos es generalmente vendida como alfa-tocoferil acetato, con una mezcla de ocho estereoisómeros. En esta mezcla, una molécula de alfa-tocoferol en ocho moléculas en forma de tocoferol RRR-alfa-(12,5% del total).una forma que protege su capacidad para funcionar como un antioxidante. La vitamina E es etiquetada siempre en las etiquetas simplemente como dl-tocoferol o acetato de dl-tocopheryl, a pesar de que es (si se escribiese completa) realmente dl, dl,dl-tocopherol. La forma sintética es etiquetada "D, L" mientras que la forma natural es etiquetada "D".[15] La forma sintética sólo es la mitad de activa que la forma natural.[16] La forma sintética, dl, dl,dl-alpha ("dl-alpha") no es tan activa como la forma natural ddd-alpha ("d") tocoferol. Esto es debido principalmente a la actividad reducida de vitamina de los 4 estereoisómeros posibles que están representados por los enantiómeros l o S en el primer estereocentro (una configuración s o l entre el Anillo cromanol y la cola, es decir, los estereoisómeros SRR, SRS, RSS y SSS).[13] Los siguientes aditivos alimentarios son formas comunes de tocoferol agregada a los productos alimentarios que se denotan mediante Número E:
Referencias
- «Tocoferol _ AcademiaLab». academia-lab.com. Consultado el 4 de abril de 2023.
- «La vitamina E podría contribuir al envejecimiento saludable». @nutri-facts. Consultado el 4 de abril de 2023.
- Burton, G. W.; Ingold, K. U. (1981). «Autoxidation of biological molecules. 1. Antioxidant activity of vitamin E and related chain-breaking phenolic antioxidants in vitro». J. Am. Chem. Soc. 103: 6472-6477. doi:10.1021/ja00411a035.
- Merck Index, 11th Edition, 9931.
- Número CAS
- Jack Challem, Melissa Block, (2008), Antioxidantes naturales, Ediciones Nowtilus S.L., pág. 69
- Rigotti A (2007). «Absorption, transport, and tissue delivery of vitamin E». Mol. Aspects Med. 28 (5-6): 423-36. PMID 17320165. doi:10.1016/j.mam.2007.01.002.
- Rigotti, A (2007). «Absorption, transport, and tissue delivery of vitamin E». Molecular Aspects of Medicine 28 (5–6): 423-36. PMID 17320165. doi:10.1016/j.mam.2007.01.002.
- «Linus Pauling Institute Research Report: All About E» (enlace roto disponible en este archivo).
- Número CAS
- Número CAS
- Número CAS
- Jensen, S; Lauridsen, C (2007). «α‐Tocopherol Stereoisomers». Vitamins & Hormones 76: 281-308. PMID 17628178. doi:10.1016/S0083-6729(07)76010-7.
- Composition of Foods Raw, Processed, Prepared USDA National Nutrient Database for Standard Reference, Release 20 USDA, February 2008
- http://www.euroresidentes.com/Alimentos/vitaminas/vitamina-e.htm Euroresidentes - Vitamina E
- https://web.archive.org/web/20110109234552/http://www.nal.usda.gov/fnic/foodcomp/Data/SR18/nutrlist/sr18a323.pdf USDA National Nutrient Database for Standard Reference, Release 18
Véase también
Portal:Alimentos. Contenido relacionado con Alimentos.- Vitamina E
- Tocotrienol
- Carotenos
Enlaces externos
- US Office of Dietary Supplements article on Vitamin E
- Vitamin E risk assessment, Expert Group on Vitamins and Minerals, UK Food Standards Agency, 2003




