Teorema de Routh-Hurwitz
El teorema de Routh–Hürwitz sirve para analizar la estabilidad de los sistemas dinámicos.
Básicamente, el teorema proporciona un criterio capaz de determinar en cuál semiplano (izquierdo o derecho) del plano complejo están localizadas las raíces del denominador de la función de transferencia de un sistema; y en consecuencia, conocer si dicho sistema es estable o no. Si tras aplicar el criterio nos da como resultado que todos los polos están en el semiplano izquierdo, el sistema es estable, y si hay un mínimo de un polo en el semiplano derecho, el sistema es inestable.
El criterio se refiere a la función de transferencia en lazo cerrado del sistema. Para aplicar el criterio a un sistema descrito por su función de transferencia en lazo abierto, hay que incluir la realimentación haciendo:[1]
El criterio de Routh-Hurwitz también se utiliza para el trazado del lugar de las raíces. En este caso, dicho procedimiento de análisis estudia la función de transferencia del sistema en bucle abierto 1+K·Gba(s)=0 (siendo K la ganancia variable del sistema). Su objetivo es determinar los puntos de corte del LdR con el eje imaginario. Dichos puntos marcan el límite de estabilidad del sistema, dicho en otras palabras, determinan el límite en el que los polos del sistema en bucle cerrado pasan al semiplano derecho complejo y por lo tanto el sistema se vuelve inestable. Como es evidente, tras la aplicación del criterio de Routh-Hurwitz, los resultados obtenidos quedarán en función de la ganancia K, lo cual nos indicará a partir de qué valores de K el sistema pasará de estable a inestable (ganancia K límite).
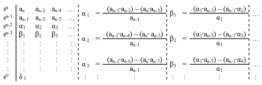
Procedimiento
Dado:
donde G (s) es la ecuación característica de un sistema.

El número de cambios de signo de: an, an-1, α1, β1, …, γ1, δ1 (primera columna resultante del criterio de Routh – Hürwitz), nos da la cantidad de elementos que están en el semiplano derecho. Si todos los elementos tienen el mismo signo, el sistema será asintóticamente estable, en cambio, si encontramos cambios de signo, el sistema será inestable. Como está indicado arriba, tendremos tantos polos en el semiplano positivo como variaciones de signo en la primera columna.
Ejemplo
Ejemplo: G(s) =

Esto nos da como resultado en la primera columna: 1, 5, 2´8, -2´57, 2, con lo que por haber dos cambios de signo, el sistema es inestable por poseer dos elementos (-2,57 y 2) con cambio de signo.
Degeneraciones
Hay dos casos de degeneraciones:
- En la primera, el primer elemento de una fila de la tabla es 0. Esta degeneración se salva sustituyendo el 0 por un “ε” (número infinitesimalmente positivo), y se continúa calculando. Luego a la hora de comprobar los cambios de signo se deja el 0 que sustituimos y donde nos aparezca “ε” calculamos el límite cuando ε tiende a 0.
- En la segunda, toda una fila de la tabla es 0. Esta degeneración se salva montando al polinomio auxiliar de la fila inmediatamente superior a la que nos apareció la fila de ceros. A esta ecuación se le hace la derivada y lo que nos de se sustituye en la fila de ceros, pudiendo así continuar calculando. Al igual que en la anterior degeneración, para comprobar los cambios de signo se deja el 0 que nos apareció.
Si en el denominador de la función de transferencia del sistema tenemos una incógnita, se calcula de igual forma todo el criterio de Routh – Hürwitz y en las filas de la primera columna en la que nos aparezca la incógnita deberá ser su resultado mayor a 0, resolvemos las inecuaciones y cogemos los resultados más restrictivos, siendo estos los que nos determinen que el sistema sea estable.
Finalmente se puede comprobar haciendo Ruffini, y observaremos que en los que nos dio un 0 nos saldrá una par de polos complejos conjugados, si la parte real es negativa el par de polos complejos es estable, sino no se sabe si lo es.
Ejemplos
Ejemplo primera degeneración: G(s) =

Esto nos da como resultado en la primera columna: 1, 1, 0, -α, 3, con lo que por haber dos cambios de signo, el sistema es inestable por poseer dos elementos en el semiplano derecho.
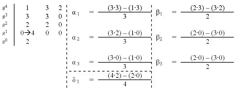
Ejemplo segunda degeneración: G(s) =

Esto nos da como resultado en la primera columna: 1, 3, 2, 0, 2, con lo que la fila 4 es una línea de ceros la cual indica una oscilación permanente, es decir en el límite de la estabilidad.
Comportamiento en el límite de la estabilidad
En el límite de la estabilidad, a través del teorema de Routh podemos saber si el sistema se encuentra en otro estado que no sea estable o inestable, y este es si se encuentras en el límite de la estabilidad, es decir se produce una oscilación mantenida, incluso en estado estacionario esta oscilación se mantendrá.
Esto se produce cuando en nuestra tabla de Routh alguna línea se puede hacer 0 y no haya ningún cambio de signo en nuestra primera columna. En este caso el sistema se encuentra en el límite de la estabilidad, esto representa en el plano complejo dos polos conjugados en el eje imaginarios (sin parte real). Un polo doble en el origen (doble integrador) no sería nuestro caso, ya que un polo en el origen genera inestabilidad. Podemos hallar el lugar de estos polos a través del polinomio auxiliar que obtenemos de la fila superior a la de ceros.

Referencias
- Norman S. Nise. Control Systems Engineering. USA: John Wiley & Sons, Inc. ISBN 0-471-44577-0.
Norman S. Nise. Control Systems Engineering. USA: John Wiley & Sons, Inc. ISBN 0-471-44577-0.