Sesquiterpeno

Los sesquiterpenos o sesquiterpenoides son los terpenos de 15 carbonos (es decir, terpenoides de un monoterpenoide y medio). Como los monoterpenoides, muchos sesquiterpenoides están presentes en los aceites esenciales. Además muchos sesquiterpenoides actúan como fitoalexinas, compuestos antibióticos producidos por las plantas en respuesta a la aparición de microbios, y como inhibidores de la alimentación ("antialimentario") de los herbívoros oportunistas.

Biosíntesis

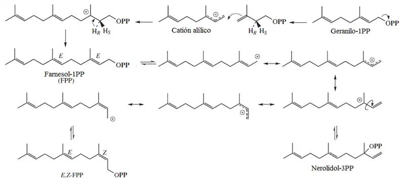
Los esqueletos de sesquiterpenos provienen de un precursor común: el pirofosfato de farnesilo:[1]

Varios sesquiterpenos de esqueleto lineal se producen como derivados del pirofosfato de farnesilo.La hormona de las plantas llamada ácido abscísico es estructuralmente un sesquiterpeno, su precursor de 15 carbonos, la xantosina, no es sintetizada directamente de 3 unidades isopreno sino producida por una escisión oxidativa asimétrica de un carotenoide de 40 unidades.

Los sesquiterpenos monocíclicos se generan por reacciones de ciclización del pirofosfato de farnesilo o alguno de sus derivados (NOTA: El esqueleto de drimano se forma por una diciclización concertada):

Principales esqueletos sesquiterpénicos (Se incluyen los esqueletos transpuestos y los esqueletos escindidos)

Farnesanos

Farnesano
  • Epoxifarnesanos

La Merrekentrona D es un sesquiterpenfurano aislado de las raíces y los injertos de Merremia kentrokaulus.[2] La miomontanona fue obtenida de Myoporum montanum.[3] La dendrolasina se encuentra en las secreciones defensivas de la hormiga Lasius fuliginosus[4]

Botrilactona Dendrolasina

Ciclofarnesanos simples

Cicloneridiol

El ciclonerodiol es un metabolito aislado de Trichothecium spp., Fusarium culmorum, Gibberella fujikuroi y Trichoderma polysporum,[5] que contiene un esqueleto de 6-(2,3-dimetilciclopentil)-2-metilheptano. Los chokoles son un grupo de terpenos aislados del hongo endófito Epichloe typhina que presentan anillos de 5 miembros, tales como los chokoles A y F[6] (que contiene un esqueleto de 4-(2,3-dimetilciclopentil)pentano) y los chokoles B, C, D y E (que contienen un esqueleto de 6-(2,3-dimetilciclopentil)-2-metilheptano).[7]

Ciclonerodiol Chokol A Chokol B Chokol C Chokol E

5,9-Ciclofarnesanos

El cetol Carney es un 5,9-ciclofarnesano aislado de plantas del género Myoporum. Su esqueleto de carbono es un 1-(butan-2-il)-3-metil-2-(3-metilbutil)ciclopentano. Se han aislado otros compuestos con estructura relacionada, tales como el cetol Brigalow, el cetol Kindon, el cetol Carr, el cetol Jackson, el cetol Warrego y el cetol Woogaroo.[8] La curcumalactona es una sesquiterpenlactona aislada de Curcuma wenyujin.[9] Las ciclohidromiopironas y el eumorfistonol son compuestos aislados de Eumorphia prostata.[10]

5,9-Ciclofarnesano Cetol Carney Curcumalactona Ciclodeshidromiopirona A Girinidona
    Abeo 14(7→6) 5,9-ciclofarnesano Merrekentrona D Miomontanona Ciclodeshidromiopirona B Eumorfistonol

    Caulolactona

    Herbasólido

    Sesquiterpentropolonas

    1-(3-Metilbutil)-2-(propan-2-il)cicloheptano Nootkatina Cupresotropolona B

    Herbertianos

    Los herbertianos (4-Metil-2-(2-metilbutil)-1-(1-metiletil)ciclohexano, no confundir con herbertanos) son ciclofarnesanos obtenidos a partir de la ciclización del pirofosfato de farnesilo en las posiciones 5 y 10. Ejemplos de estos compuestos son el humbertitol y el penlanfurano, aislado de la esponja marina Dysidea fragilis[11]

    Herbertiano Penlanfurano

    Derivados de la ruta del bisabolano

    Bisabolanos

    Los bisabolanos (1-(1,5-dimetilhexil)-4-metilciclohexano) son un grupo ampliamente distribuido en la naturaleza como componentes de las plantas superiores. El sistema de numeración utilizado para bisabolanos es el mismo que el sistema de farnesano. Muchos bisabolanos contribuyen al aroma de los aceites esenciales, como el caso del zingibereno, el cual es un constituyente del aceite esencial del jengibre.[12] El sesquicineol es otro caso de un componente que contribuye los aromas de aceites esenciales de Senecio subrubriflorus, Anthemis alpestris, Aydendron barbeyana y Boronia megastigma.[13] El ácido sidówico es un epoxibisabolano producido por Aspergillus sydowi.[14] El Yingzhaosu A es un endoperóxido de bisabolano que ha sido aislado de la planta medicinal china Artabotrys uncinatus[15]

    Bisabolano Zingibereno Sesquicineol Ácido sidówico Yingzhaosu A Zingiber officinale

    Los panicúlidos son bisabol-1,14-ólidos aislados de Andrographis paniculata[16]

    La diperezona es un dímero de acoplamiento por radicales libres aislado de Perezia alamani var. oolepis y de Coreocarpus arizonicus[17]

    Sesquicaranos

    Los sesquicaranos (nombre IUPAC 3,7-dimetil-7-(4-metil-pentil)biciclo-[4.1.0]heptano) son homólogos isoprénicos del carano. Un ejemplo representativo es el sesquicareno, un sesquiterpeno aislado de la planta Schisandra chinensis ([α]25D = -76.9 (c, 0.82 en cloroformo)).[18]

    Sesquicarano Sesquicareno Schisandra chinensis

    Sesquisabinanos

    Los sesquisabinanos son homólogos isoprénicos del sabinano. El nombre IUPAc es 1-(1,5-dimetilhexil)-4-metilbiciclo[3.1.0]-hexano. El 12-sesquisabinenal es un compuesto aislado de los aceites esenciales de varias especies de Haplocarpha

    Sesquisabinano 12-Sesquisabinenal Haplocarpha

    Macrocarpanos

    Los macrocarpanos han sido aislados de Cupressus macrocarpa[19]

    Macrocarpano β-Macrocarpeno ar-macrocarpeno

    Acoranos

    Acorano β-Acoradienol Acorenona 15-Nor-2-acoren-4-ona

    El bakerol es un 2-noracorano aislado de Cupressus bakeri[20]

    2-Noracorano Bakerol

    Cedranos

    Cedrano 3,12-Cedranediol

    Isocedranos

    Isocedrano

    Dupreziananos

    Constituyentes de Cupressus dupreziana, y Juniperus thurifera[21]

    Duprezianano β-Duprezianeno

    Zizaanos

    Vetiveria zizanioides[22]

    Zizaano Ácido zizanoico

    Aceite esencial de vetiver[23]

    12-Norzizaano Isokhusimona

    Prezizaanos

    El alcohol y su ácido presentes en Vetiveria nigritana[24]

    Prezizaano (1β,2α,5β,8β)-7(15)-Prezizaen-12-ol

    Cuparanos

    El cuparano (1-metil-4-(1,2,2-trimetilciclopentil)ciclohexano) se forma por la ciclización entre los carbonos 6 y 11 del bisabolano. Los cuparanos se han encontrado en hepáticas, plantas superiores y organismos marinos. El δ-Cuprenen-4-ol y el cuparadiepóxido son cuparanos aislados de la hepática Jungermannia asplenioides (Jungermanniaceae)[25]

    Cuparano δ-Cuprenen-4-ol Cuparadiepóxido Jungermannia asplenioides

    Se han reportado 14(7→6)-Abeo-2,7-cuparanos aislados de hepáticas como el caso del isobazzaneno[26]

    14(7→6)-Abeo-2,7-cuparano Isobazaneno Bazzania

    Lauranos y ciclolauranos

    Los lauranos (1-metil-4-(1,2,3-trimetilciclopentil)ciclohexano) se encuentran en algas rojas particularmente en Laurencia. Los ciclolauranos pueden ser consideradas como ciclocuparanos pero pueden aparecer en las fuentes con lauranos.[27][28]

    Laurano 11-Laureno-1,10-diol
    Ciclolaurano Neolaurinterol

    Herbertanos

    Los herbertanos [Nombre IUPAC: 1-metil-3-(1,2,2-trimetilciclopentil)ciclohexano] son un pequeño grupo de compuestos aislados de las hepáticas y los hongos. Por ejemplo el 1,15-Dihidroxiherberteno y la Herbertenona B fueron aislados de la hepática Herbertus sakuraii.

    Herbertano 1,15-Dihidroxiherberteno Herbertenona B

    Tricotecanos

    Los tricotecanos son epóxidos del esqueleto 1-(1,2-dimetilciclopentil)-1,4-dimetilciclohexano. La mayoría de tricotecanos contienen un 12,13-epóxido (Escirpano). Los tricotecenos son un grupo de micotoxinas encontradas en granos alimenticios infectados con hongos de los géneros Baccharis, Cephalosporum, Myrothecium, Trichothecium, Stachyobotrys, Calonectria y Fusarium. El 3-acetildesoxinivalenol es un contaminante típico. Las verrucarinas son micotoxinas del tricotecanos conjugados con ácidos dioicos.[29]

    1-(1,2-dimetilciclopentil)-1,4-dimetilciclohexano Escirpano Isotricodermina Verrucarina A Fusarium oxysporum

    La biosíntesis de los tricotecanos parte del catión bisabolilo:

    Espirovetivanos (Vetispiranos)

    Espirovetivano Lubiminol

    Chamigranos

    Chamigrano Elatol Esteperóxido B

    Widranos

    Aislado de Juniperus sinensis[30]

    Widrano

    Gimnomitranos

    Aislados de Gymnomitrion obtusum[31]

    Gimnomitrano Gimnomitrol

    Derivados de la ruta de los drimanos

    Drimanos

    El drimano es un hidrocarburo bicíclico sesquiterpénico que se encuentra naturalmente en el petróleo.[32] Es prototipo estructural de diversos metabolitos secundarios aislados de hongos y plantas superiores. El primer compuesto de este tipo, el cual fue nombrado drimenol, se aisló de la planta chilena Drimys winteri.[33] Los esqueletos de drimano se forman por una biciclización concertada de pirofosfato de farnesilo. Los compuestos de las series ent- tales como la Iresina han sido aisladas de plantas del género Iresine.[34][35][36] Muchos de estos compuestos presentan actividad antialimentaria contra insectos[37] Los drimanos (Decahidro-1,1,4a,5,6-pentametilnaftalenos) se han aislado de hongos, esponjas y plantas superiores. La biosíntesis se elucida como un biciclización concertada del pirofosfato de farnesilo.

    Los estereoisómeros de la forma ent- tales como la iresina fueron aislados por plantas del género Iresine spp.[34][35][36]

    Drimano Fetidona B

    Se han reportado 8,9-secodrimanos (8,9-Seco-9(11)-drimen-8-ona) del tabaco.[38]

    8,9-Secodrimano 8,9-Seco-9(11)-drimen-8-ona

    Coloratanos

    Los coloratanos (Decahidro-1,2,4a,5,6-pentametilnaftalenos) son esqueletos de drimano transpuestos donde el metilo de la posición 4 migró a la posición 3. Se han encontrado en plantas de la familia Canellaceae. Un ejemplo es el muzigadial, aislado de Warburgia ugandensis[39] y Canella winterana.[40]

    Coloratano Muzigadial 4(13),7-Coloratadien-12,11-ólido Canella winterana

    Derivados de la ruta del germacrano

    Germacranos

    Los germacranos son un grupo de terpenos ampliamente distribuidos en la naturaleza.[41][42][43]

    El grupo de los germacranos puede ser clasificado como:

    • Germacranos simples: Presentes en una gran diversidad de organismos. Las periplanonas son germacranos epoxidados que fungen como feromonas de la cucaracha americana.[44] El crisandiol es un 1,4-epoxigermacreno aislado de Chrysanthemum morifolium.[45] Los tanacetoles son compuestos aislados de Tanacetum.[46] La ciclaquenina es un componente de Iva xanthifilia.[47]
    Germacrano Periplanona B Crisandiol Tanacetol B Ciclaquenina
    • Furanogermacranos
    Furanogermacrano
    • 12,6-germacranólidos

    La epibalsamina fue aislada de Centaurea coronopifolia[48] y Stizolophus balsamita[49]

    Costunólido 9-Epibalsamina
    • 12,8-germacranólidos

    La vernomigdina es un componente del extracto de Vernonia amygdalina.[50] El ineupatólido es ua sesquiterpenlactona aislada de Inula eupatorioides[51]

    Vernomigdina Ineupatólido
    • 14,6-germacranólidos
    Neoliacina
    • 15,6-germacranólidos

    El ácido neoliacínico es un 15,6-germacranólido aislado de la planta Neolitsea aciculata

    Ácido neoliacínico
    • Norgermacranos
    • Homogermacranos,
    • Secogermacranos

    Elemanos

    Los elemanos se numeran consistentemente con los eudesmanos y germacranos. Los elemanos se forman por transposición de Cope de 1(10), 4-germacradienos. Por esta razón, muchos elemanos identificados pueden ser compuestos no naturales (formados por el proceso de purificación). Un ejemplo es el 1,11-elemadien-15-al, aislado del aceite vetiver de Haití.[52] Algunos elemanos se producen por modificación oxidativa, como la vernolepina aislada de Vernonia amygdalina.[53]

    Elemano 1,11-Elemadien-15-al Vernolepina Temisina Vernonia

    El occidenol es un elemano oxepínico aislado de Thuja occidentalis, Thuja koraiensis y Nicotiana rustica[54]

    Cadinanos

    Decahidro-1,6-dimetil-4-isopropilnaftaleno Cadinano Muurolano Bulgarano Amorfano Calameneno Cadaleno

    El primer reporte del aislamiento de un cadinano en forma impura fue a mediados del siglo XX. Desde entonces, otros esqueletos similares han sido cadinenos ampliamente distribuidos en la naturaleza y en la actualidad se han reportado más de 190. Mientras que el amorfinano tiene origen en un esqueleto de bisabolano,[55]

    el cadinano tiene su origen en el germacrano.[56]

    El isocadaleno es un 11(7→8)-abeo-1,3,5,7,9-cadinapentaeno aislado de Heterotheca inuloides[57]

    Isocadaleno 4-Hidroxiisocadaleno

    El isocalameno es un 15(4→3)-abeo-1,3,5-cadinano que se ha encontrado en plantas del género Chiloscyphus y Bazzania[58][59]

    Isocalameneno Quiloscifenol A

    La artemisina es un derivado de oxidación del ácido artemísico (un amorfano) aislado de la planta compuesta Artemisia annua. El esqueleto de la artemisina corresponde al 4,5-secoamorfano o (1R,2S,3R,4S)-2-butil-1,3-dimetil-4-(propan-2-il)ciclohexano.

    4,5-Secoamorfano Artemisia annua

    Oplopanos

    Los oplopanos (1-Etiloctahidro-4-metil-7-(1-metiletil)-1H-indeno) han sido aislado de plantas superiores. Son 3(4 → 5)-abeocadinanos. Las pulioplopanonas son sesquiterpenos tipo oplopano aislados de especies de Pulicaria[60]

    Oplopano Pulioplopanona A Pulicaria

    Eringenanos

    Los eringenanos son 13(11→12)-abeo-9-cadinanos aislados de Eryngium creticum[61]

    Eringenano 9-Eringen-15-al

    6(7 → 8)-abeocadinanos

    El mutisiantol es un compuesto que es base de varios compuestos con esqueleto (1S,3S)-1,5-dimetil-3-(2-metilpropil)-2,3-dihidro-1H-indeno, fue aislado por Bohlmann y colaboradores en 1979, a partir de las raíces Mutisia homoeantha. Este grupo consiste en esqueletos de 6(7 → 8)-abeocadinanos de Jungia y Mutisia'.

    (1S,3S)-1,5-dimetil-3-(2-metilpropil)-

    2,3-dihidro-1H-indeno

    Mutisiantol Mutisia

    Eudesmanos

    Los eudesmanos (denominados como selinanos en literatura anterior a los años 50's). Los eudesmanos que presentan la configuración 4β,5α,7β,10β se encuentran en plantas superiores mientras que los ent- eudesmanos se encuentran en hepáticas. Los eudesmados son sesquiterpenos muy diversos y que presentan diversas variaciones estructurales:

    • Eudesmanos y ent-eudesmanos (Decahidro-1,4a-dimetil-7-(1-metiletil)-naftaleno):
    Eudesmano Gerina Geraea viscida
    • Eudesman-12,6-ólidos
    α-Santonina
    • Eudesman-12,8-ólidos
    • Furanoeudesmanos
    • Cicloeudesmanos: El 6,8-ciclo-4(15)-eudesmeno-1,2-diol fue aislado de la planta Jatropha neopauciflora[62]
    6,8-Cicloeudesmano 6,8-Ciclo-4(15)-eudesmeno-1,2-diol
    • Secoeudesmanos: El 6,7-seco-7(11)-eudesmen-6-al (Esqueleto base: 2,6-Dimetil-2-(4-metil-3-pentenil)ciclohexano) fue aislado por Adio a partir de la hepática Tritomaria polita.[63] El ácido 1,10-seco-3,5(10)-eudesmadien-12,6-olid-1-oico es un 1,10-secoeudesmano aislado de Artemisia hugueti.[64] La azoridiona y su epímero α fueron son 4,5-secoeudesmanos aislados de Cyperus rotundus[65] y Laurus azorica.[66]
    6,7-Secoeudesmano 6,7-Seco-7(11)-eudesmen-6-al
    1,10-Secoeudesmano Ácido 1,10-seco-3,5(10)-eudesmadien-12,6-olid-1-oico
    4,5-Secoeudesmano Azoridiona
    • Noreudesmanos
    • Agarofuranos y alcaloides tipo evonina. 2,6,10,10-tetrametil-11-oxatriciclo[7.2.1.01,6]dodecano.
    Dihidro-β-agarofurano

    Los eudesmanos tienen valor quimiotaxonómico. Por ejemplo, los agarofuranos y los alcaloides tipo evonina son indicadores quimiotaxonómicos de la familia Celastraceae. La gerina es un compuesto aislado de Geraea viscida.[67]

    Jatamansanos

    Estos compuestos, llamados también como valeranos (El esqueleto es un decahidro-4a,8a-dimetil-2-(1-metiletil)naftaleno) han sido aislados principalmente de Valeriana. Estos esqueletos son derivados de transposición del eudesmano en donde el grupo metilo del carbono 4 ha migrado a la posición 5. La jatamansona es un componente de las raíces de Valeriana officinalis y Nardostachys jatamansi.[68]

    Jatamansano Jatamansona Valeriana officinalis

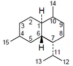
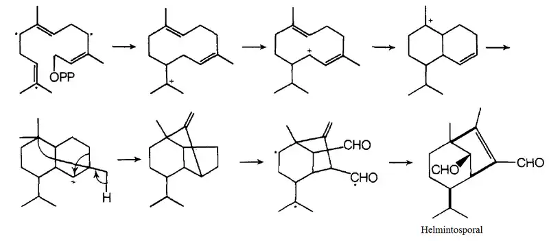
    Helmintosporanos

    Aislado de Helminthosporium sativum y Cochliobolus sativus[69]

    Helmintosporano Helmintosporal

    Emotina

    El esqueleto de la emotina, el 1,4-dimetil-6-(propan-2-il)naftaleno, es un 14(10 → 1)-abeoeudesmano con un anillo aromático A y el metilo de la posición 10 migrado a la posición 1. Estos compuestos han sido aislados de Emmotum nitens, por ejemplo la emotina C.[70]

    Emotina Emotina C Emmotum

    Opositanos

    Los opositanos son 8(7 → 6)-abeoeudesmanos y se encuentran tanto en esponjas (Axinella) como en plantas de la familia Apiaceae (Torilis japonica, Erigeron annuus),[71][72] Annonaceae (Annona bullata) y Araceae (Homalomena occulta[73]) como en organismos marinos. Su esqueleto es un octahidro-3a,7-dimetil-1-(2-metilpropil)-1H-indeno.

    Opositano 1-β-4(15),7(11)-Oppositadien-1-ol Torilis japonica

    Farfugina

    El esqueleto de la farfugina, el 1,5-dimetil-3-(propan-2-il)naftaleno, consiste en un 14(10 → 9)-abeoeudesmano, el cual tiene un anillo aromático B y el metilo en posición 10 migrado hacia la posición 9. Las farfuginas han sido aisladas de Farfugium japonicum[74]

    Farfugina Farfugina A Farfugium japonicum

    Gorgonanos

    Los gorgonanos (Decahidro-1,4a-dimetil-8-(1-metiletil)naftalenos) son derivados del eudesmano por una migración del grupo isopropilo a la posición 6. Estos terpenos han sido aislados de corales Pseudopterogorgia americana[75] y Saccogyna viticulosa[76]

    Gorgonano β-Gorgoneno Pseudopterogorgia americana

    Eremofilanos

    Los eremofilanos se derivan de los eudesmanos por la migración del grupo metilo desde C-10 a C-5. Existe una confusión en la literatura sobre la numeración de los carbonos 14 y 15; la numeración biogenética dada a continuación es la más utilizada. La estereoquímica normal se muestra, aunque hay varias excepciones a esta. Al igual que con las otras categorías más grandes, los eremofilanos se separan en eremofilanos simples, eremophilanólidos y furanoeremofilanos, secoeremofilanos, abeoeremofilanos y noreremofilanos.[77]

    Eremofilano Eremofilanólido 8,9-Secoeremofilano

    |

    Ácido 8,9-seco-1(10),7(11)-eremofiladien-8,12-olid-9-oico, aislado de Coleus xanthanthus

    Quiloscifanos

    Los quiloscifanos son sesquiterpenos con esqueleto base de octahidro-7,7a-dimetil-1-(2-metilpropil)-1H-indeno. Biogenéticamente son considerados son 8(7 → 6)-abeoeremofilanos. Estos compuestos han sido aislados de hepáticas. Por ejemplo, la 10-α-7,10-Anhidro-11,12-dihidroquiloscifolona fue aislada de Lepidozia fauriana[78]

    Quiloscifano 10-α-7,10-Anhidro-11,12-dihidroquiloscifolona

    Aristolanos

    Los aristolanos (Decahidro-1,1,7,7a-tetrametil-1H-ciclopropa-[a]naftalenos) fueron aislados de varias especies de plantas del género Aristolochia y hepáticas. Se definen como 6,11-cicloeremofilanos. El 9-aristolen-12-al es un aristolano aislado de hepáticas del género Bazzania.[79] El α-feruleno es un compuesto relacionado encontrado en plantas vasculares (Ferula communis y Acanthella cavernosa), además de corales (Pseudopterogorgia americana).

    Aristolano α-Feruleno 9-Aristolen-12-al Bazzania trilobata

    Nardosinanos

    Los narsidosanos son sesquiterpenos aislados de organismos marinos que presentan el esqueleto base de decahidro-1,8a-dimetil-8-(1-metiletil)naftaleno. El Nardosinanol A es un furonardosinano aislado de esponjas del género Lemnalia.[80] Estos esqueletos son eremofilanos en los cuales el grupo isopropilo ha migrado a la posición 6. Las paralemnolinas son derivados del nardosinano aislados del coral Paralemnalia thyrsoides.[81] La nardosinona es un nardosinano constituyente de Nardostachys jatamansi.[82]

    Nardosinano Paralemnolina M Nardosinanol A Nardosinona Nardostachys grandiflora

    Cacaloides

    El cacalol es un nafto[2,3-b]furano aislado del matarique y posteriormente se encontraron compuestos con el esqueleto relacionado de 1,8-dimetil-2-(propan-2-il)naftaleno.[83] Se han aislado de plantas del género Cacalia y Psacalium.

    1,8-dimetil-2-(propan-2-il)naftaleno Cacalol Cacalia

    Guayanos

    Los guayanos (Decahidro-1,4-dimetil-7-(1-metiletil)azulenos) son un grupo de sesquiterpenos ampliamente distribuidos en la naturaleza en forma de hidrocarburos, alcoholes y sesquiterpenlactonas (Guayanólidos).[84] Estos sesquiterpenos son típicos de la familia Asteraceae.

    Este grupo puede ser clasificado en:

    • Guayanos simples
    Guayano Eurabidiol Euriops
    • 12,6-guayanólidos
    Kauniólido Tapsigargina
    • 12,8-guayanólidos
    • Secoguayanos

    Se han reportado 3,4-secoguayanos (Espicatólidos y zaluzaninas) aislados de Zaluzania grayana,[85] Pseudelephantopus spicatus[86] y Microliabum polymnioides (Asteraceae) Por otro lado, los 1,10-secoguayanos han sido encontrados en Cyperus articulatus[87] y Alpinia oxyphylla.[88] Los xantanos (1-Butil-2-metil-5-(1-metiletil)cicloheptanos) son 4,5-secoguayanos originalmente aislados de Xanthium. Otro ejemplo es la Giberodiona obtenida de los extractos de Sinularia gibberosa[89]

    3,4-secoguayanos Espicatólido H
    1,10-Secoguayano Mandasidiona
    4,5-Secoguayano (Xantano) Giberodiona
    • Abeoguayanos: Se han reportado diversos esqueletos producidos por la transposición de grupos metilo, como en el caso del 11(7→6)-Abeo-2-guaien-10-ol, aislado de Ulva fasciata.[90] Los pseudoguayanos (Decahidro-4,8a-dimetil-7-(1-metiletil)azulenos) son abeoguayanos generados por la migración de un metilo del carbono 4 a la posición 5. Muchas veces el carbono 4 tiene una función orgánica con oxígeno. La partenina es un ejemplo del seudoguayano.
    11(7→6)-Abeo-2-guayen-10-ol Pseudoguayano Partenina
    • Dímeros de guayanos:
    1) Dímeros tipo absintina: La absintina es un aducto Diels-Alder de dos guayanos.
    2) Acoplamiento por radicales libres: El bisnubenólido, el bisnubidiol y la bistataxacin son dímeros por acoplamiento del nubenólido.
    3) Dímeros tipo microlenina.
    4) Dímeros tipo maritimólido
    5) Pungiólidos
    6) Gochnatiólidos
    7) Vietlaninas

    Carabranos

    Los carabranos (7-Butil-1-metil-4-(1-metiletil)biciclo[4.1.0]heptanos) son un grupo de sesquiterpenos del tipo 5,10-cicloxantanos. Los curcarabranoles son carabranos aislados de Curcuma zedoaria.[91]

    Carabrano Curcarabranol A Curcuma zedoaria

    Aromadendranos

    Los aromadendranos (Decahidro-1,1,4,7-tetrametil-1H-cicloprop[e]azulenos) son 6,11-cicloguayanos. Otros derivados de los cicloguayanos son los 5,10-cicloaromadendranos, secoaromadendranos, incluyendo a las plagioquilinas (2,3-secoaromadendranos).

    Aromadendrano 5,10-Cicloaromadendrano 2,3-Secoaromadendrano

    Cubebanos

    Los cubebanos (Octahidro-3,7-dimetil-4-(1-metiletil)-1H-ciclopenta[1,3]ciclopropa[1,2]-bencenos) son 1,6-cicloguayanos. Han sido identificados en los aceites esenciales de cubeba (Piperaceae),[92] Jackiella javanica (Jackiellaceae),[93] Eupatorium serotinum y Solidago canadensis (Asteraceae)

    Cubebano α-Cubebeno 11-Cubebanol Piper cubeba

    Ivaxilaranos

    Los ivaxilaranos (4,6b-dimetil-2-(propan-2-il)decahidrociclopropa[e]indenos) son 8,10-cicloguayanos. La ivaxilarina es un ivaxilaranólido aislado de Iva axillaris.[94]

    Ivaxilarano Ivaxilarina Iva

    Patchoulanos

    Los patchoulanos (4,10,11,11-tetrametiltriciclo[5.3.1.01,5]undecanos) son 1,11-cicloguayanos. En el aceite de patchouli han sido aislados varios esqueletos transpuestos de patchoulano. El ciperenol y el α-patchouleno son sesquiterpenos tipo patchoulano abundantes en los aceites esenciales de varias especies de plantas pertenecientes a las familias Lamiaceae (Pogostemon),[95] Lauraceae (Lindera), Cyperaceae (Cyperus), Asteraceae (Cirsium), valerianaceae (Nardostachys)[96] y Euphorbiaceae (Joannesia, Sandwithia, y Croton)

    Patchoulano Ciperenol α-Patchouleno Cyperus rotundus

    La ciperadiona es un 4,5-secopatchoulano aislado del aceite esencial de Cyperus rotundus.[97]

    4,5-Secopatchoulano Ciperadiona

    Ishwaranos

    Ishwarano Ishwaranol

    Valerenanos

    Los valerenanos (Octahidro-1,4-dimetil-7-(2-metilpropil)-1H-indeno) son 8(7 → 6)-abeoguayanos. Un ejemplo es el α-valerenol y sus derivados de oxidación, aislados de plantas de la familia Valerianaceae (Valeriana)[98] y Asteraceae (Zexmenia).[99]

    Valerenano α-Valerenol Valeriana officinalis

    Daucanos

    Los daucanos (decahidro-3a,6-dimetil-1-(1-metiletil)azulenos) son estructuras encontradas principalmente en plantas del género Ferula, Blainvillea, Daucus, Rosa[100] y Homalomena así como los hongos Trichoderma,[101] Aspergillus y Gliocladium.[102][103]

    Daucano 2,8-Daucadieno-5,10-diol Tricocarano C Isodaucenal Homalomena

    Salviolanos

    Los salviolanos (llamados también Isodaucanos) son sesquiterpenos con esqueletos de decahidro-3a,7-dimetil-1-(1-metiletil)azuleno. Un ejemplo de estos compuestos es el homalomenol E, aislado de Homalomena occulta.[104]

    Salviolano Homalomenol E

    Derivados de la ruta del humulano

    Humulanos y biciclohumulanos

    El humulano es producto de la ciclización del pirofosfato de farnesilo en las posiciones 1 y 11. El humuleno se encuentra en el lúpulo (Humulus lupulus).

    Humulano Humuleno Lúpulo (Humulus lupulus)

    Cariofilanos

    La ciclización del humulano en los carbonos 2 y 10 produce el esqueleto de cariofilano. El β-cariofileno se ha aislado de varias plantas, tales como Syzygium aromaticum y Cinnamomum zeylanicum. El taedolidol es un diepoxicariofileno obtenido del hongo endófito Pestalotiopsis sp. aislado de Pinus taeda.[105]

    Cariofilano β-Cariofileno Taedolidol Syzygium aromaticum

    Cariolanos

    Aislados de Streptomyces y Botryotinia[106][107]

    Cariolano 3β,8α-Cariolanodiol

    Iludanos

    Los iludanos son sesquiterpenos aislados de hongos de los géneros Cyathus, Clitocybe, Pleurotus, Mycena y Russula[108] además de helechos de los géneros Hypolepis y Pteridium.[109]

    Nombre IUPAC: Decahydro-2',2',4',6'-tetrametilespiro[ciclopropano-1,5'-[5H]indeno]
    Iludano Iluda-7,9(10)-dieno-3,14-diol Mycena

    Protoiludanos

    Los protoiludanos son estructuras sesquiterpénicas aisladas de hongos del género Armillaria, Coprinus, Fomitopsis, Omphalotus y Clitocybe. El 6-protoiludeno es un sesquiterpeno aislado de Fomitopsis insularis y Omphalotus olearis.[110] Los meleólidos son ésteres protoiludánicos esterificados con ácido orselínico aislados de Armillaria mellea.

    Nombre IUPAC: Decahidro-3,6,6,7b-tetrametil-1H-ciclobut[e]-indeno.
    Protoiludano 6-Protoiludeno Meleólido E Fomitopsis

    La armilasina es un 14-norprotoiludano esterificado con el ácido orselínico. También fueron aislados de Armillaria mellea.[111]

    Nombre IUPAC: Decahidro-6,6,7b-trimetil-1H-ciclobut[e]-indeno.
    14-Norprotoiludano Armilasina Armilaria melea

    La estructura del fomosano corresponde a la de un 8,9-secoprotoiludano. La iludosina es un fomosano aislado del extracto del hongo Omphalotus illudens.[112]

    Nombre IUPAC: 1,1-Dimetil-3-[1-metil-2-(propan-2-il)ciclobutil]ciclopentano.
    Fomosano Iludosina Omphalotus illudens

    Iludalanos

    Los iludalanos se pueden considerar como 4,6-secoilludanos. Estos esqueletos se encuentran en hongos (géneros Clitocybe, Fomes y Onychium) y helechos (géneros Pityrogramma, Hypolepis, Dennstaedtia, Equisetum y Cibotium). Los hongos del género Ripartites y Russula producen iludalanos fenólicos (Riparoles[113] y rusujaponoles[114]).

    Iludalano Rusujaponol I Riparol B Ripartites

    El cibrodol es un 10,11-secoiludalano aislado del hongo Cyathus buller.[115]

    10,11-Secoiludalano Cibrodol

    Cerapicanos

    Caratopicano

    Ceratiopicanos

    Ceratopicano Ceratopicanol

    Hirsutanos

    Esponjas del género Haliclona[116] y Gloeostereum incarnatum[117]

    Hirsutano Hirsutanol A Gloeosteretriol

    Pentalenanos

    Aislado de Streptomyces.[118]

    Pentalenano Ácido pentalénico Streptomyces

    Himachalanos

    Los himachalanos (Decahidro-2,5,9,9-tetrametil-1H-benzocicloheptenos) son sesquiterpenos aislados de plantas de la familia Pinaceae (Cedrus), Asteraceae (Artemisia, Lasianthaea, Blumea y Acritopappus). La bacciferina A es un himachalano aislado de Cipadessa baccifera (Meliaceae)[119]

    Himachalano Bacciferina A Cipadessa baccifera

    Africananos

    Los africananos son decahidro-3,3,5,7b-tetrametil-1H-cicloprop[e]azuleno. El Africantriol es un compuesto con este esqueleto base que es producido por Streptomyces (cepa HKI0297)[120] y el octocoral Lemnalia africana.[121] Por otro lado, la 10-Angeloiloxi-2-africanen-4-ona fue aislada de la planta Senecio oxyriifolius.[122]

    Africanano Africantriol 10-Angeloiloxi-2-africanen-4-ona

    Longipinanos

    Los longipinanos (2,6,6,9-Tetrametiltriciclo[5.4.0.02,8]undecanos) son 2,7-ciclohimachalanos. Estos esqueletos han sido detectados en aceites esenciales de Asteraceae (Lavandula, Stevia, Artemisia, Tanacetum, Santolina) y Lamiaceae (Lavandula). La 2-longipinanona es un longipinano aislado de Artemisia filifolia.[123] El oblongifoliol es un constituyente de Santolina oblongifolia y Santolina viscosa.[124]

    Longipinano α-Longipineno 2-Longipinanona Oblongifoliol Santolina

    Longifolanos

    Los longifolanos tienen la estructura de decahidro-4,8,8,9-tetrametil-1,4-metanoazuleno.[125] El longifoleno (llamado también junipeno) es un longifolano ampliamente distribuido en el reino vegetal, sobre todo en especies de los géneros Pinus y Juniperus. El 7(15)-Longifolen-5-ol es un longifolano aislado de Juniperus conferta.

    Longifolano Junipeno 7(15)-Longifolen-5-ol Juniperus conferta

    Longibornanos

    Los longibornanos (Decahidro-4,5,5,8a-tetrametil-1,4-metanoazulenos) son 3,7-ciclohimachalanos. Estos compuestos están distribuidos en varias especies de coníferas de los géneros Juniperus, Pinus, Cupressus, Dacrydium y Cedrus.[126] Un ejemplo de estos compuestos es el kuromatsuol (llamado también juniperol o 4β-longiborneol).

    Longibornano Kuromatsuol Dacrydium

    Otros esqueletos

    Brasilanos

    Los brasilanos son sesquiterpenos con esqueleto base de octahidro-1,6,6-trimetil-4-(1-metiletil)-1H-indeno. Se han aislado de moluscos del género Aplysia. Este esqueleto toma su nombre de Aplysia brasilensis (Sinónimo: Aplysia fasciata).

    Brasilano Brasilenol Aplysia brasilensis

    Hodgsonox

    Los hodgsonoxes son sesquiterpenos aislados de la hepática Lepidolaena hodgsoniae[127]

    1-Etil-2-(pentan-2-il)-4-(propan-2-il)ciclopentano Hodgsonox Hodgsonox B

    Artemona

    La artemona es un sesquiterpeno irregular aislada de Artemisia pallens, Artemisia abrotanum y Polygonum barbatum[128][129]

    Tapsanos

    Los tapsanos (Octahidro-1,2,3a,7,7,7a-hexametil-1H-indenos) han sido aislados de plantas del género Thapsia.[130] El tapsanol es un 14,15 epoxitapsano aislado de la planta Thapsia villosa (Apiaceae)[130]

    Tapsano Tapsanol Thapsia villosa

    Ácido helepuberínico

    Kumepaloxano

    Aliacanos

    Los aliacanos son sesquiterpenos con esqueleto base de octahidro-2,2,4-trimetil-7-(1-metiletil)-1H-indeno. Han sido aislados de los hongos Marasmius alliaceus y los primnatrienos aromáticos de Primnoeides. Los primnatrienos son anillos aromáticos de los aliacanos.

    Aliacano Primnatrienona Aliacol B Aliacólido II Marasmius alliaceus

    El rusulanorol, aislado de Russula delica es un ejemplo de un esqueleto que corresponde a un abeo-11(4→3)-12-noraliacano:[131]

    Rusulanorol A Russula delica

    Lipifolianos

    Lipifoliano

    Pinguisanos

    Los pinguisanos (5-Etiloctahidro-1,3a,4,7a-tetrametil-1H-indenos) han sido aislados de hepáticas (Trocholejeunea, Porella, Aneura). Se pueden clasificar en:

    Tapsanos simples: Un ejemplo de estos compuestos es el pinguisenol aislado de varias especies de Porella.[132]
    Pinguisano Pinguisanol Porella
    Furanopinguisanos: La pinguisanina es un ejemplo de este tipo de compuestos; fue aislada de Porella platyphylla[133]
    Pinguisanina
    Abeopinguisanos: El pinguisanólido y la espirodensifolina B son 7(6→5)-abeopinguisanos que fueron reportados de las hepáticas Porella platyphylla[134] y Frullanoides densifolia[135] respectivamente.
    7(6→5)-Abeopinguisano Pinguisanólido Espirodensifolina B

    Fukinanos

    Los fukinanos (Octahidro-2,3a,4-trimetil-2-(1-metiletil)-1H-indenos) fueron aislados de Petasites japonicus. También se han aislado del coral Coelogorgia.

    Fukinano

    Picrotoxanos

    Los picrotoxanos (Octahidro-1,4,7a-trimetil-5-(1-metiletil)-1H-indenos) son componentes amargos y tóxicos de plantas de la familia Orchidaceae. Por lo general son altamente oxigenados.[136] Se pueden clasificar en:

    • Picrotoxanos simples: Los dendronobilósidos son picrotoxanos aislados de orquídeas del género Dendrobium.[137]
    Picrotoxano Dendronobilósido A
    Picrotoxinina

    Perforanos

    Los perforanos tienen esqueleto de decahidro-1,4,7,9a-tetrametil-1H-benzocicloheptano. Se les ha aislado de algas del género Laurencia (como el caso del guadalupol)[140] y del molusco Aplysia.

    Perforano Perforenona Guadalupol

    Pacifigorgianos

    Los pacifigorgianos son esqueletos de sesquiterpenos encontrados en corales del género Pacifigorgia y de hepáticas del género Frullania[141]

    Nombre IUPAC: Octahidro-1,5-dimetil-4-(2-metilpropil)-1H-indeno.
    Pacifigorgiano 2,10-Pacifigorgiadieno Frullania

    Asteriscanos

    Los asteriscanos son sesquiterpenos aislados de Asteriscus (Asteraceae)[142]

    Nombre IUPAC: Decahidro-2,2,4,8-tetrametil-1H-ciclopentacicloocteno.
    Asteriscano Ácido 15-asteriscanoico Asteriscus

    Punctaporonanos

    Punctaporonano

    Pleurotelanos

    Pleurotelano

    Fomanosanos

    Fomanosano

    Esterpuranos

    Los esterpuranos son sesquiterpenos relacionados biosintéticamente con los iludanos. Han sido aislados de los hongos Merulis y Stereum.[143]

    Nombre IUPAC: Decahidro-2a,5,5,7-trimetil-1H-ciclobut[f]-indeno.
    Esterpurano Ácido esterpúrico Stereum (Chondrostereum) purpureum)

    Lactaranos

    Los lactaranos son sesquiterpenos aislados casi exclusivamente de Lactarius.[144] La rusulactarororufina es un lactarano aislado de Russula brevipes.[145]

    Nombre IUPAC: 2,2,4,6,7-Pentametildecahidroazuleno.
    Lactarano Piperalol Velerolactona Rusulactarororufina Lactarius piperatus

    Se han aislado 8-norlactaranos de los hongos Lactarius, como el caso de la 8-norlactaranolactona[146]

    La lactaronecatorina A es un 8,9-secolactarano aislado de Lactarius.[147]

    8,9-Secolactarano Lactaronecatorina A

    Isolactaranos

    Los isolactaranos han sido aislados de hongos Lactarius[148]

    Isolactarano Isolactarorufina Merulidial Merulactona

    Merulanos

    Aislados de Merulius tremellosus[149]

    Merulano Meruliolactona Merulius tremellosus

    Marasmanos

    Marasmano Velutinol

    Tremulanos

    Los tremulanos constituyen una clase de sesquiterpenos que son caracterizados por el esqueleto 2,2,4,5,8-pentametildecahidroazuleno. El primer compuesto con este esqueleto fue aislado en 1993 a partir del saprofito del álamo Phellinus tremulae[150] Los conocenoles se han aislado de Conocybe siliginea.[151]

    Tremulano Conocerol B Conocybe siliginea

    También se han reportado 5,6-secotemulanos (Conocenólidos A y B) de Conocybe siliginea

    5,6-Secotemulano Conocenólido A Conocenólido B

    Furodisinas

    Furodisina 3-Etildecahidro-1,1,6-trimetilnaftaleno

    Botridial

    Botridial Octahidro-1,1,3,3,4,5-hexametil-1H-indeno

    Clovanos

    Aislado de Rumphella antipathies.[152]

    Clovano 9α-hidroxiclovan-2-ona
    5,10-Secoclovano Rumfelclovano B

    Precapnelanos

    Aislado de Capnella imbricata[153]

    Precapnelano Precapneladieno

    Cicloprecapnelano

    Aislado de Laurencia viridis[154]

    Cicloprecapnelano Viridianol

    Capnelanos

    Aislados del coral Capnella imbricata[155]

    Capnelano δ-Capneleno 9(12)-Capneleno-8,10,13-triol

    Cucumanos

    Aislados de Macrocystidia cucumis

    Cucumano Cucumina E Cucumina F

    Silfinanos

    Aislados de Leptosphaeria maculans[156] y Phoma lingum[157]

    Silfinano Fomalairdenol A

    Silfihiperfolianos

    Aislados de Artemisia[158]

    Silfihiperfoliano 6-Silfiperfoleno-3,5-diona

    Presilfiperfolianos

    Aislado de Senecio anteuphorbium[159] y de Echinops giganteus[160]

    Presilfiperfoliano (2β,5β,8β)-Presilfiperfolanotriol Presilfiperfol-7-eno

    Aislado de Echinops giganteus var. lelyi[161]

    11(7→8)-Abeopresilfiperfolano 7-Camerunanol

    Isocomanos

    Aislado de Schistostephium (Asteraceae)[162]

    Isocomano 2-Isocomen-13-ol

    Panasinsanos

    Aislados de Panax ginseng[163]

    Panasinsano β-Panasinseno

    Modhefanos

    Aislados de Liabum eggersii[164] e Isocoma wrightii[165]

    Modhefano 2-Modhefen-12-ol 2-Modhefeno

    Quadranos

    Aislado de Aspergillus terreus[166][167]

    Cuadrano Cuadrona Terreciclol Suberosenol A

    Canferanos

    Aislados de Cinnamomum camphora[168]

    Canferano Canferenol

    Canferenanos

    Aislado de Illicium tsangii[169]

    Canferenano 11-Canfereneno-4,10-diol

    α-Santalanos

    α-Santalano

    β-Santalanos

    Aislados del aceite esencial del sándalo (Santalum album)[170]

    β-Santalano Ácido β-santálico β-Santalol

    Sativanos

    Aislados de Helminthosporium sativum[171]

    Sativano Ylangocanfeno

    Copacanfanos

    Copacanfano Copacanfanol

    Ciclocopacanfanos

    Aislado de Vetiveria zizanioides[172]

    Ciclocopacanfano Ciclocopacanfenol

    Sinularanos

    Aislado de Sinularia mayi[173]

    Sinularano Sinulareno

    Ciclosinularanos

    Aislado de Clavularia inflata[174]

    Ciclosinularano Ciclosinularan-12-ol

    Copaanos

    Aislado de Cyperus rotundus[175]

    Copaano Copadieno

    Rotundanos

    Sus ésteres aislados de Trixis vautheri[176]

    Rotundano 13,15-Dihidroxirotundeno

    Tujopsanos (Tuyopsanos)

    Aislados de plantas (Microbiota decussata[177]), hepáticas y hongos (Xylaria carpophila[178])

    Tujopsano Tuyopsano 7-Tuyopsanol Xilcarpina C

    Pseudowidrano

    Aislado de Thujopsis dolabrata.[179]

    Pseudowidrano α-Pseudowidreno

    Bourbonanos

    Aislados de Nephthea erecta[180]

    Bourbonano 11-Bourbonen-7β-ol

    Referencias

    1. Paul M. Dewick (2009). Medicinal natural products: a biosynthetic approach. John Wiley and Sons. ISBN 9780470741689.
    2. K. Jenett-Siems, K. Siems, L. Witte and E. Eich, J. Nat. Prod. (2001) v.64:p.1471
    3. P. L. Metra and M. D. Sutherland. Tetrahedron Lett. (1983) v.24:p.1749
    4. On the biosynthesis of dendrolasin, a body constituent of the ant Lasius fuliginosus Latr. Waldner EE, Schlatter C, Schmid H. Helv Chim Acta. (1969) v.52(1):pp. 15-24.
    5. Fujita, T. et al., Chem. Pharm. Bull. (1984) 32, 4419
    6. Yoshihara, T. et al., Tet. Lett. (1985) 26:5551- 5554
    7. Koshino, H. et al., Agric. Biol. Chem. (1989) 53:789- 796
    8. Sutherland, M.D. et al., Aust. J. Chem. (1989) 42:1995
    9. Inayama, S. et al., Chem. Pharm. Bull., 1985, 33, 2179- 2182; 1986, 34, 5122- 5132
    10. Bohlmann, F. et al., Phytochemistry, 1978, 17, 1155
    11. Takano et al. Journal of Heterocyclic Chemistry. Volume 34, Issue 4, pages 1111–1114.
    12. Herout, Vlastimil; Benesova, Vera; Pliva, Josef (1953). "Terpenes. XLI. Sesquiterpenes of ginger oil". Collection of Czechoslovak Chemical Communications 18: 297–300.
    13. Bohlmann, F. et al., Phytochemistry, 1982, 21, 1697
    14. Hamasaki, T. et al., Agric. Biol. Chem., 1975, 39, 2337
    15. Liang, X.T. et al., Huaxue Xuebao, 1979, 37, 215- 230
    16. Allison, A.J. et al., Chem. Comm., 1968, 1493
    17. Joseph-Nathan, P. et al., Phytochemistry, 1982, 21, 1129
    18. Ohta, Y. et al., Tet. Lett., 1968, 1251
    19. Cool, L.G.Phytochemistry, 2005, 66, 249- 260
    20. Cool, L.G. et al., Phytochemistry, 1994, 36, 1283
    21. Piovetti, L. et al., Phytochemistry, 1977, 16, 103
    22. Hanayama, N. et al., Tetrahedron, 1973, 29, 945
    23. Pal, S.K. et al., Tet. Lett., 1998, 39, 8889- 8890
    24. Weyerstahl, P. et al., Flavour Fragrance J., 2000, 15, 61- 68; 395- 412
    25. Nagashima, F. et al., J. Nat. Prod., 2001, 64, 1309- 1317
    26. Wu, C.-L. et al., Tet. Lett., 1983, 39, 2657- 2661
    27. Cameron, A.F. et al., JCS(B), 1969, 692- 697
    28. Sun, J. et al., J. Nat. Prod., 2005, 68, 915- 919
    29. Grove J.F. Prog. Chem. Org. Nat. Prod. (2007) 88:63–130.
    30. Kwon et al., Biotechnology and Bioprocess Engineering (2010) 15(1): 167-172
    31. Connolly, J.D. et al., JCS Perkin 1, 1974, 2487- 2493
    32. Alexander, R. et al., Chem. Comm. (1983) 226- 228
    33. Appel, H.H., 1948. Scientia (Chile) 15, 31.
    34. Cordell, G.A. (1976) Chem. Rev., 76, 425.
    35. Djerassi, C. et al. (1958) J. Am. Chem. Soc., 80, 2593.
    36. Jansen, B.J.N. et al. (1991) Nat. Prod. Rep., 8, 309;319.
    37. Messchendorp, L., Gols, G.J.Z., van Loon, J.J.A., Entomol. Experiment. Appl. (2000) 95:217.
    38. Hlubucek, J.R. et al., Acta Chem. Scand., Ser. B, 1974, 28, 18
    39. Kubo, I. et al., Tet. Lett., 1977, 18, 4553- 4556
    40. El-Feraly, F.S. et al., Chem. Comm., 1978, 75- 76
    41. Brown, D.S. et al. (1992) Heterocycles, 34, 807.
    42. Fischer, N.H. et al. (1979) Prog. Chem. Org. Nat. Prod., 38, 47.
    43. Fischer, N.H. (1990) Recent Adv. Phytochem., 24, 161.
    44. Okada, K et al.. "Behavioral responses of male Periplaneta americana L. to female sex pheromone components, periplanone-A and periplanone-B". Journal of Chemical Ecology (1990) 16(9):2605–2614
    45. Osawa, T. et al., Tet. Lett., 1974, 1569
    46. Appendino, G. et al., Phytochemistry, 1983, 22, 509
    47. Bohlmann, F. et al., Phytochemistry, 1979, 18, 1892
    48. Öksüz, S. et al., Phytochemistry, 1986, 25, 535- 537
    49. Suleimenov, E.M. et al., Chem. Nat. Compd. (Engl. Transl.), 2005, 41, 556-
    50. Kupchan, S.M. et al., JOC, 1969, 34, 3908- 3911
    51. Herz, W. et al., JOC, 1980, 45, 4838
    52. Weyerstahl, P. et al., Flavour Fragrance J. (2000) 15: 61- 83
    53. Laekeman G. M. Naunyn-Schmiedeberg's Archives of Pharmacology (1985) Vol.331(1):108-113
    54. Von Rudloff, E. et al., Can. J. Chem., 1964, 42, 421- 425
    55. Bordoloi, M. et al. (1989) Phytochemistry 28(8):2007
    56. Manobjyoti Bordoloi, Vishunu S. Shukla, Subhan C. Nath, Ram P. Sharma. Naturally Occurring Cadinenes. Phytochemistry (1989) 28(8):2007-2037
    57. Bohlmann, F. et al., Chem. Ber., 1976, 109, 2021
    58. Chang, R.-C. et al., J. Chin. Chem. Soc. (Taipei), 1999, 46, 191- 195
    59. Ma, B. et al., Helv. Chim. Acta, 2007, 90, 52- 57
    60. Triana, J. et al., J. Nat. Prod., 2005, 68, 523- 531
    61. Ayoub, N.A. et al., Pharmazie, 2003, 58, 674- 676
    62. García, A. et al., Helv. Chim. Acta, 2006, 89, 16- 29
    63. Adio, A.M. et al., Phytochemistry, 2003, 64, 637- 644
    64. Marco, J.A. et al., Phytochemistry, 1994, 37, 477
    65. Ohira, S. et al., Phytochemistry, 1998, 47, 1577- 1581
    66. Fraga, B.M. et al., Z. Naturforsch., C, 2001, 56, 503- 505
    67. Rodriguez, E. et al., Phytochemistry, 1979, 18, 1741- 1742
    68. Banerjee, D.K.J. Indian Chem. Soc., 1972, 49, 1
    69. De Mayo, P. et al., Can. J. Chem., 1965, 43, 1357
    70. de Oliviera, A.B. et al., Phytochemistry, 1974, 13, 1199- 1204
    71. Itokawa, H. et al., Chem. Lett., 1983, 1253
    72. Iijima, T. et al., Chem. Pharm. Bull., 2003, 51, 545- 549
    73. Wang, Y.-F. et al., Chem. Biodiversity, 2007, 4, 925- 931
    74. Tada, M. et al., Bull. Chem. Soc. Jpn., 1977, 50, 463- 465
    75. Bilayet Hossain, M. et al., JACS, 1968, 90, 6607
    76. Hackl, T. et al., Phytochemistry, 2004, 65, 2261- 2275
    77. Pinder, A.R. Prog. Chem. Org. Nat. Prod. (1977) 34, 82.
    78. Paul, C. et al., Phytochemistry, 2001, 58, 789- 798
    79. Wu, C.-L. et al., Phytochemistry, 1992, 31, 4213
    80. Bishara, A. et al., J. Nat. Prod., 2008, 71, 375- 380
    81. Wang, G.-H. et al., Chem. Pharm. Bull., 2010, 58, 30- 33
    82. Schulte KE, Glauch G, Rücker G (1965). «Nardosinon, ein neuer Inhaltsstoff von Nardostachys chinensis Batalin» [Nardosinone, a new constituent of Nardostachys chinensis Batalin]. Tetrahedron Letters (en alemán) 6 (35): 3083-3084. PMID 5828044. doi:10.1016/S0040-4039(01)89226-1.
    83. Romo et al. The constituents of Cacalia decomposita A. Gray. Structures of cacaloland cacalone. Tetrahedron (1964) 20:2331-2337
    84. Fischer, N.H. et al. (1990) Recent Adv. Phytochem., 24, 161
    85. Spring, O. et al., Phytochemistry, 1995, 39, 609- 612
    86. Díaz, O.J. et al., Phytochemistry, 2004, 65, 2557- 2560
    87. Nyasse, B. et al., Phytochemistry, 1988, 27, 3319- 3321
    88. Xu, F. et al., J. Nat. Prod., 2004, 67, 569- 576
    89. Ahmed, A.F. et al., J. Nat. Prod., 2005, 68, 1208- 1212
    90. Chakraborty, K. et al., Eur. J. Med. Chem. (Chim. Ther.), 2010, 45, 2237- 2244
    91. Yoshikawa, M. et al., Chem. Pharm. Bull., 1998, 46, 1186- 1188
    92. Thiessen, W.E.Acta Cryst. B, 1977, 33, 3838- 3842
    93. Nagashima, F. et al., Phytochemistry, 2005, 66, 1662- 1670
    94. Herz, W. et al., JOC, 1966, 31, 3232
    95. Nerali, S.B. et al., Tet. Lett., 1967, 8, 2447- 2449
    96. Ruecker, G. et al., Phytochemistry, 1976, 15, 224
    97. Sonwa, M.M. et al., Phytochemistry, 2001, 58, 799- 810
    98. Bos, R. et al., Phytochemistry, 1986, 25, 133-
    99. Bohlmann, F. et al., Chem. Ber., 1980, 113, 2410-
    100. Hashidoko, Y. et al., Phytochemistry, 1991, 30, 3729- 3739; 1993, 32, 387- 390
    101. Macìas, F.A. et al., J. Nat. Prod., 2000
    102. Fraga, B.M. (1989) in Studies in Natural Products Chemistry, (ed. Atta-ur-Rahman) Elsevier, Amsterdam, p. 721.
    103. Gonzaléz, A.G. et al. (1995), Prog. Chem. Org. Nat. Prod., 64, 1.
    104. Hu, Y.-M. et al., Phytochemistry, 2008, 69, 2367- 2373
    105. Magnani, R.F. et al., Z. Naturforsch., C, 2003, 58, 319- 324
    106. Z. Yang et al. Chem. Pharm. Bull., 2011, 59, 1430.
    107. J. Ascari et al., J. Nat. Prod., 2011, 74, 1007.
    108. Weber, D. et al., Z. Naturforsch., C, 2006, 61, 663- 669
    109. Castillo, et al., Phytochemistry, 1997,44, 901
    110. Nozoe, S. et al., Tet. Lett., 1977, 1381
    111. Yang et al. Yaoxue Xuebao, 1991, 26, 117 (Chem. Abstr., 1991, 115, 89082).
    112. Arnone et al., J. Chem. Soc., Perkin Trans. 1, 1991, 1787.
    113. Weber, D. et al., Z. Naturforsch., C, 2006, 61, 663- 669
    114. Yoshikawa, K. et al., Chem. Pharm. Bull., 2009, 57, 311- 314
    115. Ayer et al. Tetrahedron Lett., 1980, 21, 1917
    116. Wang, G.-Y.-S. et al., Tetrahedron, 1998, 54, 7335- 7342
    117. Gao, J. et al., Acta Pharm. Sci., 1992, 27, 33- 36
    118. Seto, H. et al., Tet. Lett., 1978, 19, 4411- 4412
    119. Lin, L.-G. et al., J. Nat. Prod., 2008, 71, 628- 632
    120. Hu, J.-F. et al., J. Antibiot., 2003, 56, 747- 754
    121. Jurek, J. et al., J. Nat. Prod., 1993, 56, 508- 513
    122. Bohlmann, F. et al., Phytochemistry, 1978, 17, 1669
    123. Bohlmann, F. et al., Phytochemistry, 1983, 22, 503
    124. De Pascual Teresa, J. et al., Phytochemistry, 1986, 25, 1185- 1190
    125. Dev, S. Prog. Chem. Org. Nat. Prod. (1981) 40:49.
    126. Akiyoshi, S. et al., Tetrahedron, 1960, 9, 237- 239
    127. Barlow, A.J. et al., J. Nat. Prod., 2005, 68, 825- 831
    128. Naegeli, P. et al., Tet. Lett., 1970, 11, 5021- 5024
    129. Akhila, A. et al., Tet. Lett., 1986, 27, 5885- 5888
    130. De Pascual Teresa, J. et al., Phytochemistry, 1986, 25, 703
    131. Yaoita, Y. et al., Chem. Pharm. Bull., 2003, 51, 1003- 1005
    132. Asakawa, Y. et al., Phytochemistry, 1978, 17, 457- 460
    133. Asakawa, Y. et al., J. Chem. Res., Synop., 1987, 82
    134. Connolly, J.D.Proc. Phytochem. Soc. Eur., 1990, 29, 41
    135. Tori, M. et al., Phytochemistry, 1993, 32, 335
    136. Fischer, N.H. et al. Prog. Chem. Org. Nat. Prod. (1979) 38: 47.
    137. Zhao, W. et al., J. Nat. Prod., 2001, 64, 1196- 1200
    138. Clark, E.P.JACS, 1935, 57, 1111
    139. Jarboe, C.H. et al., J. Med. Chem., 1968, 11, 729- 731
    140. Howard, B.M. et al., Phytochemistry, 1979, 18, 1224- 1225
    141. Paul, C. et al., Phytochemistry, 2001, 57, 307- 313
    142. El Dahmy, S. et al., Tetrahedron, 1985, 41, 309
    143. Ayer, W.A. et al., Tetrahedron, Suppl., No. 1, 1981, 379
    144. Magnusson, G. et al., Acta Chem. Scand., 1973, 27, 1573; 2396
    145. Cruz, Can. J. Chem., 1997, 75, 834.
    146. Bosetti, A. et al., Phytochemistry, 1989, 28, 1427
    147. Daniewski, W.M. et al., Bull. Acad. Pol. Sci., Ser. Sci. Chim., 1975, 23, 639- 641
    148. Daniewski, W.M. et al., Bull. Acad. Pol. Sci., Ser. Sci. Chim., 1970, 18, 585
    149. Sterner, O. et al., Tetrahedron, 1990, 46, 2389
    150. Ayer, W. A.; Cruz, E. R. J. Org. Chem. (1993) 58:7529–7534.
    151. Liu, D.-Z. et al., J. Nat. Prod., 2007, 70, 1503- 1506
    152. Chung et al. Bull.Chem. Soc. Jpn., 2011, 84, 119
    153. Ayanoglu, E. et al., Tetrahedron, 1979, 35, 1035- 1039
    154. Norte, M. et al., Tet. Lett., 1994, 35, 4607
    155. Chang, C.-H. et al., J. Nat. Prod., 2008, 71, 619- 621
    156. Pedras, M.S.C. et al., Bioorg. Med. Chem. Lett., 1999, 9, 3291- 3294
    157. Pedras, M.S.C. et al., Bioorg. Med. Chem., 2005, 13, 2469- 2475
    158. Weyerstahl, P. et al., Phytochemistry, 1991, 30, 3349
    159. Bohlmann, F. et al., Phytochemistry, 1982, 21, 1331
    160. Collado et al. Nat. Prod. Rep.,1998, 15, 187
    161. Weyerstahl, P. et al., Eur. J. Org. Chem., 1998, 1205- 1212
    162. Bohlmann, F. et al., Phytochemistry, 1983, 22, 1623
    163. Yoshihara, K. et al., Bull. Chem. Soc. Jpn., 1975, 48, 2078
    164. Bohlmann, F. et al., Phytochemistry, 1980, 19, 579- 582
    165. Zalkow, L.H. et al., J. Nat. Prod., 1979, 42, 96
    166. Nakagawa, M. et al., Agric. Biol. Chem., 1984, 48, 2279- 2283
    167. Ranieri, R.L.Tet. Lett., 1978, 19, 499- 502
    168. Hikino, H. et al., Tet. Lett., 1967, 5069
    169. Ngo, K.-S. et al., Phytochemistry, 1999, 50, 1213- 1218
    170. Buchbauer, G. et al., Annalen, 1990, 119- 121
    171. de Mayo, P. et al., JACS, 1965, 87, 3275
    172. Homma, A. et al., Tet. Lett., 1970, 231
    173. Beechan, C.M. et al., Tet. Lett., 1977, 2395- 2398
    174. Braekman, J.C. et al., Tetrahedron, 1981, 37, 179- 186
    175. Kapadia, V.H. et al., Tet. Lett., 1967, 4661
    176. Bohlmann, F. et al., Phytochemistry, 1981, 20, 1649
    177. Raldugin, V.A. et al., Khim. Prir. Soedin., 1981, 17, 163- 169; Chem. Nat. Compd. (Engl. Transl.), 124- 129
    178. Yin et al. Nat.Prod. Bioprospect., 2011, 1, 75
    179. Ito, S. et al., Tet. Lett., 1974, 1041- 1043
    180. Cheng, S.-Y. et al., J. Nat. Prod., 2007, 70, 1449- 1453
    Este artículo ha sido escrito por Wikipedia. El texto está disponible bajo la licencia Creative Commons - Atribución - CompartirIgual. Pueden aplicarse cláusulas adicionales a los archivos multimedia.