Síntesis de pirroles de Hantzsch
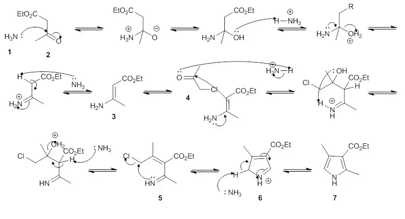
La Síntesis de pirroles de Hantzsch es un método de síntesis orgánica que consiste en la preparación de pirroles sustituidos (3) a partir de β-cetoésteres (1) con α-halocetonas (2) en presencia de amoniaco (o aminas primarias). La describió por primera vez el químico Arthur Rudolf Hantzsch.[1][2]

The Hantzch pyrrole synthesis
Mecanismo
El método consiste en 4 etapas:[3]
- 1) Se forma de la base de Schiff entre el amoniaco y el α-cetoéster. La imina se encuentra en equilibrio con su enamina.
- 2) La enamina se condensa con el carbonilo de la α-halocetona, formando la imina α,β-insaturada.
- 3) El nitrógeno de la imina reacciona con el carbono unido al halógeno en una reacción de SN2
- 4)Se elimina el protón disponible en la posición 2 del pirrol formado para dar el producto aromático.

Mechanism for the Hantzsch Pyrrole Synthesis
Véase también
- Síntesis de pirroles de Knorr
- Síntesis de Paal-Knorr
Referencias
- Hantzsch, A. Ber. 1890, 23, 1474.
- Feist, F. Ber. 1902, 35, 1538.
- Jie Jack Li (2009). Name Reactions. A Collection of Detailed Reaction Mechanisms 4th Edition. Berlin, De: Springer. ISBN 978-3-642-01052-1.
Este artículo ha sido escrito por Wikipedia. El texto está disponible bajo la licencia Creative Commons - Atribución - CompartirIgual. Pueden aplicarse cláusulas adicionales a los archivos multimedia.