Rodanasa
La rodanasa es una enzima mitocondrial (EC 2.8.1.1) cuyo nombre sistemático es tiosulfato sulfurotransferasa. Esta enzima detoxifica el cianuro (CN-) convirtiéndolo en tiocianato (SCN-).[1]
| Rodanasa | ||||
|---|---|---|---|---|
![]() | ||||
| Estructuras disponibles | ||||
| PDB | ||||
| Identificadores | ||||
| Identificadores externos |
Bases de datos de enzimas
| |||
| Número EC | 2.8.1.1 | |||
| Ortólogos | ||||
| Especies |
| |||
| PubMed (Búsqueda) |
| |||
| PMC (Búsqueda) |
| |||
| Dominio similar a rodanasa | ||
|---|---|---|
| Identificadores | ||
| Símbolo | Rodanasa | |
| Pfam | PF00581 | |
| InterPro | IPR001763 | |
| PROSITE | PDOC00322 | |
| SCOP | 2ora | |
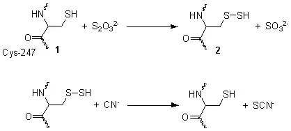
Esta reacción ocurre en dos etapas. El diagrama de la derecha muestra la estructura determinada por cristalografía de rayos X de la rodanasa. En el primer paso, el tiosulfato reacciona con el grupo tiol de la cisteína-247 1, para formar un disulfuro 2. En el segundo paso, el disulfuro reacciona con el cianuro para producir tiocianato, mientras que simultáneamente se autoconvierte nuevamente a su estado tiol normal 1.

Esta reacción es importante como mecanismo de detoxificación del cianuro, ya que el tiocianato formado es relativamente inocuo. El uso de una solución de tiosulfato como antídoto para el envenenamiento con cianuro se basa en la activación de este ciclo enzimático.
La rodanasa comparte relaciones evolutivas con un gran número de proteínas, entre las que se incluyen:
- Cdc25 dominio catalítico fosfatasa.
- dominios no catalíticos de las fosfatasas MAPK de especificidad dual
- dominios no catalíticos de las fosfatasas MAPK de levadura tipo PTP
- dominios no catalíticos de enzimas de levadura Ubp4, Ubp5, Ubp7
- dominios no catalíticos de enzimas de mamíferos Ubp-Y
- proteína de choque térmico de Drosophila HSP-67BB
- varias proteínas bacterianas de choque por frío y fagos
- proteínas asociadas a la senescencia de plantas
- dominios catalíticos y no catalíticos de rodanasas .
La rodanasa es producto de una duplicación interna. Este dominio se encuentra en forma de copia simple en otras proteínas, incluyendo a fosfatasas y ubiquitin hidrolasas C-terminales.[2]
Proteínas humanas que contienen este dominio
CDC25A; CDC25B; CDC25C; DUSP; DUSP1; DUSP10; DUSP16; DUSP2; DUSP4; DUSP5; DUSP6; DUSP7; KAT; MKP7; MOCS3; MPST; TBCK; TSGA14; TST; USP8;
Referencias
- Cipollone R, Ascenzi P, Tomao P, Imperi F, Visca P (2008). «Enzymatic detoxification of cyanide: clues from Pseudomonas aeruginosa Rhodanese». J. Mol. Microbiol. Biotechnol. 15 (2-3): 199-211. PMID 18685272. doi:10.1159/000121331.
- Gliubich F, Gazerro M, Zanotti G, Delbono S, Bombieri G, Berni R (1996). «Active site structural features for chemically modified forms of rhodanese». J. Biol. Chem. 271 (35): 21054-21061. PMID 8702871. doi:10.1074/jbc.271.35.21054.
- F. Gliubich, M. Gazerro, G. Zanotti, S. Delbono, G. Bombieri, R. Berni (1996). «Active Site Structural Features for Chemically Modified Forms of Rhodanese». Journal of Biological Chemistry 271 (35): 21054-21061. PMID 8702871. doi:10.1074/jbc.271.35.21054.
