Transposición de Curtius
La transposición de Curtius es una reacción química que permite la obtener una amina primaria a partir de una azida de acilo. La reacción ocurre mediante un mecanismo de reacción complejo, muy parecido al de la transposición de Hofmann, que incluye la trasposición del grupo alquilo. La reacción recibe su nombre en honor a Theodor Curtius, su descubridor.[1]
Mecanismo de reacción
A) Preparación de la azida de acilo
La azida ataca el carbono del acilo mediante un mecanismo de adición nucleofílica (AN) y posteriormente se elimina el cloruro formándose la azida de acilo.[2]

B) Formación de isocianato
Al calentarse la azida de acilo se produce la transposición del resto alquilo y la eliminación de nitrógeno gaseoso formándose isocianato.[2]

C) Formación de ácido carbámico
Al agregarse agua se produce la adición nucleofílica (AN) de un oxhidrilo sobre el carbono y la posterior monoprotonación del nitrógeno (reacción ácido-base) producen el intermediario de reacción ácido carbámico.[2]

D) Obtención de la amina primaria
El grupo carboxilo del ácido carbámico en la solución alcalina se desprotona (reacción ácido-base) y expontáneamente se produce el clivaje de la molécula obteniéndose dióxido de carbono y una amina primaria.[2]

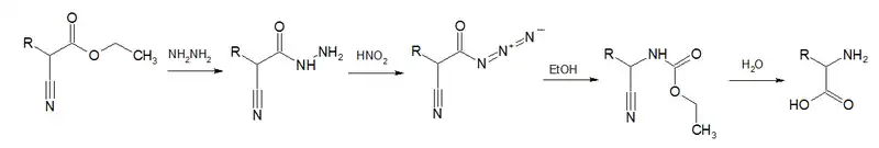
Degradación de Darapsky
En la Degradación de Darapsky (A. Darapsky, 1936) se aplica una transposición de Curtius en uno de los pasos de síntesis de aminoácidos a partir de α-cianoésteres.[3]
Referencias
- Curtius, T. (1894). "20. Hydrazide und Azide organischer Säuren I. Abhandlung". Journal fër Praktische Chemie 50: 275–294
- McMurry, John (2004). «Aminas». Química Orgánica (sexta edición). Thompson. pp. 909-911. ISBN 970-686-354-0.
- https://web.archive.org/web/20080502062248/http://www.chempensoftware.com/reactions/RXN051.htm
