Reacción de Vilsmeier-Haack

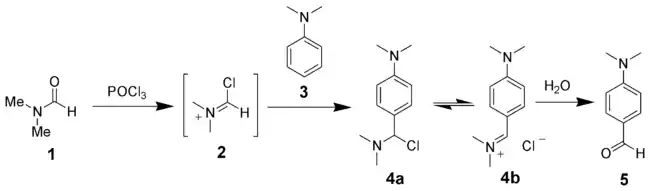
La reacción de Vilsmeier-Haack es una reacción química de una amida sustituida (1) con tricloruro de fosforilo y un areno activado (3) para dar un aril aldehído o cetónico (5). La reacción de la amida sustituida con el tricloruro de fosforilo da un ion cloroiminio sustituido (2), también llamado reactivo de Vilsmeier. El producto inicial es un ion iminio (4b), que se hidroliza en su correspondiente cetona aromática o aldehído.

The Vilsmeier-Haack reaction
The Vilsmeier-Haack reaction

Por ejemplo: El antraceno junto con N-metilamina y tricloruro de fosforilo añade un grupo formilo exclusivamente en posición 9.

Mecanismo de reacción

La reacción de la amida con el tricloruro de fosforilo produce un catión iminio electrófilo. La consecuente sustitución aromática electrófila produce un ion iminio intermedio, que se hidroliza para dar la aril cetona o aril aldehído.

Aplicaciones

Una aplicación de esta reacción es una nueva ruta de síntesis para la tris-(4-formilfenil) amina a partir de trifenilamina. Esta reacción es causada por la desactivación del anillo restante del benceno por los grupos de la imina en los otros dos grupos fenilos en el tercer paso de formilación. El procedimiento se modificó dirigiendo la reacción para dar un compuesto de diimina seguido por su hidrólisis para dar un compuesto diformilo y entonces, una vez reactivada la posición final, se lleva a cabo una formilación separada del compuesto trisustituido.

Este artículo ha sido escrito por Wikipedia. El texto está disponible bajo la licencia Creative Commons - Atribución - CompartirIgual. Pueden aplicarse cláusulas adicionales a los archivos multimedia.