Reacción de Perkin
La reacción de Perkin es una reacción orgánica desarrollada en 1878 por el químico inglés sir William Henry Perkin que es muy utilizada para sintetizar derivados del ácido cinámico, por ejemplo ácidos aromáticos α,β-insaturados por una condensación aldólica de benzaldehídos y un anhídrido carboxílico en la presencia de una sal alcalina del ácido.[1][2]

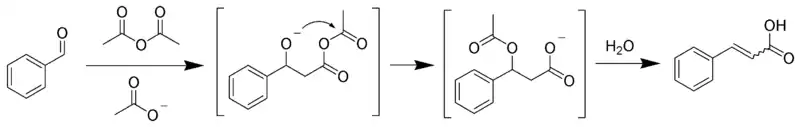
The Perkin reaction
Varios estudios se han reportado.[3][4][5] La reacción del ácido fenilacético y el benzaldehído con trietilamina y anhídrido acético a ácido α-fenilcinámico es un ejemplo representativo de esta reacción.
Mecanismo de reacción

El mecanismo expuesto no es universalmente aceptado; hay una versión que postula una descarboxilación sin transferencia del grupo acético.[6]
Referencias
- Perkin, W. H.; J. Chem. Soc. 1868, 21, 53, 181-186.
- Perkin, W. H.; J. Chem. Soc. 1877, 31, 660-674.
- Johnson, J. R.; Org. React. 1942, 1, 210. (Review)
- House, H. O. Modern Synthetic Reactions (W. A. Benjamin, Menlo Park, California, 2nd ed, 1972) pp 660-663.
- Rosen, T.; Comp. Org. Syn. 1991, 2, 395-408. (Review)
- Bansal, Raj K. Organic Reaction Mechanisms, Tata McGraw Hill, 3rd Ed, 1998, pp. 199-201.
Véase también
- Síntesis de aminoácidos de Erlenmeyer-Plöchl
- Condensación de Stobbe
- Condensación aldólica
Este artículo ha sido escrito por Wikipedia. El texto está disponible bajo la licencia Creative Commons - Atribución - CompartirIgual. Pueden aplicarse cláusulas adicionales a los archivos multimedia.