Reacción de Mitsunobu
La reacción de Mitsunobu es una reacción orgánica que convierte un alcohol en una diversidad de grupos funcionales, tales como un éster, usando trifenilfosfina y azodicarboxilato de dietilo (DEAD).[1] El alcohol sufre una inversión de su estereoquímica. La reacción fue descubierta por el químico japonés Oyo Mitsunobu (1934–2003).

Mecanismo de reacción
El mecanismo de reacción de la reacción de Mitsunobu es bastante complejo. La identidad de los intermediarios y los roles que desempeñan han sido objeto de debate.
Inicialmente, la trifenilfosfina (2) ataca nucleofílicamente al azodicarboxilato de dietilo (1) produciendo una betaína intermediaria 3, la que deprotona al ácido carboxílico (4) para formar el par iónico 5. El DEAD mismo deprotona al alcohol (6) formando un alcóxido que puede formar el clave ion oxifosfonio 8. La razón e interconversión de los intermediarios 8 - 11 depende del pKa del ácido carboxílico y de la polaridad del solvente.[7][8][9] Aunque están presentes varios intermediarios de fósforo, el ataque al anión carboxilato a través del intermediario 8 es la única trayectoria productiva que forma el producto deseado 12 y el óxido de trifenilfosfina (13).

Hughes et al. encontraron que la formación del par iónico 5 es muy rápida. La formación del intermediario oxofosfonio 8 es lenta y facilitada por el alcóxido. En consecuencia, la velocidad global de reacción está controlada por la basicidad del carboxilato y la solvatación.[10]
Orden de adición de los reactivos
El orden de adición de los reactivos de la reacción de Mitsunobu puede ser importante. Típicamente, se disuelve el alcohol, el ácido carboxílico, la trifenilfosfina en tetrahidrofurano u otro solvente apropiado (por ejemplo, dietil éter), se enfría hasta 0 °C usando un baño de hielo, y se agrega lentamente el DEAD disuelto en THF, luego se agita a temperatura ambiente por varias horas. Si esto no es exitoso, preparar previamente la betaína puede dar mejores resultados. Para preparar la betaína, se agrega DEAD a trifenilfosfina en tetrahidrofurano a 0 °C, seguido de la adición de alcohol, y finalmente del ácido.[11]
Variaciones
Otros grupos funcionales nucleofílicos
Muchos otros grupos funcionales pueden servir como nucleófilos, además de los ácidos carboxílicos. Para que la reacción sea exitosa, el nucleófilo debe tener un pKa menor que 15.
| Nucleófilo | Producto |
| ácido hidrazoico | azida de alquilo |
| imida | imida sustituida[12] |
| fenol | alquil aril éter |
| sulfonamida | sulfonamida sustituida[13] |
Modificaciones
Una variación muy útil de la reacción de Mitsunoub usa trifenilfosfina unida a resina y di-t-butilazodicarboxilato en vez de DEAD. La trifenilfosfina oxidada puede ser eliminada por filtración, y el di-t-butilazodicarboxilato se elimina por tratamiento con ácido trifluoroacético.[14] Bruce H. Lipshutz desarrolló un agente reciclable (DCAD) que puede ser eliminado fácilmente por filtración.[15]
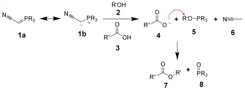
Reactivos fosforano
alkylphosphorane.svg.png.webp)
Tsunoda et al. han demostrado que se puede combinar la trifenilfosfina y el azodicarboxilato de dietilo en un reactivo: un iluro fosforano. Tanto el (cianometilen)trimetilfosforano (CMMP) y el (cianometilen)tributilfosforano (CMBP) han mostrado ser particularmente efectivos.[16]

El iluro actúa tanto como agente reductor y como base. Los subproductos son el acetonitrilo (6) y el óxido de trialquilfosfina (8).
Usos
La reacción de Mitsunobu ha sido utilizada en la síntesis de éteres de arilo:[17]

Con estos reactantes particulares, la conversión con DEAD falla, debido a que el fenol es sólo débilmente ácido. En cambio, se usa la 1,1'-(azodicarbonil)dipiperidina o ADDP, estructuralmente relacionada, de la que el intermediario betaínico es una base más fuerte. La fosfina es un trifenilfosfina en soporte polimérico (PS PPh3).
Véase también
Referencias
- Mitsunobu, O.; Yamada, Y. Bull. Chem. Soc. Japan 1967, 40, 2380-2382.
- The Use of Diethyl Azodicarboxylate and Triphenylphosphine in Synthesis and Transformation of Natural Products Mitsunobu, O. Synthesis 1981, 1-28. (Review)
- Castro, B. R. Org. React. 1983, 29, 1. (Review)
- Hughes, D. L. Org. React. 1992, 42, 335-656. (Review)
- Hughes, D. L. Org. Prep. 1996, 28, 127-164. (Review)
- Kumara Swamy, K. C.; Bhuvan Kumar, N. N.; Balaraman, E.; Pavan Kumar, K. V. P., "Mitsunobu and Related Reactions: Advances and Applications" Chem. Rev. 2009, 109, 2551-2651.
- Grochowski, E. H., B. D.; Kupper, R. J.; Michejda, C. J. J. Am. Chem. Soc. 1982, 104, 6876-6877. (doi 10.1021/ja00388a110)
- Camp, D. J., I. D. J. Org. Chem. 1989, 54, 3045-3049. (doi 10.1021/jo00274a016)
- Camp, D. J., I. D. J. Org. Chem. 1989, 54, 3049-3054. (doi 10.1021/jo00274a017)
- Hughes, D. L. R., R. A.; Bergan, J. J.; Grabowski, E. J. J. J. Am. Chem. Soc. 1988, 110, 6487-6491. (doi 10.1021/ja00227a032)
- Volante, R. Tetrahedron Lett. 1981, 22, 3119.
- Hegedus, L. S.; Holden, M. S.; McKearin, J. M. Organic Syntheses, Coll. Vol. 7, p.501 (1990); Vol. 62, p.48 (1984). (Article)
- Kurosawa, W.; Kan, T.; Fukuyama, T. Organic Syntheses, Coll. Vol. 10, p.482 (2004); Vol. 79, p.186 (2002). (Article)
- Tetrahedron Lett. 2000, 41, 797-800.
- http://pubs.acs.org/cgi-bin/abstract.cgi/orlef7/2006/8/i22/abs/ol0618757.html
- Tsunoda, T.; Nagino, C.; Oguri, M.; Itô, S. Tetrahedron Lett. 1996, 37, 2459.
- Humphries, P. S.; Do, Q. -Q. T.; Wilhite, D. M. (2006). «ADDP and PS-PPh3: an efficient Mitsunobu protocol for the preparation of pyridine ether PPAR agonists». Beilstein Journal of Organic Chemistry (en inglés) 2 (21): 21. PMC 1705810. PMID 17076898. doi:10.1186/1860-5397-2-21.
Enlaces externos
- The Mitsunobu Reaction Archivado el 3 de noviembre de 2013 en Wayback Machine. por Kevin Jantzi