Reacción de Fujimoto-Belleau
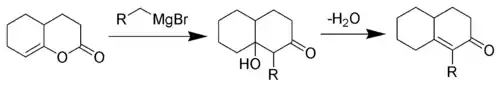
La Reacción de Fujimoto-Belleau es una reacción orgánica que forma cetonas cíclicas α-sustituidas α,β-insaturadas a partir de lactonas enólicas. La reacción toma su nombre de los químicos George I. Fujimoto y Bernard Belleau.

The Fujimoto-Belleau reaction
Esta reacción es una reacción de Grignard seguida de un intercambio protónico, una tautomería ceto-enólica, y una condensación aldólica. El último paso es la eliminación por medio de un mecanismo E1CB.

Mecanismo de reacción de la Reacción de Fujimoto-Belleau
Referencias
- George I. Fujimoto (1951). «Labeling of Steroids in the 4-Position». J. Am. Chem. Soc. 73: 1856-1856. doi:10.1021/ja01148a518.
- Bernard Belleau (1951). «The Reaction of Methylmagnesium Iodide with β-(1-Hydroxy-3,4-dihydro-2-naphthyl)-butyric Acid Lactone». J. Am. Chem. Soc. 73: 5441-5443. doi:10.1021/ja01155a504.
- Weill-Raynal, J. Synthesis 1969, 49.
Este artículo ha sido escrito por Wikipedia. El texto está disponible bajo la licencia Creative Commons - Atribución - CompartirIgual. Pueden aplicarse cláusulas adicionales a los archivos multimedia.