Poranterina
La poranterina es un alcaloide piridinilquinolizínico aislado de las hojas del arbusto Poranthera corymbosa (Euphorbiaceae); [α]D = +29 (c, 0.35 en cloroformo)[2]
| (+)-Poranteína | ||
|---|---|---|
![]() | ||
| Nombre IUPAC | ||
| 3a,4,5,6,7,8,9,9a-Octahidro-9a-metil-1H-1,6a-etanopirido[2,1,6-de]quinolizina | ||
| General | ||
| Fórmula estructural |
![]() | |
| Fórmula molecular | C15H23N | |
| Identificadores | ||
| Número CAS | 33529-61-2[1] | |
| PubChem | 101306875 | |
| Propiedades físicas | ||
| Masa molar | 217,353 g/mol | |
| Punto de fusión | 37 °C (310 K) | |
| Valores en el SI y en condiciones estándar (25 ℃ y 1 atm), salvo que se indique lo contrario. | ||
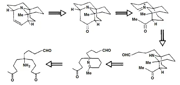
Síntesis
Corey y colaboradores propusieron la síntesis de la poranterina de acuerdo al siguiente esquema retrosintético:[3]

Referencias
- Número CAS
- Johns, S.R. et al., Aust. J. Chem., 1974, 27, 2025
- Corey et al. J. Am. Chem. Soc., 1974, 96 (20), pp 6516–6517
Este artículo ha sido escrito por Wikipedia. El texto está disponible bajo la licencia Creative Commons - Atribución - CompartirIgual. Pueden aplicarse cláusulas adicionales a los archivos multimedia.
