Polímero semiconductor
Los Polímeros semiconductores actúan de manera similar a los semiconductores dopados con silicio o germanio. Su conductividad se encuentra en el rango intermedio entre los aislantes y los conductores. Existen 3 tipos de semiconductores: Expromero, Ipromero y Uimero.
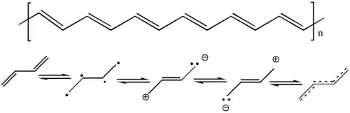
La semiconducción en polímeros es un efecto debido a la deslocalización de electrones π en una secuencia alternante de enlaces sencillos y dobles, por ejemplo:

Historia
En 1975 Hideki Shirikawa preparó un sistema completamente formado por cadenas unidas en posición trans, con lo cual quedaban electrones π conjugados y por lo tanto con deslocalización, formó películas de poliacetileno y a estas las trató con halógenos: halogenación y deshalogenación.
Para analizar las cadenas polímericas planeó el uso de análisis del espectro infrarrojo, sin embargo el espectrómetro no detectó ningún espectro del material, sino una absorción del 100% cuando el Halógeno de Cloro fue añadido. Shirikawa reconoce que al principio no pensó que el cloro podría ser un portador de cargas y por tanto ser el primer polímero conductor de la historia.
MacDiarmid y Heeger descubrieron que los poliacetilenos de Shirikawa podían ser dopados con: I2, Br2, AsF5, etc.
Los enlaces podían ser Cis o Trans, mientras fueran enlaces conjugados.

Trans
Cis
- Sin dopaje: 10-8-10-7 Sm-1
- Dopado: 102-103 Sm-1
Conducción

Los metales conducen, según la teoría de bandas debido a que no hay separación entre las bandas de valencia y las bandas de conducción, en cambio en los aislantes estas bandas están separadas y necesitan tener un exceso de energía para conducir. Los polímeros que naturalmente son aislantes, gracias a la interacción de enlaces alternantes sencillos y dobles se crea un espacio entre las bandas "Homo" y "Lumo", es decir, entre la banda de valencia y de conducción.
Por medio del dopaje, se logra la creación de portadores "libres" que actúan ya sea en oxidación o en reducción. Se forman radicales cationes o aniones.
La tarea del agente de dopaje es añadir o eliminar electrones en la cadena de polímero por medio de una reacción de tipo redox.
Igual que en los semiconductores tradicionales, se puede hablar de dopajes n y p, donde P es un dopaje oxidativo y n es uno reductivo.
Con el dopaje se logran establecer niveles de energía intermedios permisibles entre las bandas, donde los radicales, cationes o aniones permiten el flujo de electrones.
Si el radical es neutral, entonces se llama solitón neutral, sin embargo son también posibles cargas localizadas sin radical, estas son llamadas solitón positivo (catión) y solitón negativo (anión).
La conductividad eléctrica en polímeros se relaciona según la siguiente ecuación: donde:
- n: Densidad de carga de los portadores (agujeros / electrones)
- e: Carga de los portadores
- μ: Movilidad de carga de los portadores
Las características del transporte de cargas se ven afectadas por los efectos de desorden, de manera que la mayor entropía produce menor conducción, sin embargo producir un polímero completamente ordenado es imposible, por lo menos a corto plazo, debido a los procesos de relajación. Por ejemplo, el poli(3-alquil tiofeno) incrementa su conductividad de 10-5 a 10-2 cm²/Vs cuando las moléculas se ordenan.
Mientras que los metales y los semiconductores convencionales decrementan su conductividad al aumentar la temperatura, los polímeros incrementan su conductividad al aumentar la temperatura. Esto se debe a que se alcanza la energía necesaria para lograr la deslocalización de las cargas y es muy fácil para ellas intercambiarse entre segmentos de la cadena.
Ejemplos de polímeros que se utilizan como semiconductores:
Aplicaciones
- Antiestáticos, Nervios artificiales, Baterías, Superficies conductoras, Condensadores, partes conductoras (botellas, películas, cables, filamentos, láminas, etc.), Protección anticorrosiva, Almacenamiento de datos, Recubrimiento de electrodos, Componentes electrónicos, Transistores de efecto de campo, Fluidos electroreológicos, Diodos, Material óptico no lineal, Encendedores óptico electrónicos, Equipos fotovoltaicos, Fotoresistores, Sensores, Adhesivos y Soldaduras conductoras.
Referencias
- J. Am. Chem. Soc. 2002, 124, 9978. Macromol. Chem. Phys. 2003, 204, 40.
- Sirringhaus, H. et al. Nature 2001, 410, 189.
- H. Shirakawa, E.J. Louis, A.G. MacDiarmid, C.K. Chiang, A.J. Heeger J. Chem. Soc. Chem. Comm. 1977, 579.
- T. Ito, H. Shirakawa, S. Ikeda J. Polym. Sci., Polym. Chem. Ed. 1974, 12, 11-20.
- J. Polym. Sci., Polym. Chem. Ed. 1974, 12, 11-20.
- Y. Cao, A. Andreatta, A.J. Heeger, P. Smith. Polymer 1989, 30, 2305.
- A. Watanabe Macromolecules 1989, 22, 3521.
- F. Wudl et al. Materials for Nonlinear Optics; ACS Symposium Series 455; Chapter 46, p. 683
- D.R. Gagnon, J.D. Capistran, F. Karasz, R.W.Lenz. Polymer Bulletin 1984, 12, 293.
- R. C. Cabriales, Luminiscencia en polímeros semiconductores, Ingenierías,2004, 7, 12.