Piridinio
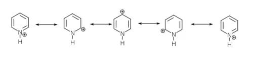
El piridinio es el ácido conjugado de la piridina y por lo tanto, es un catión. El mismo se produce debido a la protonación del nitrógeno anular como resultado de la adición de un sustituyente al nitrógeno anular, normalmente a través de una alquilación. El par solitario de electrones en el átomo de nitrógeno de la piridina no se encuentra deslocalizado y por lo tanto la piridina puede ser fácilmente protonada. La piridina, es normalmente utilizada como una base orgánica en reacciones químicas, y entonces el ion piridinio se produce como un contra-ion al grupo saliente en la reacción. Este complejo es muchas veces insoluble en el solvente orgánico en el cual tiene lugar la reacción, por lo que la precipitación del complejo piridinio-grupo saliente es un indicador del progreso de la reacción.

| Piridinio | ||
|---|---|---|
![]() | ||
| Fórmula molecular | ? | |
| Identificadores | ||
| Número CAS | 16969-45-2[1] | |
| ChemSpider | 4169387 | |
| PubChem | 4989215 | |
| Propiedades físicas | ||
| Masa molar | 80,050024 g/mol | |
El piridinio posee un papel importante en la acilación de Friedel-Crafts. Cuando se encuentra en presencia de piridina, forma un complejo con el ion acilio (electrófilo), favoreciendo la reacción. El pKa de la cupla piridinio / piridina es de 5,23.
