Novichok
Novichok (en ruso новичо́к: 'Novato') es una familia de agentes nerviosos que se desarrollaron en la Unión Soviética en los años 1970 y 1980. Algunas fuentes los califican como los agentes nerviosos más mortales que jamás se hayan hecho, con algunas variantes posiblemente cinco a ocho veces más potente que el "VX", aunque esto nunca ha sido probado.[1] Su utilización está prohibida por la Convención sobre Armas Químicas.
Desarrollo
Uno de los supuestos creadores de la sustancia, Vil Mirzayánov, fue en 1992 el primero en informar sobre el desarrollo del novichok ('novato') en una entrevista para un diario ruso. Según Mirzayánov, que emigró a los Estados Unidos en la década de 1990, el programa para desarrollar nuevos tipos de armas químicas comenzó en 1973. Más de 200 químicos e ingenieros participaron en el desarrollo de estas armas.[2] Agentes nerviosos de tipo novichok se produjeron y se patentaron en Estados Unidos como armas químicas, la última patente data del 1 de diciembre de 2015.[3]
Pertenecen a las "armas químicas de cuarta generación", designado como parte del programa soviético secreto denominado «Foliant» instalado en Pavlodar, Kazajistán.[4] Inicialmente designado K-84 y más tarde llamado A-230. La familia novichok comprende más de un centenar de variantes estructurales (fórmula desarrollada). De todas las variantes, la más potente, desde un punto de vista militar, fue el A-232 (más conocido como novichok-5).[5]
Objetivos de los agentes novichok
Estos agentes fueron diseñados para alcanzar tres objetivos:
- Ser indetectables usando métodos estándar de detección química (armas químicas) de la OTAN;
- Superar el equipo de protección química de la OTAN;
- Ser más seguros de manipular y transportar.
Algunos de estos agentes son armas binarias, donde los precursores para agentes nerviosos se mezclan en una munición para producir el agente justo antes de su uso. Debido a que los precursores son generalmente mucho menos peligrosos que los propios agentes, esta técnica hace que el manejo y transporte de las municiones sea mucho más simple. Además, los precursores de los agentes son por lo general mucho más fáciles de estabilizar que los propios agentes, por lo que esta técnica también hizo posible aumentar la fecha de caducidad de los agentes.
Descubrimiento y revelación
Armas químicas extremadamente potentes de cuarta generación se han desarrollado en la Unión Soviética de los años 1970 hasta principios de 1990, según una publicación por dos químicos, Lev Fiódorov y Vil Mirzayánov en el diario ruso Moskóvskiye Nóvosti, en 1992. La publicación apareció justo en vísperas de la firma de la Convención sobre Armas Químicas de Rusia. Según Mirzayánov, el complejo químico militar ruso MCC estaba utilizando el dinero recibido de la OTAN y de la UE para el desarrollo de instalaciones de armas químicas. Mirzayánov hizo la divulgación refiriéndose a los problemas ambientales. Fue jefe de un departamento de contraespionaje y realizó mediciones fuera de las instalaciones de armas químicas para asegurarse de que los espías extranjeros no podían detectar cualquier rastro de la producción. Para su horror, los niveles de sustancias mortales fueron 80 veces mayor que la concentración máxima de seguridad.
La existencia de agentes novichok fue admitido abiertamente por el complejo industrial-militar ruso, cuando las autoridades abrieron un caso de traición contra Mirzayánov. Según los testimonios de tres testigos científicos expertos preparados para la KGB, "novichok" y otros agentes químicos relacionados se habían producido efectivamente y, por lo tanto, la divulgación por Mirzayánov fue representado por el delito de alta traición.
Vil Mirzayánov fue detenido el 22 de octubre de 1992, y enviado a la prisión de Lefórtovo por divulgar secretos de Estado.
Descripción de los agentes novichok
La primera descripción de estos agentes fue proporcionado por Mirzayánov. Se dispersan en un polvo ultra-fino en lugar de un gas o un vapor, que tienen cualidades únicas. Un agente binario se creía entonces, que debería imitar las mismas propiedades pero que cualquiera puede fabricar con materiales legales en virtud de la CWC o ser indetectable por las inspecciones del régimen de tratados. Los compuestos más potentes de esta familia, novichok-5 y novichok-7, se supone que son alrededor de 5-8 veces más potente que el VX.
Uno de los principales sitios clave de fabricación fue un instituto de investigación química ubicado en el actual Uzbekistán, y pequeñas armas o bombas experimentales con agentes novichok pueden haber sido probado en la meseta de Ustyurt.[6]
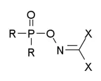
Dos grandes familias de agentes organofosforados han sido reclamados para ser los agentes novichok. En primer lugar son un grupo de compuestos orgánicos de fósforo con un grupo de dihaloformaldoxima adjunto, con la siguiente fórmula general mostrada a continuación, donde R = alquilo, alcoxi, alquilamino o flúor y X = halógeno (F, Cl, Br) o pseudohalógeno como C≡N. Estos compuestos están ampliamente documentados en la literatura soviética de la época, pero no está claro si son todos los miembros de los potentes compuestos "novichok".[7][8][9][10][11][12][13][14]

Los compuestos del primer grupo son algunos ejemplos (abajo) que están descritos en la literatura, pero no se sabe si alguno de estos sería exactamente novichok-5 o novichok-7.[15]

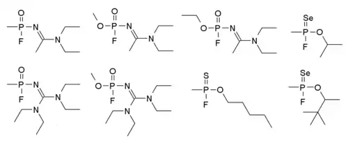
Mirzayánov da diferentes estructuras para los agentes novichok en su autobiografía, como se muestra a continuación. Él deja claro que se hizo un gran número de compuestos, y muchos de los derivados menos potentes descritos en la literatura como nuevos insecticidas organofosforados, por lo que el programa de armas químicas secreto podría ser disfrazado como una investigación de plaguicidas legítima.[16]

Efectos
Como todo agente nervioso, los agentes novichok pertenecen a los inhibidores de la acetilcolinesterasa organofosforados. Estos compuestos químicos que inhiben la enzima acetilcolinesterasa, bloqueando la descomposición normal del neurotransmisor acetilcolina. Concentraciones de acetilcolina luego aumentan en las uniones neuromusculares para causar la contracción involuntaria de los músculos. Esto lleva al paro respiratorio, cardíaco y, finalmente, la muerte. El uso de un fármaco anticolinérgico periférico de acción rápida, tales como la atropina, podría bloquear los receptores de acetilcolina donde actúa para prevenir el envenenamiento (como es el tratamiento para la intoxicación por otros inhibidores de la acetilcolinesterasa, como por ejemplo el sarín). Esto es sin embargo bastante peligroso en sí mismo.
Referencias
- Vadim J. Birstein. The Perversion Of Knowledge: The True Story of Soviet Science. Westview Press (2004) ISBN 0-8133-4280-5
- «¿Qué es el Novichok, el agente químico que estaría tras el envenenamiento de Skripal?». RT en Español. 13 de marzo de 2018. Consultado el 25 de febrero de 2022.
- Rusia expone 8 mentiras del Reino Unido sobre el caso Skripal? RT (19 abr 2018)
- Tucker, J. B.; War of Nerves; Anchor Books; New York; 2006; pp 231.
- Tucker, J. B.; War of Nerves; Anchor Books; New York; 2006; pp 253.
- Louise Hidalgo (9 de agosto de 1999). BBC News Online, ed. «US dismantles chemical weapons». Consultado el 25 de mayo de 2013.
- Kruglyak Yu L, Malekin SI, Martynov IV. Phosphorylated oximes. XII. Reactions of 2-halophospholanes with dichlorofluoronitrosomethane. Zhurnal Obshchei Khimii. 1972; 42(4):811-14.
- Raevskii OA, Chapysheva NV, Ivanov AN, Sokolov VB, Martynov IV. Effect of Alkyl Substituents in Phosphorylated Oximes. Zhurnal Obshchei Khimii. 1987; 57(12):2720-2723
- Raevskii OA, Grigor'ev V Yu, Solov'ev VP, Ivanov AN, Sokolov VB, Martynov IV. Electron-Donor Functions of Ethyl Methylchloroformimino Methylphosphonate. Zhurnal Obshchei Khimii. 1987; 57(9):2073-2078
- Makhaeva GF, Filonenko IV, Yankovskaya VL, Fomicheva SB, Malygin VV. Comparative studies of O,O-dialkyl-O-chloromethylchloroformimino phosphates: interaction with neuropathy target esterase and acetylcholinesterase. Neurotoxicology. 1998 Aug-Oct;19(4-5):623-8. PMID 9745921
- Raevskiĭ OA, Chistiakov VV, Agabekian RS, Sapegin AM, Zefirov NS. Formation of models of the interaction between organophosphate compound structure and their ability to inhibit cholinesterase. Bioorganicheskaia Khimiia. 1990 Nov;16(11):1509-22. PMID 2096825
- Ivanov IuIa, Sokolov VB, Epishina TA, Martynov IV. O-substituted alkylchloroformoximes as substrates and inhibitors of cholinesterases. Doklady Akademii Nauk SSSR. 1990;310(5):1253-5. PMID 2354654
- Malygin VV, Sokolov VB, Richardson RJ, Makhaeva GF. Quantitative structure-activity relationships predict the delayed neurotoxicity potential of a series of O-alkyl-O-methylchloroformimino phenylphosphonates. Journal of Toxicology and Environmental Health Part A. 2003 Apr 11;66(7):611-25. PMID 12746136
- Steven L. Hoenig. Compendium of Chemical Warfare Agents. Springer New York, 2007. ISBN 978-0-387-34626-7
- D Hank Ellison. Handbook of Chemical and Biological Warfare Agents (2nd) 2008. p37-41. ISBN 0-8493-1434-8
- Vil S Mirzayanov. State Secrets. An Insider's Chronicle of the Russian Chemical Weapons Program. (2009) pp142-145, 179-180. ISBN 978-1-4327-2566-2
Véase también
Enlaces externos
- Chemical Weapons in Russia: History, Ecology, Politics (en inglés)
- Vaksberg, Arkadi. Le laboratoire des poisons. De Lénine à Poutine. Gallimard, 2008. ISBN: 9782070349784
- From Russia with Blood. Buzzfeed, 2017