Modulación por fase continua
PSK (Phase-shift keying), es una modulación de fase donde la señal moduladora (datos) es digital, la fase de la señal portadora se desplaza para representar con ello a los datos digitales.
Las alternativas de modulación PSK: PSK de dos niveles PSK de cuatro niveles
PSK de dos niveles: Conocida como desplazamiento de fase binario, que utiliza dos fases para representar los dos dígitos binario
El término de la derecha de la ecuación se debe a que un desplazamiento de 180° (π) es equivalente a invertir la onda sinusoidal, o lo que es lo mismo multiplicarla por -1.

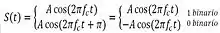
Una alternativa a la PSK de dos niveles es la PSK diferencial (DPSK, Differential PSK). En este esquema, un 0 binario se representa enviando un elemento de señal con la misma fase que el elemento anterior transmitido. Un 1 binario se representa enviando un elemento de señal con fase invertida respecto al elemento anterior transmitido.
El término diferencial se refiere al hecho de que el desplazamiento de fase es respecto al bit transmitido anterior, en lugar de ser respecto a una señal de referencia.
PSK de cuatro niveles: Se puede conseguir una utilización más eficaz del ancho de banda si cada elemento de señalización representa a más de un bit. Por ejemplo, en lugar de usar un desplazamiento de fase de 180", como el que se hace en PSK, otra técnica de codificación frecuente denominada desplazamiento de fase en cua-dratura (QPSK, Quadrature phase-shift keying), considera desplazamientos de fase correspondientes a múltiplos de π /2 (90°).
Con QPSK, cada una de las cuatro posibles fases de salida tiene, exactamente, la misma amplitud. En consecuencia, la información binaria tiene que ser codificada por completo en la fase de la señal de salida.
Normalmente se realiza un filtrado previo de características particulares para obtener la eficiencia espectral más conveniente. Son dos los tipos de filtros aplicados:
-Filtro coseno realzado (Raised Cosine Rolloff Filter). Este tipo satisface la condición de Nyquist de anulación de la señal en los instantes de decisión anteriores y posteriores (interferencia intersímbolo ISI igual a cero).
H(f)= ½.[1 + cos π.(1+{f-fN/fN.ß})/2] donde (1+ß) ≤ f ≤ fN.(1-ß)
-Filtro Gaussiano (Gaussian Pulse-Shaping Filter).Este filtro no satisface el criterio de Nyquist de ISI cero. La función transferencia en frecuencia y la respuesta temporal a un impulso de señal son exponenciales:
H(f)= exp (-α2. f2) y h(t)= √π/α . exp (-π . t/α)2
Donde α= 1,1774/BW y el ancho de banda BW es a 3 dB. Si el valor de α se incrementa la eficiencia espectral disminuye y la dispersión temporal del pulso de salida aumenta.
La modulación de fase continua CP-FSK (Continuous Phase Fequency Shift Keying) se produce filtrando la señal digital antes de alcanzar al modulador FSK. Cuando el filtro cumple ciertas condiciones se tiene la modulación MSK (Minimum Shift Keying). MSK corresponde a una desviación máxima igual a la mitad de la tasa de bits (índice de modulación K de 0,5). El índice de modulación se define como K= 2.∆F / Rb, donde ∆F es el corrimiento de frecuencia máximo y Rb la tasa de datos.
En MSK la palabra Minimun significa que es el menor valor (mínima separación de frecuencia) que es factible de ser demodulada coherentemente ortogonal. Cuando el tipo de filtro es Gaussiano la modulación se denomina GMSK. Esta es utilizada en el sistema celular GSM.