Mimosamicina
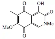
La mimosamicina es un alcaloide isoquinolínico aislado de Streptomyces lavendulae y de las esponjas Halichondria, Reniera, Xestospongia, Petrosia y Oceanapia.[3][4][5] Es un alcaloide con actividad antibiótica. También presenta actividad contra hongos y micobacterias. [α]24D = -1.8 ( c, 1 en cloroformo); UV: [neutro]λmax230 (ε14500) ;317 (ε14500) ;396 (ε3630) (MeOH)
| Mimosamicina | ||
|---|---|---|
![]() | ||
| Nombre IUPAC | ||
| 7-Metoxi-2,6-dimetil-3,5,8(2H)-isoquinolinotriona | ||
| General | ||
| Fórmula estructural |
![]() | |
| Fórmula molecular | C12H11NO4 | |
| Identificadores | ||
| Número CAS | 59493-94-6[1] | |
| PubChem | 4198 | |
| Propiedades físicas | ||
| Apariencia | Prismas amarillos (MeOH)[2] | |
| Masa molar | 233,223 g/mol | |
| Punto de fusión | 229 °C (502 K) | |
| Valores en el SI y en condiciones estándar (25 ℃ y 1 atm), salvo que se indique lo contrario. | ||
Derivados
| Nombre | Estructura | Fórmula molecular | CAS | Masa molecular (g/mol) | Estado | Fuente natural | Otras propiedades |
|---|---|---|---|---|---|---|---|
| Cribrostatina 2 | ![]() |
C13H13NO4 | 144279-36-7 | 247.250 | Sólido color amarillo dorado. PF = 194 - 195 °C. | Aislado de la esponja Cribrochalina sp.[6] | Muestra actividad contra leucemia linfocítica P388. También presenta actividad antibacterial de amplio espectro.[7] |
| 4-Hidroximimosamicina | ![]() |
C12H11NO5 | 224558-89-8 | 249.223 | Sólido cristalino color naranja PF = 225 °C | Aislado de la esponja Haliclona cribricutis[8] | UV: [neutro]λmax227 (log ε4.05) ;485 (log ε3.58) ( MeOH) |
| 1,4-Dihidroximimosamicina | ![]() |
C12H11NO6 | 224558-92-3 | 265.222 | Sólido | Aislado de la esponja Haliclona cribricutis junto con la 4-hidroximimosamicina. | UV: [neutro]λmax220 (log ε4.11) ;255 (log ε3.75) ;500 (log ε3.58) ( MeOH) |
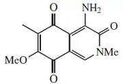
| 4-Aminomimosamicina | ![]() |
C12H12N2O6 | 157227-53-7 | 248.238 | Agujas rojas PF = 250 - 251 °C | Aislado de una esponja del género Petrosia.[9] | Es un inhibidor del AMP cíclico. UV: [neutro]λmax350 (ε2187) ;483 (ε3800) ( MeOH) |
| 7-Amino-7-desmetoximimosamicina | ![]() |
C11H10N2O3 | 157227-54-8 | 218.212 | Sólido pardo claro PF = 300 °C | Aislado de una especie de Petrosia | Es un inhibidor del AMP cíclico. UV: [neutro]λmax250 (ε3715) ;327 (ε4677) ;434 (ε812) (MeOH) |
Referencias
- Número CAS
- Hata, T. et al., Acta Cryst. B, 1978, 34, 2899- 2901
- Arai, T. et al., J. Antibiot., 1976, 29, 398- 407
- Frincke, J.M. et al., JACS, 1982, 104, 265- 269
- Edrada, R.A. et al., J. Nat. Prod., 1996, 59, 973- 976
- Pettit, G.R. et al., Can. J. Chem., 1992, 70, 1170- 1175
- Pettit, G.R. et al., J. Nat. Prod., 2000, 63, 793- 798
- Parameswaran, P.S. et al., Indian J. Chem., Sect. B, 1998, 37, 1258- 1263
- Kobayashi, M. et al., J. Chem. Res., Synop., 1994, 282- 283
Este artículo ha sido escrito por Wikipedia. El texto está disponible bajo la licencia Creative Commons - Atribución - CompartirIgual. Pueden aplicarse cláusulas adicionales a los archivos multimedia.





