Mecanismo ANRORC
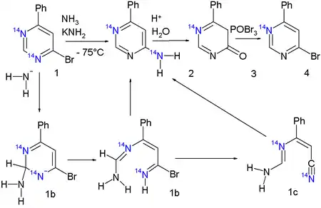
El mecanismo ANRORC en química orgánica describe un tipo especial de reacción de sustitución. ANRORC es el acrónimo inglés de: "Addition of the Nucleophile, Ring Opening, and Ring Closure", que significa: "adición del nucleófilo, apertura del anillo, y cierre del anillo". El mecanismo ANRORC ayuda a explicar la formación y distribución de productos en algunas reacciones de sustitución nucleofílica, especialmente involucrando a un compuesto heterocíclico. El mecanismo de reacción ha sido estudiado ampliamente en reacciones de nucleófilos amida metálica (como la amida de sodio) y pirimidinas sustituidas (por ejemplo, 4-fenil-6-bromopiridina 1) en amoníaco a temperatura baja. El producto principal de la reacción es 4-fenil-6-aminopiridina 2, con el sustituyente bromo reemplazado por amino. Esto descarta la formación de un intermediario ariño A que también habría dado el isómero sustituido en la posición 5.

La exclusión de un segundo intermediario en esta reacción, el complejo de Meisenheimer B a favor del intermediario de anillo abierto ANRORC está basado en algunas evidencias. Con otras aminas, tales como la piperidina, también se puede aislar como producto de la reacción al compuesto de anillo abierto después de la pérdida de bromuro de hidrógeno para dar un nitrilo.

Hay más evidencia obtenida por marcado isotópico con deuterio en C5.
El átomo de deuterio no está presente en el producto de la reacción, y esto se explica nuevamente por el mecanismo ANRORC, donde el intermediario de anillo abierto 4 es un par tautomérico, permitiendo un rápido intercambio de H-D:

La última evidencia la provee un experimento de intercambio isotópico, con ambos átomos de nitrógeno en núcleo de pirimidina siendo reemplazados por el isótopo 14N en un grado de 3% cada uno:

En el producto final 4 (regenerado al reactivo, después de hidrólisis ácida y bromación de 2) se pierde casi la mitad de contenido isotópico, demostrando que uno de los átomos de nitrógeno internos ha sido desplazado por un átomo de nitrógeno externo.
La reacción de Zincle involucra un mecanismo ANRORC.