Materia granular
La materia granular o materia granulada es aquella que está formada por un conjunto de partículas macroscópicas sólidas lo suficientemente grandes para que la fuerza de interacción entre ellas sea la de fricción. Colectivamente, este tipo de materia presenta propiedades que pueden semejar, dependiendo del tipo de fuerzas a las que esté sometida, a las del estado sólido, el estado líquido o un gas.[1] Una característica importante es que la materia granular tiende a disipar rápidamente la energía de sus partículas debido a la fuerza de fricción. Esto da lugar a fenómenos de gran importancia como las avalanchas, los atascamientos en descargas de silos, entre otras. Como ejemplos de materia granular se encuentran los granos y semillas, la nieve, la arena, etc.[2]
Aunque la materia granular es conocida desde la antigüedad, la aparición de fenómenos que aparentan ir en contra de la intuición, como el efecto de las nueces del Brasil, ha hecho que en los últimos años se haya incrementado su estudio por parte de los físicos. El estudio de este tipo de materiales es de suma importancia debido a que es el tipo de materia más utilizada por el hombre solamente después del agua.
Historia
El estudio de la materia granular inició desde los tiempos antiguos, a pesar de no haber recibido la misma atención que otras áreas de la física. El registro más antiguo que se tiene acerca de este tema proviene del poeta romano Lucrecio. Alrededor del año 55 a. C. escribió:[3]
«Uno puede recoger semillas de amapola con una cuchara con la misma facilidad que si se tratara de agua y, al inclinar la cuchara, éstas fluyen de forma continua».

En el Renacimiento, Leonardo da Vinci realizó experimentos que demostraban las leyes de la fricción en seco. Charles de Coulomb, en el siglo XVIII, escribió el artículo «Ensayo de los máximos y mínimos aplicado a problemas de equilibrio relacionados con la arquitectura», donde expone observaciones y experimentos de equilibrio de terraplenes y estructuras compuestas por rocas.[4]
Posteriormente, Ernst Chladni, utilizó materiales granulares colocados sobre placas metálicas para estudiar los modos de vibración de estas últimas. De sus trabajos se descubrió lo que hoy se conoce como figuras de Chladni.[5] Un problema relacionado con el anterior fue estudiado por Michael Faraday, quien investigó la formación de pilas de arena al ser sometidas a vibraciones.[6] William Rankine estudió la fricción en materiales granulares y, basándose en los trabajos de Coulomb estableció lo que en mecánica de suelos se conoce como estados activos de Rankine.[7]
Más adelante, diversos investigadores estudiaron la forma en que se distribuyen las fuerzas de los granos almacenados en un silo. I. Roberts estudió la dependencia de la presión de los granos contra las paredes del silo.[8] H. Janssen describió cómo las fuerzas de presión cambiaban de dirección hacia las paredes.[9] Lord Rayleigh estableció una analogía entre este problema y la resistencia a la tracción de una cuerda enroscada en un poste.[10][11]
Hacia finales del siglo XIX Osborne Reynolds realizó importantes descubrimientos que contribuyeron al estudio de la materia granular.[12] A partir de ese momento, durante el transcurso del siglo XX y hasta la fecha el número de científicos dedicados al estudio de la materia granular ha ido en aumento. Entre ellos uno de los más importantes ha sido Ralph Bagnold, quien entre 1940 y 1970 realizó observaciones de las arenas del desierto.[13][14]
Propiedades
Tamaño de partícula
Los materiales granulares están compuestos de una gran cantidad de partículas sólidas, las cuales son discernibles a simple vista. El tamaño de las partículas suele ir desde algunas micras hasta el orden de metros o mayores. Como ejemplos de lo anterior se da el caso de los polvos donde sus partículas son tan pequeñas que apenas se distinguen a simple vista. En el caso contrario, se pueden tener partículas tan grandes como rocas que pueden medir varios metros, e incluso asteroides, con tamaños de varios cientos de metros.
Fuerzas, aceleraciones y energías
La principal propiedad de la materia granular es que la única fuerza de interacción que existe entre las partículas que la componen es la fricción estática. Una excepción a esto se da en el caso de los polvos más finos, en los cuales pueden aparecer interacciones de tipo electrostático al cargarse eléctricamente las partículas de ellos. La existencia de fricción estática como fuerza predominante entre las partículas de estos materiales da lugar una rápida disipación de la energía cinética de las partículas, debido a que genera colisiones inelásticas entre ellas. Por esta razón no es posible estudiar la materia granular con modelos de mecánica estadística para sistemas donde exista conservación de la energía. Como consecuencia de esto, se puede decir que la temperatura efectiva de un material granular es cero y la única energía de relevancia en este tipo de sistemas es la energía potencial, debida a su posición con respecto a un campo gravitacional.[15]
Sobre los medios granulares pueden actuar diferentes fuerzas externas, las cuales son capaces de modificar de forma sustancial su comportamiento global. La principal fuerza externa a la que suelen estar sometidos los materiales granulares es la fuerza de gravedad. Dicha fuerza genera una distribución de tensiones a través de las partículas del material. Estas tensiones dan soporte al material y le permiten mantener una forma definida. Por otro lado, cuando el material se deja resbalar o se le permite caer, la gravedad lo obliga a comportarse de manera similar a un fluido, como se observa en los relojes de arena.
Si la materia granular es sometida a sacudidas periódicas, se suelen presentar diversos tipos de fenómenos, tales como convección, segregación de partículas, entre otras.[16] La fuerza de estas sacudidas puede medirse en términos de la aceleración creada por ellas. En el caso de una sacudida consistente en una oscilación periódica de tipo senoidal, la aceleración promedio, , en un ciclo es:
- ,
donde T es el periodo de oscilación, A es la amplitud de oscilación, es la frecuencia angular de la oscilación y t es el tiempo. Lo anterior se puede expresar en términos de un número de Froude, el cual da una idea de la magnitud de las fuerzas inerciales respecto a las fuerzas de gravedad. Para este caso dicho número se toma como una aceleración adimensional denotada por :
- ,
siendo g el valor de la aceleración de la gravedad.
Temperatura
Como ya se ha mencionado, debido a la pérdida casi instantánea de energía cinética de las partículas en la materia granular, la temperatura efectiva de esta tiene un valor de cero. Sin embargo, si el material granular se somete continuamente a fuerzas oscilantes, tales como sacudidas, las partículas adquieren una velocidad. A partir de esta velocidad y obteniendo la media cuadrática de la misma, se puede calcular una «temperatura granular», tal como se haría con un gas ideal:[17]
En donde es la media cuadrática de la velocidad, es la constante de Boltzmann, es la temperatura y es la masa del material.
No obstante, es importante notar que, cuando la fuerza que genera el movimiento de las partículas cesa, el medio granular pierde su energía cinética de manera casi inmediata, por lo cual, la temperatura regresa a su valor de cero. Es por esta razón que no es posible aplicar los principios de la termodinámica clásica a la materia granular. Es decir, clásicamente (véase Leyes de la termodinámica) se esperaría que la energía se conservara, la entropía del sistema aumentara de forma natural y no se pudiera alcanzar la temperatura de cero. Sin embargo, ninguna de las situaciones anteriores ocurre con la materia granular.
Para tomar en cuenta la temperatura de un medio granular es necesario utilizar modelos termodinámicos para sistemas fuera de equilibrio. Muchos investigadores de la materia granular han tendido a no tomar en cuenta la temperatura granular o a despreciarla, eliminándola de las ecuaciones de movimiento. Sin embargo, otros autores han tratado de mostrar que dicha temperatura es necesaria para describir este tipo de materiales.[18]
Polidispersidad

En ciencia de polímeros, cuando se tiene un conjunto de moléculas de polímeros de tal forma que ciertas moléculas tienen mayor tamaño que otras, se dice que el conjunto está polidisperso. En el caso de los polímeros, es más conveniente poner atención en la diferencia entre las masas de las moléculas que en su tamaño. El índice de polidispersidad o polidispersión (PDI, del inglés: Polydispersity index) nos da una idea de la diversidad de moléculas existentes en una mezcla. Dicho índice se calcula dividiendo el promedio de masas por peso molecular entre el promedio de masas por número de moléculas. Es decir:
- .
, el promedio de masa por peso molecular, se calcula sumando los productos de la masa del total de moléculas de una determinada especie y la masa de una molécula de dicha especie hasta tomar en cuenta todos los tipos de moléculas, y dividiendo esa suma entre la masa de todas las moléculas. es simplemente la suma de las masas de cada molécula dividida entre el número total de moléculas. Cuando , todas las moléculas son de un mismo tipo y se dice entonces que la mezcla es monodispersa.[19]
Por analogía, en la materia granular se define una polidispersidad granular. Sin embargo, en este caso se toma en cuenta la diferencia entre el tamaño de las partículas en vez de la diferencia en masa. Para calcular la polidispersidad en el estudio de la materia granular es necesario contar el número de partículas que tienen un diámetro determinado para así obtener la distribución de diámetros. La polidispersión entonces se obtiene calculando la varianza de dicha distribución:
- ,
con el diámetro de una determinada partícula, el diámetro promedio de las partículas, el número total de partículas y la varianza de la distribución.[20]
La polidispersión en mezclas granulares es de suma importancia debido a que, en materiales polidispersos sujetos a movimientos oscilatorios verticales, suelen aparecer fenómenos de segregación de partículas en los que éstas se separan por tamaños.[21][22]

Compactación
Las partículas que componen un material granular pueden distribuirse de diferentes maneras dentro del mismo. Cuando se tienen partículas esféricas, un porcentaje del volumen del material granular corresponde a las esferas en sí, mientras que otro porcentaje del volumen corresponde a los huecos que se forman entre las partículas. El cociente entre el volumen ocupado por las partículas y el volumen total del material —partículas y huecos— se conoce como fracción de volumen, representado por .
La fracción de volumen nos da una idea de qué tan compacto se encuentra un material granular. En el caso de materiales monodispersos, aquellos que suelen tener menor compactación tienen una fracción de volumen de alrededor de 0,56. Al sacudir los materiales se suelen alcanzar compactaciones mayores; la máxima de ellas alcanzada por esta forma es de 0,68 (en cuyo caso se conoce como empaquetamiento aleatorio compacto o RCP, del inglés: Random Close Packing). La máxima compactación posible en materiales monodispersos se alcanza acomodando las partículas de forma hexagonal compacta (HCP, del inglés Hexagonal Close Packing). Cuando este es el caso, la fracción de volumen llega a 0,74.[23]
Cocientes entre fuerzas disipativas
Cuando un material granular fluye, diferentes fuerzas disipativas —fricción entre partículas, resistencia del aire, etc.— se presentan y alteran su comportamiento. Existen diferentes formas de analizar estos comportamientos. Una de ellas es separando las fuerzas disipativas en cuatro clases: colisionales, fuerzas de fricción, viscosidad y presión sobre poros.[24] Si se hacen cocientes entre estas fuerzas se obtienen los siguientes números adimensionales:
- Número de Bagnold: cociente entre fuerzas colisionales y fuerzas viscosas.
- Número de Savage: cociente entre fuerzas colisionales y de fricción.
- Número de fricción: cociente entre fuerzas de fricción y fuerzas viscosas.
- Número de Darcy: cociente entre fuerzas de fricción y de presión sobre poros.
Dependiendo de la forma en que se calculen cada una de estas fuerzas, se obtienen diferentes fórmulas para cada uno de estos números, aunque todos ellos, de una u otra forma dependen de la densidad de las partículas sólidas.[25]

Forma de las partículas
Aunque la forma más simple de estudiar la materia granular es suponer que las partículas que la componen son esféricas, en muchos casos no ocurre así. En una gran cantidad de situaciones las partículas pueden tener formas diferentes a esfera. Por ejemplo, los granos de lenteja tienen forma de esferoides oblatos, los granos de arroz tienen forma de esferoides prolatos, los granos de sal tienen forma cúbica, etc.
Al estudiar los medios granulares es importante tomar en cuenta la forma de sus partículas. Se ha descubierto que la forma de los granos puede modificar la distribución de esfuerzos en materiales granulares en reposo.[26] Los granos con forma elongada pueden modificar la fricción y hacer más difícil el flujo del material granular debido a que se pierde energía cuando rotan.[27] Por otro lado, un material compuesto por esferoides oblatos o prolatos puede alcanzar una mayor fracción de volumen que uno compuesto por esferas.[28]
Comportamiento
Como ya se ha explicado anteriormente, la materia granular exhibe diferentes comportamientos dependiendo del tipo de fuerzas externas a las que esté sujeta. Dichos comportamientos pueden semejar el de un sólido, el de un líquido o el de un gas. Cuando el material se encuentra en reposo, se comporta como un sólido. Si el material se encuentra bajo la acción de la gravedad, su comportamiento es similar al de un fluido viscoso. Bajo la acción de oscilaciones periódicas de baja aceleración, el material presenta comportamientos similares a los que presentan los fluidos en convección. En el caso en el que el material es sujeto a oscilaciones de alta aceleración, éste asemeja a un gas cuyas partículas sufren colisiones inelásticas.
No obstante, la descripción de los medios granulados no es simple; una gran cantidad de fenómenos que aparentan desafiar la intuición se presentan, debido a la naturaleza disipativa de las fuerzas existen en ellos.
Materia granular en reposo
Un material granular se encuentra en reposo cuando la suma de fuerzas que actúan sobre él y sobre cada una de las partículas que lo componen es igual a cero. Cuando esto ocurre el comportamiento del medio granular semeja al de un sólido. Esta semejanza, sin embargo, suele perderse muy fácilmente con tan solo aplicar una pequeña fuerza sobre el material. Un montón de granos, por ejemplo, puede perder su solidez y comenzar a fluir con tan solo inclinar el material.[29] Dependiendo de las circunstancias en que se encuentre un material granular en reposo —por ejemplo, la forma en que se almacene— se observan diferentes comportamientos que han sido estudiados en mayor o menor medida por físicos de medios granulares, ingenieros, geólogos, entre otros.
Formación de cadenas de esfuerzos y arcos

Un material granular se halla en reposo solamente si la suma de fuerzas sobre cada una de sus partículas es igual a cero (de acuerdo con la primera ley de Newton). Para que esto pueda suceder, el peso de una partícula determinada debe equilibrarse con la fuerza normal y la fricción estática debidas a las partículas vecinas. Dicho de otra manera, un grano debe ser sostenido por las partículas debajo y a los lados de él para evitar caer. A su vez, las partículas debajo de éste deben estar sostenidas por otras más abajo, y así sucesivamente hasta alcanzar el fondo o las paredes del recipiente. Esta sucesión de fuerzas puede ser vista como una cadena de esfuerzos; cada parte del material granular está sostenido por esfuerzos transmitidos de partícula en partícula hasta llegar a la base del contenedor.[30] Asimismo, si se aplica una fuerza sobra la superficie del medio, dicha fuerza será transmitida hacia abajo y a los lados dentro del material, repartiéndose entre todos los granos. Esto explica el por qué una persona puede permanecer de pie sobre la arena: aunque la fuerza debida a su peso es grande, esta se distribuye entre muchos granos.[31]
La transmisión de fuerzas de partícula en partícula solamente puede darse a través del punto de contacto entre los granos. La cantidad de puntos de contacto que tienen las partículas entre sí depende en gran medida de la fracción de volumen del material granular. Entre más separados estén los granos unos de otros —es decir, si la fracción de volumen es menor— habrá menor cantidad de puntos de contacto por partícula y la transmisión de esfuerzos será menos eficiente. La forma en que se crean las cadenas de esfuerzos depende entonces en gran medida de la forma en que se acomodan las partículas en el material. Un ligero cambio en la compactación del medio provocará que las cadenas adopten otra forma.[30]
Un fenómeno asociado a la formación de cadenas de esfuerzo es la formación de arcos. Cuando se ejerce una presión suficiente sobre un medio granulado, las cadenas de esfuerzos toman la forma de un arco. Gracias a esto, el material puede tener suficiente sustentación. La razón por la que se forman los arcos se puede explicar haciendo uso del cálculo variacional: se puede demostrar matemáticamente que al colocar una secuencia de esferas sostenidas por medio de fricción estática, la forma más estable posible para arreglarlas es la descrita por una catenaria invertida.[31]
Pilas de materiales granulares

Cuando un conjunto de partículas se almacenan, sin otra estructura que las sostenga excepto el suelo, las fuerzas de fricción estática entre ellas obligan a dicho conjunto a formar una estructura cónica. En mecánica, la fricción estática de un material se puede calcular experimentalmente colocando dos objetos —por ejemplo dos bloques con superficie plana— hechos del mismo material uno sobre otro. Si se comienza a inclinar lentamente este sistema, llegará un momento en que el bloque superior se deslizará venciendo esa fuerza de fricción. El ángulo de inclinación teórico, , en el cual se vence esta fuerza se calcula de la siguiente manera:[32]
- .
El símbolo representa el coeficiente de fricción estática que depende principalmente de la rugosidad del material.

En los materiales granulares este ángulo es conocido como ángulo de reposo. Dicho ángulo define la pendiente máxima que puede tener una pila de partículas sin que éstas se precipiten en forma de avalancha y es el ángulo formado entre el suelo y la superficie del montículo. Debido a que la materia granular no es un medio continuo, sino que está conformado por partículas discretas y huecos, la fuerza de fricción no es constante sobre toda la superficie del material. La fracción de volumen del material, la forma de las partículas, entre otros factores, influyen la forma en que la fricción actúa. Por esta razón, un ángulo de inclinación igual a no es garantía de estabilidad en el material. Una pequeña fuerza sobre el mismo puede provocar un deslizamiento de los granos, similar al que se observa en los aludes de nieve. A pesar de lo anterior, ninguna pila de material granular puede existir si el ángulo de inclinación de sus paredes es mayor al ángulo de reposo.
Cuando en el material granular existen otros tipos de fuerzas entre las partículas —que colectivamente se pueden considerar como fuerzas de cohesión—, tales como cargas eléctricas, las partículas tienen mayor dificultad al deslizarse hacia abajo, por lo que la pila de partículas puede tener un mayor ángulo de inclinación y, por lo tanto, el ángulo de reposo se incrementa. Cuando esto ocurre, se define un ángulo de fricción interna como el ángulo que tendría el montículo si dentro de éste solo actuaran las fuerzas de fricción estática. En este caso, este último ángulo es siempre menor al ángulo de reposo y, solo cuando las fuerzas de cohesión son nulas, ambos ángulos coinciden.[33]
Granos en silos

Cuando un fluido es puesto en un contenedor cilíndrico, es bien sabido que la presión en el fondo de dicho contenedor aumenta al incrementarse la altura hasta la cual es llenado. La presión hidrostática se puede calcular a través de la ley de Stevin de la siguiente manera:
- ,
donde es la presión hidrostática, es la densidad del fluido, es el valor de la aceleración de la gravedad y es la altura de la columna de fluido.[34]
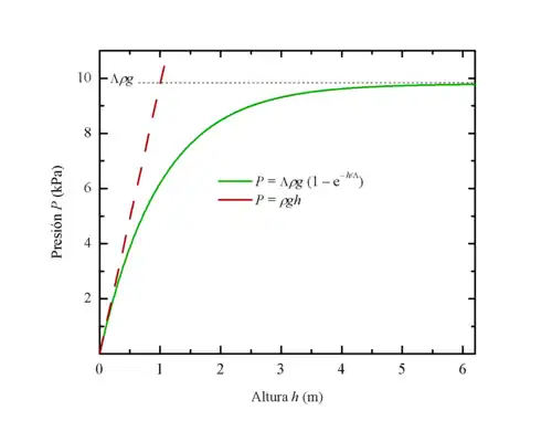
En el caso de la materia granular, se esperaría que al llenar de granos un silo —o cualquier recipiente cilíndrico— la presión en el fondo se incrementara de la misma forma que ocurre para los fluidos simples. Sin embargo, un material granular deja de incrementar la presión sobre el fondo de su contenedor una vez que se alcanza una cierta altura. H. A. Janssen descubrió que la presión sobre las paredes de un contenedor que alberga un material granular sigue la siguiente relación:[9]
- .
En este caso, es un parámetro que depende de la fricción estática entre las paredes del silo y los granos y su valor suele ser del orden de magnitud del radio del contenedor. Este comportamiento es conocido como efecto Janssen.[11]
La explicación de dicho efecto está en la forma en que se transmiten los esfuerzos entre los granos: dependiendo de la forma en que se distribuyen las partículas, las cadenas de esfuerzos tienden a dirigir la fuerza debido al peso del material hacia las paredes del contenedor. En los fluidos simples, la presión en un determinado punto de éstos se dirige hacia todas las direcciones (obedeciendo el principio de Pascal). En cambio, en los medios granulares, la presión puede seguir diferentes caminos de contactos hasta alcanzar las paredes. Por esta razón no hay una distribución equitativa en sentido horizontal y vertical; mayor cantidad de presión se dirige hacia las paredes que hacia el fondo.
El efecto Janssen representa un problema para los ingenieros, ya que, si éstos calculan la presión de un medio granulado sobre la pared de un silo como si se tratara de un presión hidrostática, pueden subestimar la resistencia que necesitarían tener dichas paredes, llegando a presentarse incluso una explosión en el silo.[35]

Dilatancia
Los materiales granulares sufren un cambio en su fracción de volumen cuando están sujetos a una presión. El fenómeno fue descrito por primera vez por Osborne Reynolds en 1885.[12] Reynolds comprobó este fenómeno llenando un recipiente de goma con arena y agua, añadiendo un tubo de vidrio a la boca del recipiente, de tal forma que el agua alcanzaba un cierto nivel dentro del tubo. Al comprimir con las manos el contenedor de goma, el nivel del agua en el tubo descendió, en contra de lo que se esperaría. Este fenómeno es conocido como dilatancia de Reynolds.[36]
La explicación de este fenómeno, dada por el mismo Reynolds, consiste en el cambio en la fracción de volumen del material granular. Al comprimir la arena, los granos de esta sufren una reacomodación en sus posiciones, de tal manera que aumenta el espacio vacío entre las partículas. Al ocurrir esto, el agua ocupa estos nuevos espacios y desciende su nivel. Este fenómeno es observado también en las playas: al caminar una persona sobre la arena mojada, las huellas de los pies parecen secarse. La explicación es la misma: la presión debida al peso de la persona que camina sobre la playa genera un cambio en la fracción de volumen de la arena y el agua dentro de ella desciende de nivel, apareciendo seca la superficie de la arena.[37]
Comportamiento a bajas aceleraciones
Un medio granular que deja de estar en reposo, ya sea debido a la acción de la gravedad o a sacudidas periódicas, suele comportarse, en la mayoría de las ocasiones, de una manera muy similar a la de un fluido. Cuando un material granular se mueve gracias a la fuerza de gravedad a través de un agujero, (por ejemplo, al descargar un silo o en un reloj de arena) se genera un flujo de granos, que dependiendo del tamaño y la forma de las partículas puede ser continuo o interrumpirse por atascamientos de las partículas. Por otro lado, cuando un material granular es sometido a sacudidas periódicas, se suele presentar un fenómeno parecido a la convección que presentan los fluidos simples.[16] Si además el material está polidisperso, se observa una segregación de partículas por tamaños, dando lugar a fenómenos como el efecto de las nueces del Brasil.[38]
La transición entre un medio granular estático y uno fluyendo se suele dar al iniciar una fuerza oscilatoria externa, dando lugar a una fluidización.[39] Este efecto genera la pérdida de solidez del material, provocando que un objeto que se encuentre en la superficie del medio se hunda.[40] La fluidización tiene un efecto sumamente destructivo en los terremotos, ya que al moverse la tierra aparentemente estable pero saturada de agua, ocurre una licuefacción y las construcciones en su superficie pierden sustento y colapsan al hundirse en ella.[41]

Compactación inducida por vibración
Cuando un conjunto de granos son vaciados dentro de un recipiente, el material suele tener una compactación baja, con una fracción de volumen de alrededor de 0,55. Para reducir el volumen ocupado por los espacios vacíos, de tal forma que el material en conjunto ocupe menos espacio, el medio debe ser sometido a vibraciones horizontales. De esta forma, la fracción de volumen aumenta pudiendo llegar a valores mayores. Con ello es más fácil almacenar los granos, ya que se requieren contenedores más pequeños.[42]
Usualmente, la fracción de volumen no suele sobrepasar un valor de 0,64.[43] Sin embargo, usando diferentes configuraciones, tales como vibraciones horizontales y verticales combinadas,[44] o sistemas de pocas partículas,[45] se pueden lograr compactaciones inducidas por vibración con fracciones mayores a este valor. La desventaja de lo anterior, es que la forma del recipiente así como la configuración misma del sistema afectan el comportamiento del material granular, por lo que no pueden considerarse casos generales.[42]
Para conseguir la máxima fracción de volumen, 0,74, que corresponde a un cristal granular arreglado en forma hexagonal por medio de vibración ha sido necesario recurrir a métodos más sofisticados. Una capa de material granular es colocada en el vacío sobre una placa metálica perforada. De esta manera se fuerza a las partículas a caer sobre las perforaciones y a formar un arreglo ordenado. Cuando la capa está completa, se coloca la siguiente. Si alguna partícula quedara desordenada, se retiraría esa «imperfección» a mano.[46] El primer arreglo perfecto, sin defectos, conseguido por medios puramente mecánicos y sin necesidad de una intervención manual fue reportado por Nahmad-Molinari y Ruiz-Suárez en 2002, quienes utilizaron una especie de crecimiento epitaxial. En su método, ellos utilizan un recipiente con forma de prisma triangular en el cual arrojan esferas de acero una a una. El recipiente es sacudido verticalmente con aceleraciones ligeramente superiores a la gravedad. Cuando una cierta cantidad de partículas se encuentran en el recipiente, se aglomeran debido a las colisiones inelásticas entre ellas, de tal forma que se genera un núcleo de esferas en constante contacto entre ellas. Las nuevas partículas que son arrojadas más recientemente se unen a este núcleo hasta que la primera capa se forma. En la siguiente capa, las partículas ocupan las posiciones de reposo entre los huecos de las esferas de abajo, de manera similar al método anterior a éste. Debido a que el proceso es «de una en una» y a la baja aceleración a la que el sistema es sometido, cada esfera «busca» suposición y la segunda capa se completa. Finalmente el resto de las capas se forma hasta llenar el contenedor.[23]
Convección granular

En los fluidos simples, la convección ocurre al calentarse la parte inferior del medio, generando una disminución de la densidad del fluido en esta región. Esto genera una inestabilidad, donde la gravedad que actúa sobre el medio entra en competencia con la fuerza de empuje debida a este cambio de densidad. El resultado es la creación de un movimiento cíclico donde el fluido caliente sube y el fluido frío desciende.[47]
La convección en la materia granular aparece cuando esta es sometida a vibraciones verticales. Este fenómeno tiene una apariencia muy similar al que se observa en los fluidos simples: una parte del material asciende, mientras que otra desciende, estableciéndose una circulación continua. No obstante, el mecanismo que da lugar a la convección granular es un poco diferente a la inestabilidad convectiva en los fluidos simples. Una gran cantidad de autores han dedicado tiempo a estudiar este fenómeno, proponiendo diversos mecanismos generadores de dicha convección.[48]
Michael Faraday fue la primera persona en reportar este fenómeno, al estudiar la formación de montículos en materiales granulares bajo vibración. Desde entonces se han hecho una gran cantidad de estudios sobre este comportamiento.[6] Se ha demostrado por medio de trabajos experimentales que la aceleración límite a la cual comienza el movimiento colectivo del medio granular es ligeramente superior a la aceleración de la gravedad.[49] Originalmente se propuso que el origen de la convección granular se debía a la circulación de aire entre los granos, haciendo que estos últimos ascendieran por el centro del sistema y descendieran por las paredes del recipiente.[50] Más adelante, se encontró que las paredes del recipiente pueden generar la suficiente fuerza para dar lugar a la convección.[51][52] Lo anterior fue confirmado finalmente por el equipo de Edward Ehrichs y colaboradores de la Universidad de Chicago, quienes experimentaron con un material granular sometido a agitaciones verticales y observaron el movimiento colectivo de los granos a través de imágenes por resonancia magnética nuclear.[53] La explicación del fenómeno se basa en que, al ser lanzados los granos hacia arriba gracias a la vibración vertical, aquellos que se encuentran cercanos a las paredes sufren una mayor fuerza de fricción debida a las mismas, lo que les impide subir más alto que las partículas en el centro del recipiente. Al haber subido las partículas centrales mayor altura, se genera un hueco en el fondo del recipiente que es ocupado por los granos exteriores. De este modo, en cada ciclo el movimiento efectivo es una circulación donde los granos ascienden por el centro y descienden por las paredes.[54]
La geometría del recipiente influye también en la forma en que se da la convección granular. Mientras que en un recipiente cilíndrico el proceso ocurre en la forma en que se ha explicado anteriormente, en un contenedor cuya paredes tienen una cierta inclinación, la convección invierte su sentido de movimiento. Se ha observado que si se coloca un conjunto de granos en un recipiente con forma de cono invertido y se le somete a vibraciones verticales, las partículas descienden por el centro y ascienden por las orillas.[55] Esta inversión ocurre debido a que la inclinación de las paredes reduce el contacto y, por tanto, la fricción entre éstas y los granos. Al ser lanzados hacia arriba, los granos que se encuentran en las zonas exteriores se separan entre sí regresando a la pared en un punto más alto que donde empezaron. De esta forma, el material exterior es empujado más hacia afuera y hacia arriba que el material central, generándose esta «convección inversa».[56]
Segregación granular

Un efecto de suma importancia en la materia granular es la segregación granular. Cuando una mezcla polidispersa de granos es sacudida verticalmente, las partículas se separan por tamaños, quedando las de mayor tamaño en la parte superior y las de menor tamaño en la parte inferior. Esto ocurre incluso si las de mayor tamaño tienen mayor masa que las pequeñas. Lo anterior parece desafiar los principios físicos; se esperaría que las partículas con mayor masa descendieran, mientras que las de menor masa permanecieran en la parte superior, reduciendo así la energía potencial. Este fenómeno fue bautizado como efecto de las nueces del Brasil debido a que en una mezcla de nueces, las nueces del Brasil suelen ser las de mayor masa y, por lo tanto, aparecen siempre en la superficie de la mezcla después de que esta ha sido sacudida.[57]
Varios autores se han dedicado a la explicación de este fenómeno. La primera explicación, dada por Anthony Rosato, sostenía que el ascenso de las partículas grandes se debía a la infiltración de partículas pequeñas debajo de esta. En el momento en el que el sistema se mueve hacia arriba, la partícula grande genera un hueco debajo de ella que es ocupado por las pequeñas. Al cambiar de dirección el movimiento del sistema, los granos que recién ocuparon este espacio impiden a la partícula mayor descender. Esto genera un movimiento neto hacia arriba.[58] Otros autores propusieron que la segregación granular era debida a la convección, la cual arrastra a la partícula grande hacia arriba. Debido a su tamaño, esta última no puede descender como lo harían las pequeñas ya que el flujo hacia abajo se realiza por solamente por un espacio muy delgado cercano a las paredes.[59]
Mathias Möbius y colaboradores de la Universidad de Chicago demostraron que el tiempo de ascenso depende de la densidad de las partículas de mayor tamaño. Cuando estas últimas tienen una densidad similar a la de los granos menores, el tiempo que les toma llegar a la superficie es mayor. Este tiempo se reduce si su densidad se incrementa o disminuye con respecto a la densidad de los granos pequeños.[60] Este hecho le dio un giro completo al problema: la convección y la infiltración eran insuficientes para explicar la segregación granular. A partir de esto se propusieron modelos basados en la inercia de las partículas: Aquellos granos con mayor masa, tendrían mayor energía cinética y, como consecuencia, podría realizar más trabajo en contra de la fricción del granulado, penetrando una longitud mayor. Para aquellas partículas con mayores densidades se podía explicar el fenómeno como debido simplemente a una fuerza de flotación.[61]
Una nueva complicación surgió al descubrirse que, si se colocaba una mezcla granular al vacío, el tiempo de ascenso de las partículas mayores se convertía en el mismo para todas. Conforme se reduce la presión de aire en el granulado, la diferencia entre los tiempos de ascenso se reduce, hasta volverse iguales en el vacío. A partir de ello se sugirió que el gradiente de presiones dentro del medio granular jugaba un rol importante en el fenómeno de la segregación.[62] Para poder describir correctamente esta última es necesario tomar en cuenta todas las variables descritas por los diferentes autores.[63]
En ciertas circunstancias se puede tener un efecto de las nueces del Brasil inverso. En este caso las partículas de mayor tamaño se precipitan al fondo del recipiente. Este efecto fue predicho primeramente a través de simulaciones en computadora.[64] Sin embargo, algunos autores ponían en duda su existencia debido a la falta de evidencia experimental,[65] hasta que finalmente se pudo confirmar de forma definitiva.[66] El efecto de las nueces del Brasil inverso suele suceder cuando se introduce una partícula de mayor tamaño, pero menor densidad a una profundidad muy cercana al fondo del recipiente. Este fenómeno se ha podido explicar, al igual que el efecto convencional, con un gradiente de presiones.[62][63]

Flujos granulares y atascos
Si un contenedor de materia granular es perforado en su parte inferior, los granos dentro de él fluirán hacia fuera. Muchos factores intervienen en la forma de dicho flujo, el cual puede ser constante o interrumpirse súbitamente. Como ejemplos de lo anterior, en un reloj de arena el flujo es prácticamente constante, mientras que en un salero es necesario sacudir el mismo para extraer los granos.[11]
En los líquidos que escapan a través de un orificio, la velocidad del flujo depende principalmente de la altura a la que llega el líquido dentro del recipiente. El fenómeno se explica a través del teorema de Torricelli y es debido al aumento de la presión hidrostática en el fondo del recipiente al aumentar la altura del fluido.[67] En los medios granulados, sin embargo, la presión deja de incrementarse cuando el material alcanza una altura de aproximadamente dos veces el diámetro del recipiente. Esto provoca que, durante la mayor parte de la descarga de los granos, el flujo salga con la misma velocidad, reduciéndose solamente cuando el contenedor está casi vacío.[11]
En algunos casos el flujo granular es interrumpido por el atasco de partículas en el orificio de salida. Cuando dicha abertura tiene un diámetro muy pequeño, aunque mayor al de los granos, el material se atasca en el mismo interrumpiendo el flujo. La razón de estos atascos es que al tratar varias partículas de salir al mismo tiempo, se forma un arco en el agujero. Dado que los arcos tienen una gran estabilidad, los granos quedan imposibilitados para moverse, gracias a la fricción estática, obstruyendo la salida. La única forma de restablecer el flujo el retirar uno de los granos en el arco, ya sea manualmente o aplicando una fuerza sobre el sistema.[68] Se ha demostrado por medios experimentales que las interrupciones en las descargas de granos esféricos se dan cuando el orificio de salida tiene un diámetro menor a aproximadamente 4,5 veces el diámetro de las partículas. Con aberturas mayores a este valor el flujo se vuelve constante. Si los granos no son esféricos, el diámetro del agujero al cual no se presentan atascos puede ser diferente.[69]
Gases granulares
La materia granular sometida a altas aceleraciones suele comportarse de manera similar a un gas molecular teórico. En estos últimos las moléculas que los forman sufren colisiones elásticas y se puede suponer una conservación de la energía como ocurre en la teoría de los gases ideales. No obstante, éste no es el caso para los medios granulares. Cada partícula pierde una parte de su energía cinética al chocar contra otra, convirtiéndose dicha energía en calor, sonido, vibración, rotación u otra forma de energía (es decir, ocurre un choque inelástico). La cantidad de energía perdida en cada colisión depende del coeficiente de restitución del material que compone al grano.[70] Cuando se considera el sistema granular como conjunto, la pérdida de energía depende del número de colisiones ocurridas en un determinado tiempo. Como ejemplo, si se deja caer una canica dentro de un recipiente de vidrio, esta rebotará un cierto número de veces hasta que finalmente se detenga. Sin embargo, si se deja caer una gran cantidad de estos objetos al mismo tiempo dentro del mismo recipiente, el sistema en conjunto se detendrá casi instantáneamente, debido a que el número de colisiones es mucho mayor.[71]

Para que un medio granulado presente un comportamiento parecido al de un gas debe estar sometido a una fuerza constante lo suficientemente grande. Si la fuerza que lo mantiene en este estado se detiene súbitamente, el material alcanzará el reposo de forma casi inmediata. Además si la aceleración no es lo suficientemente elevada, el material dispondrá de un cierto tiempo para relajarse, y su comportamiento semejará al de un líquido (véase la sección «Convección granular»).[71]
El carácter disipativo de las colisiones hace que los gases granulares sean sistemas fuera de equilibrio termodinámico. Este hecho genera ciertos fenómenos que a primera vista parecerían violar las leyes de la termodinámica, si el sistema es estudiado de una forma simple sin considerar estas pérdidas de energía. Entre los fenómenos que aparecen en estos medios se pueden mencionar la aglomeración granular, la ruptura de la equipartición de la energía y el colapso inelástico.[70]
Colapso inelástico
Debido a que en la materia granular las colisiones entre partículas son esencialmente inelásticas, la cantidad de energía disipada durante un cierto tiempo depende del número de choques ocurridos en ese lapso. Mientras mayor sea ese número de colisiones, es mayor la energía que el sistema pierde. En un gas granular, las colisiones ocurren de forma aleatoria. Normalmente se esperaría que, en promedio el número de colisiones por unidad de tiempo en una zona determinada del gas sea igual al número de colisiones en otra zona del mismo tamaño que la primera en el mismo tiempo. Sin embargo, dicho número está sujeto a fluctuaciones estadísticas, por lo que existe la probabilidad de que en una determinada zona, por un momento ocurran un número de choques ligeramente mayor que en otra. Esto producirá una mayor pérdida de energía en esa región, resultando en una disminución en la velocidad de las partículas. Al ocurrir esto, la presión ejercida por las mismas disminuirá, provocando que otras partículas que no se encontraban en esa zona entren a la misma, incrementando aún más la cantidad de colisiones y la pérdida de energía. Al final, el gas granular presentará un aspecto no homogéneo, con algunas regiones con densidades muy bajas con partículas moviéndose a gran velocidad y otras pobladas con una gran cantidad de granos aglomerados unos contra otros.[72]
El colapso inelástico fue observado por primera vez en simulaciones por computadora[73] en una dimensión[74] y posteriormente en más dimensiones.[75] El efecto ocurre en las simulaciones al aumentar el número de colisiones por unidad de tiempo entre dos partículas; cuando éstas pierden energía y son empujadas una contra la otra por el resto de las partículas, comienzan a rebotar cada vez más rápido hasta que los choques entre ellas se vuelven infinitos, provocando un «colapso» en la simulación.[74] Este fenómeno provoca la formación de estructuras en forma de cadenas y filamentos,[72] que tienen una gran similitud con la estructura del universo a gran escala.[71]
Véase también
Referencias
Bibliografía
- Duran, J., Reisinger A., Sands, Powders, and Grains: An Introduction to the Physics of Granular Materials. Noviembre de 1999, Springer-Verlag New York, Inc., New York, ISBN 0-387-98656-1.
- Aste, Tomaso; Di Matteo, T.; Tordesillas, A. Granular and complex materials. 2007, World Scientific, ISBN 981-277-198-0.
- Resnick, Robert; Halliday, David; Krane, Kenneth S. (2001). Física Vol. 1 (4a. edición). Compañía Editorial Continental. ISBN 968-26-1230-6.
Notas
- Jaeger, Heinrich M.; Nagel, Sidney R. y Behringer, Robert P. (1996), «Granular solids, liquids, and gases», Reviews of Modern Physics, 68, 1259.
- Duran, p. 1-5.
- Duran, p. 16
- Coulomb, Charles Augustin (1773). Academie Royal des Sciences Mem. Mat. et Phys. par Diver Savants, 7, 34.
- Rossing, Thomas D (1982). «Chladni's Law for Vibrating Plates» American Journal of Physics, 50, 3.
- Faraday, Michael (1831). «On a peculiar class of acoustic figures, and on certain forms assumed by groups of particles upon vibrating surfaces». Phylos. Trans. Roy. Soc., 52, 299. Londres.
- Rankine, William J. W. (1857). Phil. Trans. Roy. Soc., 147, 9.
- Roberts, I. (1857). Proccedings of the Royal Society, 147, 9.
- Janssen, H. A. (1895). Zeitschr. d. Vereines deutscher Ingenieure, 39, 1045.
- Lord Rayleigh (1906). «On an instrument for compounding vibrations, with application to the drawing of curves such as might represent white light» Philosophical Magazine Series 6, 11-61, 127.
- Duran, p. 17.
- Reynolds, Osborne (1885). «On the dilatancy of media composed of rigid particles in contact. With experimental illustrations». Philosophical Magazine Series 5, 20-127, 469. doi: 10.1080/14786448508627791.
- Bagnold, Ralph A. (1954). Procceedings of the Royal Society, London Series A, 225, 49
- Duran, p. 18.
- Jaeger, Heinrich. «An Introduction to Granular Physics» (en inglés). The University of Chicago Granular Physics Group. Archivado desde el original el 1 de septiembre de 2009. Consultado el 17 de enero de 2010.
- Duran, p. 93
- Smith, D. W. (2001). «Granular Temperature». International Journal of Geomechanics (en inglés) (American Society of Civil Engineers) 1 (1): 41-63.
- Serero, D.; Goldenberg, C.; Noskowicz, S. H.; Goldhirsch, I. (2007). «The classical granular temperature and slightly beyond». arXiv:cond-mat/0702545.
- Russo, Paul (2006). «"Dry Lab" on Polydispersity: Matrix Assisted Laser Desorption Mass Spectroscopy (MALDI)» (.DOC). Macromolecular Systems I & II Virtual Macro Book (en inglés). Loussiana State University Macromolecular Studies Group. Archivado desde el original el 3 de julio de 2010. Consultado el 20 de enero de 2010.
- Aoki, Keiko e Ito, Nobuyatsu (1996). «Effect of size polydispersity on granular materials». Physical Review E, 54, p. 1990.
- Jullien, R. y Meakin, P. (1990). «A mechanism for particle size segregation in three dimensions». Nature 344, 425.
- Duran, pp. 154-164
- Nahmad-Molinari, Y. y Ruiz-Suárez, J. C. (2002). «Epitaxial Growth of Granular Single Crystals». Physical Review Letters, 89, 26.
- Iverson, R. (1997). «The physics of debris flows». Reviews of Geophysics, 35, 3, p. 245.
- School of Oceanography, Universidad de Washington. «Debris flows». Consultado el 24 de enero de 2010 (en inglés).
- Zuriguel, I.; Mullin, T. y Rotter, J. M. (2007). «Effect of particle shape on the stress dip under a sandpile», Physical Review Letters, 98, 0280001.
- Cleary, P. W. (2008). «The effect of particle shape on simple shear flows» Powder technology, World Conference of Particle Technology No5, 179, 3 p. 97. Ed. Elsevier, Suiza.
- Donev, A. et al. (2004). «Improving the density of jammed disordered packings using ellipsoids», Science, 303, 990.
- Duran, p. 119.
- Aste, T.; Di Matteo, T.; Galleani d'Agliano, E. (2001). «Stress transmission in granular matter». Journal of Physics: Condensed Matter, 14, 9, pp. 2391-2402.
- Duran, p. 11.
- Resnick et al., p. 121.
- Anthony, S. p. 73.
- Resnick et al., p. 430
- Knowlton, T. M.; Carson, J. W.; Klinzing, G. E.; y Yang, W.-C. (1994). «The importance of storage, transfer, and collection». Chemical Engineering Progress, 90, 44-54.
- Duran, p. 66.
- Duran, p. 65.
- Duran, p. 155.
- Duran, pp. 53 y ss.
- Duran, p. 82.
- Earthquake Hazards Program (Noviembre, 2009). «Earthquake Glossary - liquefaction» (en inglés). United States Geological Survey. Consultado el 19 de febrero de 2010.
- Pouliquen, O.; Nicolas, M.; y Weidman, P. D. (1997), «Crystallization of non-Brownian Spheres under Horizontal Shaking», Physical Review Letters, 79, 19.
- Anónimo (1972), «What is Random Packing?», Nature, 239, 488
- Owe Berg, T. G.; McDonald, R. L.; y Trainor Jr., R. J. (1969), «The packing of spheres» Powder Technology, 3, 183.
- Vanel,L.; Rosato, A. D.; y Dave, R. N. (1997), «Rise-Time Regimes of a Large Sphere in Vibrated Bulk Solids», Physical Review Letters, 78, 1255.
- Blair, D. L.; Mueggenburg, N.W.; Marshall, A. H.; Jaeger, H.M. y Nagel, S. R. (2001), «Force distributions in three-dimensional granular assemblies: Effects of packing order and interparticle friction» Physical Review E, 63, 041304.
- Resnick, et al., p. 624.
- Pastor, J. M.; Maza, D.; Zuriguel, I.; Garcimartín, A. y Boudet, J.-F. (2007), «Time resolved particle dynamics in granular convection», Physica D, 232, 128.
- Evesque, P.; y Rajchenbach, J. (1989), «Instability in a sand heap», Physical Review Letters, 62, 44.
- Laroche, C.; Douady, S. y Fauve, S. (1989), «Subharmonic instabilities and defects in a granular layer under vertical vibrations», Europhysics Letters, 8, 621.
- Clément, E.; Duran J. y Rajchenbach, J. (1992), «Experimental study of heaping in a two-dimensional “sand pile”» Physical Review Letters, 69, 1189.
- Duran, J.; Mazozi, T.; Clément, E. y Rajchenbach, J. (1994), «Decompaction modes of a two-dimensional “sandpile” under vibration: Model and experiments», Physical Review E, 50, 3092.
- Ehrichs, E. et al. (1995), «Granular convection observed by magnetic resonance imaging», Science, 267, 1632.
- Duran, p. 96.
- Knight, J. B.; Jaeger, H. M. y Nagel, S. R. (1993), «Vibration-induced size separation in granular media: The convection connection», Physical Review Letters, 70, 3728.
- Knight, J. B. (1997), «External boundaries and internal shear bands in granular convection», Physical Review E, 55, 6016.
- Jaeger, H. M. (9 de mayo de 2005). «Why does shaking a can of coffee cause the larger grains to move to the surface?». Scientific American (en inglés). Consultado el 18 de marzo de 2010.
- Rosato, A., Strandburg, K. J., Prinz, F. y Swendsen, R. H. (1987), «Why the Brazil Nuts are On Top: Size Segregation of Particulate Matter by Shaking», Physical Review Letters, 58, 1038.
- Knight, J. B., Jaeger, H. M. y Nagel, S. (1993), «Vibration-Induced Size Separation in Granular Media: The Convection Connection», Physical Review Letters, 70, 3728
- Möbius, M. E.; Lauderdale B. E.; Nagel, S. R. y Jaeger, H. R. (2001), «Size Separation of Granular Particles», Nature, 414, 270
- Nahmad-Molinari, Y.; Canul-Chay, G.; Ruiz-Suárez, J. C. (2003), «Inertia in the Brazil nut problem», Physical Review E, 68, 041301.
- Möbius, M. E.; Cheng, X.; Karczmar, G. S.; Nagel, S. R.; Jaeger, H. M. (2004), «Intruders in the Dust: Air-Driven Granular Size Separation», Physical Review Letters, 93, 198001.
- Möbius, M. E. et al. (2005), «Effect of air on granular size separation in a vibrated granular bed», Physical Review E, 72, 011304.
- Hong, D. C.; Quinn, P. V.; Luding, S. (2001), «Reverse Brazil Nut Problem: Competition between Percolation and Condensation», Physical Review Letters, 86, 3423.
- Canul-Chay, G. A.; Belmont, P. A.; Nahmad-Molinari, Y. y Ruiz-Suárez, J. C. (2002), «Does the Reverse Brazil Nut Problem Exist?», Physical Review Letters, 89, 189601.
- Shinbrot, T. (2004), «The brazil nut effect - in reverse», Nature, 429, 352.
- Resnick et al., p. 459.
- Zuriguel, I.; Pugnaloni, L. A.; Garcimartín, A.; Maza, D. (2003), «Jamming during the discharge of grains from a silo described as a percolating transition», Physical Review E, 68, 030301.
- Zuriguel, I.; Garcimartín, A.; Maza, D.; Pugnaloni, L. A.; Pastor, J. M. (2005), «Jamming during the discharge of granular matter from a silo», Physical Review E, 71, 051303.
- Barrat, A.; Trizac, E. y Ernst, M. H. (2005), «Granular gases: dynamics and collective effects», Journal of Physics: Condensed Matter, 24, S2429.
- Jaeger, H. M.; Nagel, S. y Behringer, R. P (1996), «Granular solids, liquids, and gases», Reviews of Modern Physics, 8, 1259.
- Goldhirsch, I. y Zanetti, G. (1993), «Clustering instability in dissipative gases», Physical Review Letters, 70, 1619.
- Hopkins, M. A. y Louge, M. Y. (1991), «Inelastic microstructure in rapid granular flows of smooth disks», Physics of Fluids A: Fluid Dynamics, 3, 47
- McNamara, S y Young W. R. (1992), «Inelastic collapse and clumping in a one-dimensional granular medium», Physics of Fluids A, 4, 496.
- Trizac, E. y Barrat, A. (2000), «Free cooling and inelastic collapse of granular gases in high dimensions», The European Physical Journal E, 3, 291.

