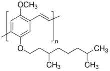
MDMO-PPV
El poli[2-metoxi-5-(3’,7’-dimetiloctiloxi)-1,4-fenilenvinileno es un polímero conductor de la familia de los fenilenvinileno (PPV), lo cual lo hace un gran candidato como un material de emisión en dispositivos de emisión de luz como los diodos y dispositivos fotovoltaicos: también es soluble en agua y forma fácilmente capas delgadas, una característica que lo hace óptimo para su utilización en la electrónica orgánica. La facilidad del transporte de carga del MDMO-PPV se atribuye a una mejor interacción entre las cadenas facilitads por una estructura más regular del PPV. Así mismo esta facilidad de transporte de carga ha sido utilizada para la fabricación de dispositivos fotovoltaicos de heterounión con un alto factor de llenado con la mezcla de MDMO-PPV y PCBM. El MDMO-PPV es soluble en tolueno, xileno, THF, cloroformo, clorobenceno y ciclohexano.

Síntesis
Su síntesis se lleva a cabo mediante el 5bis (clorometil)-1-metoxi- 4- (3',7'- dimetiloctiloxi)benceno el cual se diluye en una solución de dioxano y THF, que han sido calentados en un baño de aceite previamente, para posteriormente añadir terbutóxido de potasio a la mezcla obteniendo de esta manera un color amarillo e incrementando la viscosidad de la solución. Posteriormente se vuelve a añadir terbutóxido de potasio mezclado en solución con ácido acético, después de este paso la solución se torna naranja y se vuelve aún más viscosa. Se realizan una serie de lavados con metanol y THF para finalmente obtener fibras MDMO-PPV como fibras de color naranja oscuro.[1]
Referencias
- Dindas, Nurbas.(2013). Synthesis and Characterization of Poly [2-(3,7dimethyloctyloxy)-5-methoxy-p-phenylenevinylene] (MDMO-PPV) by Gilch Polymerization. International Journal of Chemistry and Chemical Engineering, 3, 89-94.
Bibliografía
- (en inglés) Mozer, A. J., Denk, P., Scharber, M. C., Neugebauer, H., Sariciftci, N.S., Wagner, P., ... & Vanderzande, D. (2004). Novel regiospecific MDMO-PPV copolymer with improved charge transport for bulk heterojunction solar cells. The Journal of Physical Chemistry B, 108(17), 5235-5242.
- (en inglés) Moet, D. J., Koster, L. J. A., de Boer, B., & Blom, P. W. (2007). Hybrid polymer solar cells from highly reactive diethylzinc: MDMO–PPV versus P3HT. Chemistry of Materials, 19(24), 5856-5861.