Lupeol

Lupeol es un principio activo triterpenoides.

Lupeol
Nombre IUPAC
(1R,3aR,5aR,5bR,7aR,9S,11aR, 11bR,13aR,13bR)-3a,5a,5b,8,8,11a-hexamethyl-1-prop-1-en-2-yl-1,2,3,4,5,6,7,7a,9,10,11,11b,12,13,13a,13b-hexadecahydrocyclopenta[a]chrysen-9-ol
General
Otros nombres (3β,13ξ)-Lup-20(29)-en-3-ol; Clerodol; Monogynol B; Fagarasterol; Farganasterol
Fórmula estructural Imagen de la estructura
Fórmula molecular C
30
H
50
O
1
Identificadores
Número CAS 545-47-1[1]
Número RTECS OK5763000
ChEBI 6570
ChEMBL 289191
ChemSpider 23089061
DrugBank 12622
PubChem 259846
UNII O268W13H3O
KEGG C08628
CC([C@@H]1CC[C@@]2(C)[C@@]1([H])[C@@]3([H])CC[C@]4([H])[C@@]5(C)CC[C@H](O)C(C)(C)[C@]5([H])CC[C@@]4(C)[C@]3(C)CC2)=C
Propiedades físicas
Masa molar 426,72 g/mol
Valores en el SI y en condiciones estándar
(25 y 1 atm), salvo que se indique lo contrario.

Tiene varias propiedades medicinales, uno es antiinflamatorio. Un estudio de 1998 encontró que lupeol disminuía la inflamación de las patas en ratas en un 39%, en comparación con el 35% para el compuesto de control estandarizado indometacina.[2]

Aparición natural

Se encuentra en una variedad de plantas, incluyendo el mango, Acacia visco o Abronia villosa.[3] También se encuentra en el te de diente de león.

Síntesis

La primera síntesis total de lupeol se informó por Gilbert Stork et al.[4]

Recientemente, en 2009, Surendra y Corey informaron de una síntesis total más eficiente y enantioselectiva de lupeol, a partir de (1E,5E)-8-[(2S)-3,3-dimethyloxiran-2-yl]-2,6-dimethylocta-1,5-dienyl acetato por el uso de una polycyclización.[5]

Biosíntesis

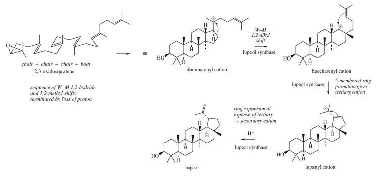
Lupeol es producida por varios organismos de epóxido de escualeno (2,3-oxidoescualeno). Esqueletos de dammarano y baccharano se forman como productos intermedios. Las reacciones son catalizadas por la enzima sintasa lupeol:[6]

Farmacología

Lupeol tiene una farmacología compleja en los seres humanos, mostrándose antiprotozoario, antimicrobiano, antiinflamatorio, antitumoral y propiedades quimio preventivas.[7] Un estudio también ha encontrado alguna actividad como inhibidora de la dipeptidil peptidasa-4 y prolil oligopeptidasa a concentraciones altas (en el rango milimolar).[8]

Es un inhibidor eficaz en modelos de laboratorio del cáncer de próstata y de piel.[9][10][11]

Mecanismo de acción

Como un agente antiinflamatorio, lupeol funciona principalmente sobre el sistema interleucina. Bani y col. (2006) encontraron lupeol para disminuir la IL-4 (interleucina 4) la producidas por tipo 2 células T-helper.[7]

Referencias

  1. Número CAS
  2. Geetha, T; Varalakshmi, P (2001). «Anti-inflammatory activity of lupeol and lupeol linoleate in rats». Journal of Ethnopharmacology 76 (1): 77-80. PMID 11378285. doi:10.1016/S0378-8741(01)00175-1.
  3. Starks, CM; Williams, RB; Norman, VL; Lawrence, JA; Goering, MG; O'Neil-Johnson, M; Hu, JF; Rice, SM; Eldridge, GR (2011). «Abronione, a rotenoid from the desert annual Abronia villosa». Phytochemistry letters 4 (2): 72-74. PMC 3099468. PMID 21617767. doi:10.1016/j.phytol.2010.08.004.
  4. Stork, Gilbert; Uyeo, Shoichiro; Wakamatsu, T.; Grieco, P.; Labovitz, J. (1971). «Total synthesis of lupeol». Journal of the American Chemical Society 93 (19): 4945. doi:10.1021/ja00748a068.
  5. Surendra, K; Corey, EJ (2009). «A short enantioselective total synthesis of the fundamental pentacyclic triterpene lupeol». Journal of the American Chemical Society 131 (39): 13928-9. PMID 19788328. doi:10.1021/ja906335u.
  6. «Copia archivada». Archivado desde el original el 17 de julio de 2012. Consultado el 3 de enero de 2014.
  7. Margareth B. C. Gallo, Miranda J. Sarachine (2009). «Biological activities of Lupeol». International Journal of Biomedical and Pharmaceutical Sciences. Archivado desde el original el 25 de octubre de 2010.
  8. Marques, MR; Stüker, C; Kichik, N; Tarragó, T; Giralt, E; Morel, AF; Dalcol, II (2010). «Flavonoids with prolyl oligopeptidase inhibitory activity isolated from Scutellaria racemosa Pers». Fitoterapia 81 (6): 552-6. PMID 20117183. doi:10.1016/j.fitote.2010.01.018.
  9. Prasad S, Kalra N, Singh M, Shukla Y (2008). «Protective effects of lupeol and mango extract against androgen induced oxidative stress in Swiss albino mice» (PDF). Asian J Androl 10 (2): 313-8. PMID 18097535. doi:10.1111/j.1745-7262.2008.00313.x.
  10. Nigam N, Prasad S, Shukla Y (2007). «Preventive effects of lupeol on DMBA induced DNA alkylation damage in mouse skin». Food Chem Toxicol 45 (11): 2331-5. PMID 17637493. doi:10.1016/j.fct.2007.06.002.
  11. Saleem M, Afaq F, Adhami VM, Mukhtar H (2004). «Lupeol modulates NF-kappaB and PI3K/Akt pathways and inhibits skin cancer in CD-1 mice». Oncogene 23 (30): 5203-14. PMID 15122342. doi:10.1038/sj.onc.1207641.

Enlaces externos

Este artículo ha sido escrito por Wikipedia. El texto está disponible bajo la licencia Creative Commons - Atribución - CompartirIgual. Pueden aplicarse cláusulas adicionales a los archivos multimedia.